Impact of the Implementation of a Bovine Viral Diarrhea Virus Targeted Vaccine in Dairy Farms: Longitudinal Analysis
Abstract
1. Introduction
2. Materials and Methods
- (a)
- Conception rate: defined as the number of those pregnant out of all the inseminated dams. In the dairy farms included in this study gestation is diagnosed between days 35 and 45 post insemination.
- (b)
- Abortion rate: defined as the number of pregnant dams that lost the pregnancy at any gestation point after being diagnosed pregnant.
- (c)
- Days open: refers to the interval between calving and conception (DO).
- (d)
- Calves per insemination ratio: defined as the ratio between the number of calves born that live more than 24 h and the number of inseminations performed.
- (e)
- Neonatal mortality: defined as the death of a live-born calf within the first 24 h of life.
- (f)
- Overall mortality: defined as the ratio between the number of death and the average number of animals present in the dairy farm. It does not include neonatal mortality.
- (g)
- Milk production: defined as the average milk production per cow per day.
3. Results
3.1. Reproductive Parameters
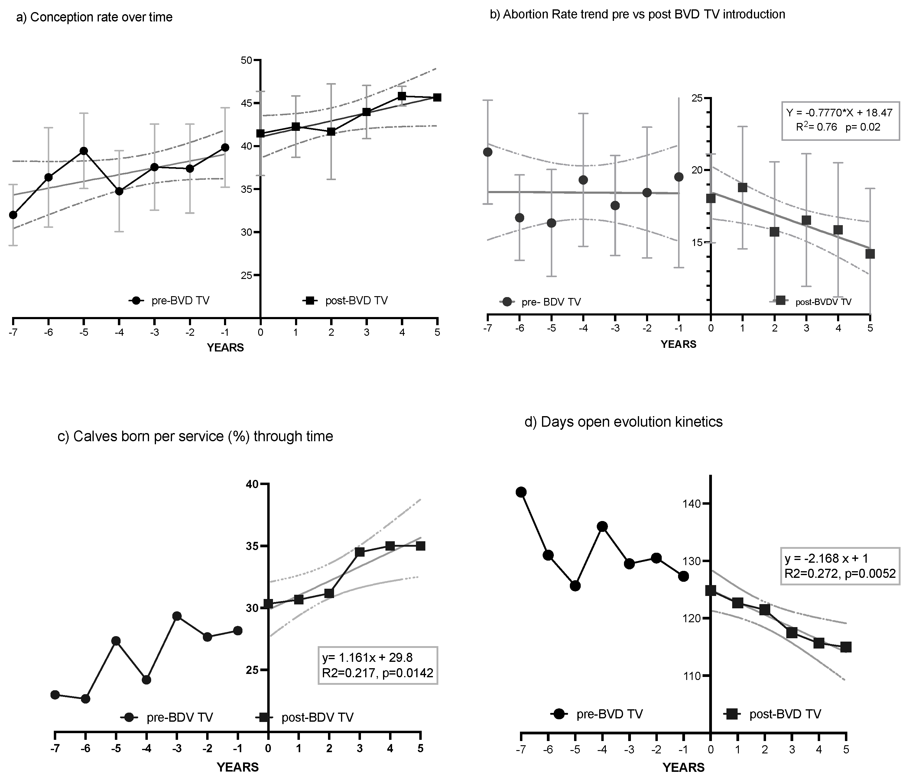
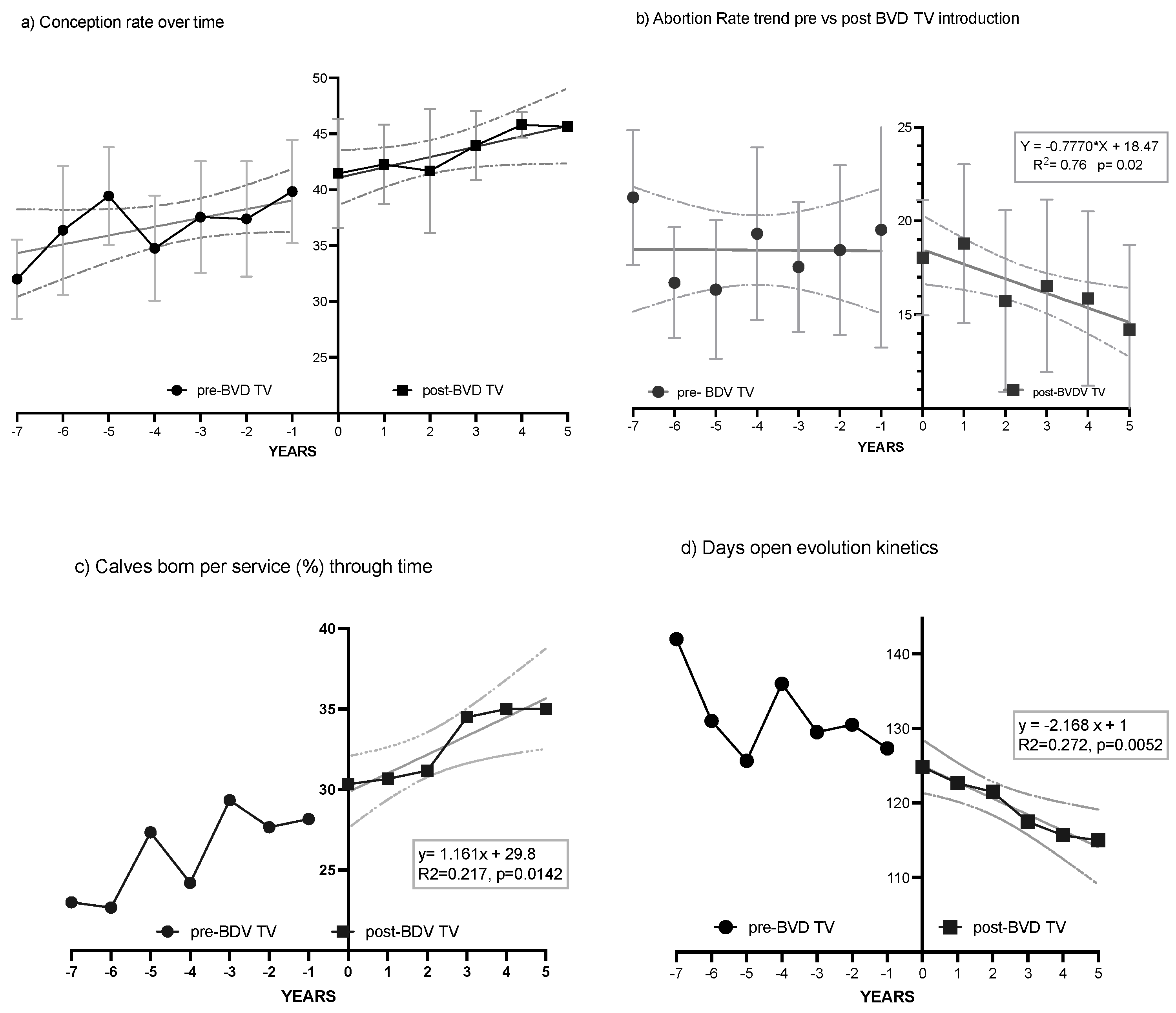
3.1.1. Conception Rate
3.1.2. Abortion Rate
3.1.3. Days Open
3.1.4. Calves Born per Insemination Ratio

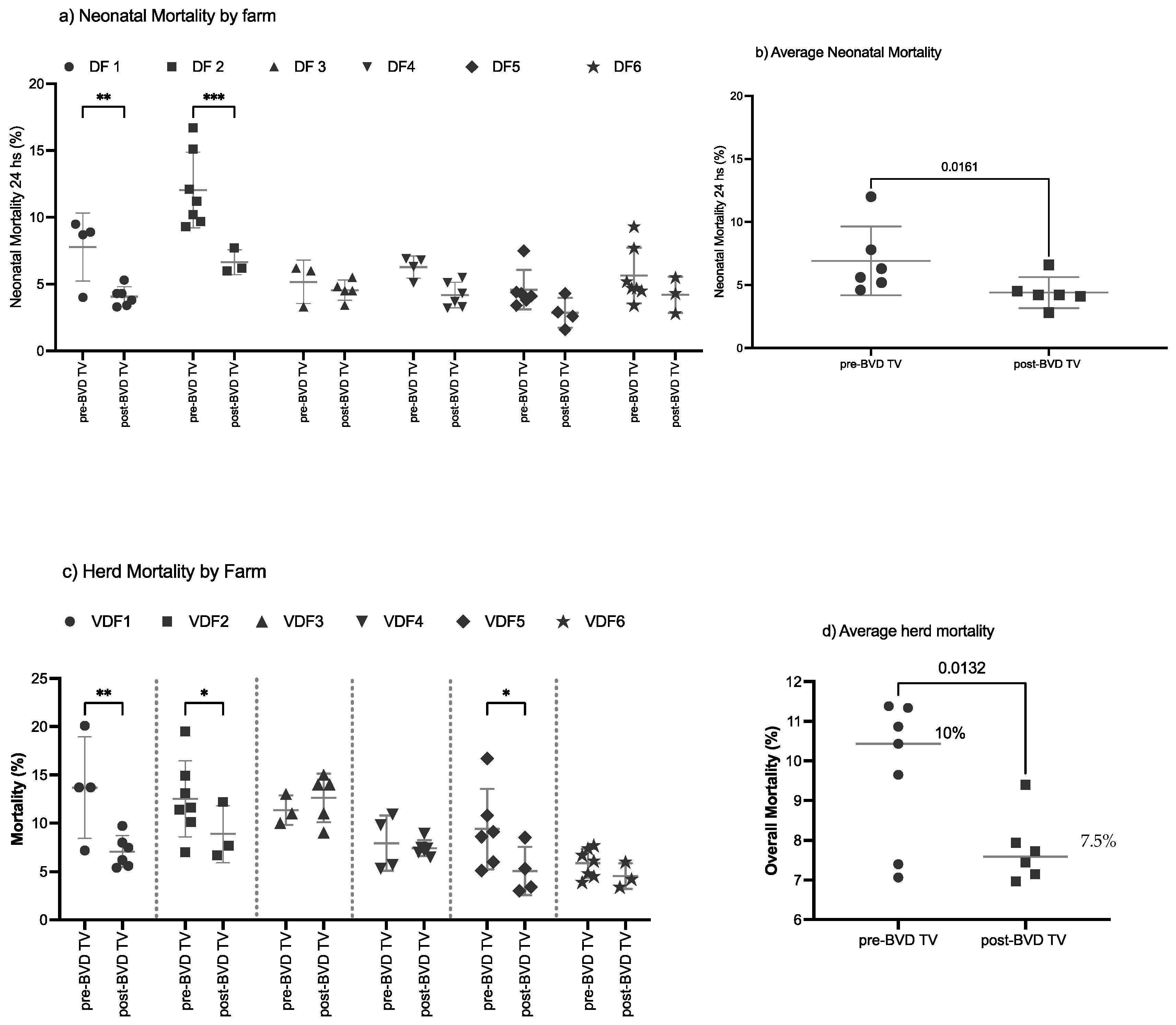
3.2. Mortality Rates
3.3. Productive Parameters
Milk Production
3.4. Comparison with Control Dairy Farms
4. Discussion
5. Conclusions
Supplementary Materials
Author Contributions
Funding
Institutional Review Board Statement
Data Availability Statement
Acknowledgments
Conflicts of Interest
References
- Houe, H. Epidemiological features and economical importance of bovine virus diarrhoea virus (BVDV) infections. Vet. Microbiol. 1999, 64, 89–107. [Google Scholar] [CrossRef] [PubMed]
- Gunn, G.; Stott, A.; Humphry, R. Modelling and costing BVD outbreaks in beef herds. Vet. J. 2004, 167, 143–149. [Google Scholar] [CrossRef]
- Gunn, G.; Saatkamp, H.; Humphry, R.; Stott, A. Assessing economic and social pressure for the control of bovine viral diarrhoea virus. Prev. Vet. Med. 2005, 72, 149–162. [Google Scholar] [CrossRef]
- ICTV. Genus Pestivirus [WWW Document]. 2020. Available online: https://ictv.global/report/chapter/flaviviridaeport/flaviviridaeport/flaviviridae/pestivirus (accessed on 9 November 2022).
- Oguejiofor, C.F.; Thomas, C.; Cheng, Z.; Wathes, D.C. Mechanisms linking bovine viral diarrhea virus (BVDV) infection with infertility in cattle. Anim. Health Res. Rev. 2019, 20, 72–85. [Google Scholar] [CrossRef]
- Brownlie, J.; Hooper, L.; Thompson, I.; Collins, M. Maternal recognition of foetal infection with bovine virus diarrhoea virus (BVDV)—The bovine pestivirus. Clin. Diagn. Virol. 1998, 10, 141–150. [Google Scholar] [CrossRef] [PubMed]
- Harding, M.J.; Cao, X.; Shams, H.; Johnson, A.F.; Vassilev, V.B.; Gil, L.H.; Wheeler, D.W.; Haines, D.; Sibert, G.J.; Nelson, L.D.; et al. Role of bovine viral diarrhea virus biotype in the establishment of fetal infections. Am. J. Vet. Res. 2002, 63, 1455–1463. [Google Scholar] [CrossRef]
- Grooms, D.L. Reproductive consequences of infection with bovine viral diarrhea virus. Vet. Clin. N. Am. Food Anim. Pract. 2004, 20, 5–19. [Google Scholar] [CrossRef] [PubMed]
- Lanyon, S.R.; Hill, F.I.; Reichel, M.P.; Brownlie, J. Bovine viral diarrhoea: Pathogenesis and diagnosis. Vet. J. 2014, 199, 201–209. [Google Scholar] [CrossRef]
- Baker, J.C. The Clinical Manifestations of Bovine Viral Diarrhea Infection. Vet. Clin. N. Am. Food Anim. Pract. 1995, 11, 425–445. [Google Scholar] [CrossRef]
- Blanchard, P.C.; Ridpath, J.F.; Walker, J.B.; Hietala, S.K. An Outbreak of Late-Term Abortions, Premature Births, and Congenital Deformities Associated with a Bovine Viral Diarrhea Virus 1 Subtype b that Induces Thrombocytopenia. J. Vet. Diagn. Investig. 2010, 22, 128–131. [Google Scholar] [CrossRef]
- Walz, P.H.; Bell, T.G.; Wells, J.L.; Grooms, D.L.; Kaiser, L.; Maes, R.K.; Baker, J.C. Relationship between degree of viremia and disease manifestations in calves with experimentally induced bovine viral diarrhea virus infection. Am. J. Vet. Res. 2001, 62, 1095–1103. [Google Scholar] [CrossRef] [PubMed]
- Roth, J.A.; Kaeberle, M.L. Suppression of neutrophil and lymphocyte function induced by a vaccinal strain of bovine viral diarrhea virus with and without the administration of ACTH. Am. J. Vet. Res. 1983, 44, 2366–2372. [Google Scholar] [CrossRef] [PubMed]
- Kelling, C.L.; Steffen, D.J.; Topliff, C.L.; Eskridge, K.M.; Donis, R.O.; Higuchi, D.S. Comparative virulence of isolates of bovine viral diarrhea virus type II in experimentally inoculated six- to nine-month-old calves. Am. J. Vet. Res. 2002, 63, 1379–1384. [Google Scholar] [CrossRef]
- Abdelsalam, K.; Rajput, M.; Elmowalid, G.; Sobraske, J.; Thakur, N.; Abdallah, H.; Ali, A.A.H.; Chase, C.C.L. The effect of bovine viral diarrhea virus (BVDV) strains and the corresponding infected-macrophages supernatant on macrophage inflammatory function and lymphocyte apoptosis. Viruses 2020, 12, 701. [Google Scholar] [CrossRef]
- Chase, C.C.L.; Thakur, N.; Darweesh, M.F.; Morarie-Kane, S.E.; Rajput, M.K. Immune response to bovine viral diarrhea virus—Looking at newly defined targets. Anim. Health Res. Rev. 2015, 16, 4–14. [Google Scholar] [CrossRef]
- Potgieter, L.N.D.; McCracken, M.D.; Hopkins, F.M.; Walker, R.D. Effect of bovine viral diarrhea virus infection on the distribution of infectious bovine rhinotracheitis virus in calves. Am. J. Vet. Res. 1984, 45, 687–690. [Google Scholar] [CrossRef] [PubMed]
- Potgieter, L.N.; McCracken, M.D.; Hopkins, F.M.; Walker, R.D.; Guy, J.S. Experimental production of bovine respira-tory tract disease with bovine viral diarrhea virus. Am. J. Vet. Res. 1984, 45, 1582–1585. [Google Scholar] [CrossRef]
- Fulton, R.W.; Purdy, C.W.; Confer, A.W.; Saliki, J.T.; Loan, R.W.; E Briggs, R.; Burge, L.J. Bovine viral diarrhea viral infections in feeder calves with respiratory disease: Interactions with Pasteurella spp., parainfluenza-3 virus, and bovine respiratory syncytial virus. Can. J. Vet. Ina. Res. 2000, 64, 151–159. [Google Scholar]
- Kelling, C.L.; Brodersen, B.W.; Perino, L.J.; Cooper, V.L.; Doster, A.R.; Pollreisz, J.H. Potentiation of bovine respiratory syncytial virus infection in calves by bovine viral diarrhoea virus. Bov. Pract. 1997, 1997, 32–38. [Google Scholar]
- Carlos-Valdez, L.; Wilson, B.K.; Burciaga-Robles, L.O.; Step, D.L.; Holland, B.P.; Richards, C.J.; Montelongo, M.A.; Confer, A.W.; Fulton, R.W.; Krehbiel, C.R. Effect of timing of Mannheimia haemolytica challenge following short-term natural exposure to bovine viral diarrhea virus type 1b on animal performance and immune response in beef steers1. J. Anim. Sci. 2016, 94, 4799–4808. [Google Scholar] [CrossRef]
- Burciaga-Robles, L.O.; Step, D.L.; Krehbiel, C.R.; Holland, B.P.; Richards, C.J.; Montelongo, M.A.; Confer, A.W.; Fulton, R.W. Effects of exposure to calves persistently infected with bovine viral diarrhea virus type 1b and subsequent infection with Mannheima haemolytica on clinical signs and immune variables: Model for bovine respiratory disease via viral and bacterial interaction1,2. J. Anim. Sci. 2010, 88, 2166–2178. [Google Scholar] [CrossRef] [PubMed]
- Ridpath, J.F.; Fulton, R.W.; Bauermann, F.V.; Falkenberg, S.M.; Welch, J.; Confer, A.W. Sequential exposure to bovine viral diarrhea virus and bovine coronavirus results in increased respiratory disease lesions: Clinical, immunologic, pathologic, and immunohistochemical findings. J. Vet. Diagn. Investig. 2020, 32, 513–526. [Google Scholar] [CrossRef] [PubMed]
- Houe, H. Economic impact of BVDV infection in dairies. Biologicals 2003, 31, 137–143. [Google Scholar] [CrossRef] [PubMed]
- Smith, R. Effects of Feedlot Disease on Economics, Production and Carcass Value. Am. Assoc. Bov. Pract. 2000, 33, 125–128. [Google Scholar] [CrossRef]
- Pecora, A.; Malacari, D.A.; Aguirreburualde, M.S.P.; Bellido, D.; Escribano, J.M.; Santos, M.J.D.; Wigdorovitz, A. Development of an enhanced bovine viral diarrhea virus subunit vaccine based on E2 glycoprotein fused to a single chain antibody which targets to antigen-presenting cells. Rev. Argent. Microbiol. 2015, 47, 4–8. [Google Scholar] [CrossRef][Green Version]
- Gil, F.; Pérez-Filgueira, M.; Barderas, M.G.; Pastor-Vargas, C.; Alonso, C.; Vivanco, F.; Escribano, J.M. Targeting antigens to an invariant epitope of the MHC Class II DR molecule potentiates the immune response to subunit vaccines. Virus Res. 2011, 155, 55–60. [Google Scholar] [CrossRef]
- Argilaguet, J.; Pérez-Martín, E.; Gallardo, C.; Salguero, F.; Borrego, B.; Lacasta, A.; Accensi, F.; Díaz, I.; Nofrarías, M.; Pujols, J.; et al. Enhancing DNA immunization by targeting ASFV antigens to SLA-II bearing cells. Vaccine 2011, 29, 5379–5385. [Google Scholar] [CrossRef]
- Borrego, B.; Argilaguet, J.M.; Pérez-Martín, E.; Dominguez, J.; Pérez-Filgueira, M.; Escribano, J.M.; Sobrino, F.; Rodriguez, F. A DNA vaccine encoding foot-and-mouth disease virus B and T-cell epitopes targeted to class II swine leukocyte antigens protects pigs against viral challenge. Antivir. Res. 2011, 92, 359–363. [Google Scholar] [CrossRef]
- Bellido, D.; Baztarrica, J.; Rocha, L.; Pecora, A.; Acosta, M.; Escribano, J.M.; Parreño, V.; Wigdorovitz, A. A novel MHC-II targeted BVDV subunit vaccine induces a neutralizing immunological response in guinea pigs and cattle. Transbound. Emerg. Dis. 2021, 68, 3474–3481. [Google Scholar] [CrossRef]
- Bellido, D.; Gumina, E.R.; Senes, G.J.R.; Chiariotti, F.M.; Audrito, M.; Sueldo, P.M.; Sueldo, G.M.; Wigdorovitz, A. First evaluation of the impact of a targeted subunit vaccine against bovine viral diarrhea virus in feedlot cattle. Transl. Anim. Sci. 2024, 8, txae046. [Google Scholar] [CrossRef]
- Mantel, N.; Halperin, M. The Baptista-Pike Algorithm (AS 115). J. R. Stat. Soc. Ser. C Appl. Stat. 1981, 30, 73–75. [Google Scholar] [CrossRef]
- Moennig, V.; Yarnall, M.J. The Long Journey to BVD Eradication. Pathogens 2021, 10, 1292. [Google Scholar] [CrossRef] [PubMed]
- De Leemput, E.S.; Metcalfe, L.V.A.; Caldow, G.; Walz, P.H.; Guidarini, C. Comparison of milk production of dairy cows vaccinated with a live double deleted BVDV vaccine and non-vaccinated dairy cows cohabitating in commercial herds endemically infected with BVD virus. PLoS ONE 2020, 15, e0240113. [Google Scholar] [CrossRef]
- Al-Kubati, A.A.G.; Hussen, J.; Kandeel, M.; Al-Mubarak, A.I.A.; Hemida, M.G. Recent Advances on the Bovine Viral Diarrhea Virus Molecular Pathogenesis, Immune Response, and Vaccines Development. Front. Vet. Sci. 2021, 8, 665128. [Google Scholar] [CrossRef] [PubMed]
- Pacheco, J.M.; Lager, I. [Indirect method ELISA for the detection of antibodies against bovine diarrhea virus in bovine serum]. Rev. Argent Microbiol. 2003, 35, 19–23. [Google Scholar]
- Favaro, P.; Molineri, A.I.; Occhi, H.L.J.; Dus Santos, M.J.; Clavinho, L.F.; Pecora, A. Relevamiento de anticuerpos contra el virus de la diarrea viral bovina en muestras de leche de tanque provenientes de la provincia de Santa Fe. In Proceedings of the I Congreso de Microbiología Veterinaria (CMV), Virtual, 4–6 August 2021; pp. 313–314. Available online: https://www.aavld.org.ar/publicaciones/LIBRO-DE-RESUMENES-I-CMV-2021.pdf.
- Cattaneo, L.; Baudracco, J.; Lazzarini, B.; Ortega, H. Methodology to estimate the cost of delayed pregnancy for dairy cows. An example for Argentina. Rev. Bras. Zootec. 2015, 44, 226–229. [Google Scholar] [CrossRef]
- Dobos, A.; Dobos, V.; Kiss, I. How control and eradication of BVDV at farm level influences the occurrence of calf diseases and antimicrobial usage during the first six months of calf rearing. Ir. Vet. J. 2024, 77, 19. [Google Scholar] [CrossRef]
- FASS. Guide for the Care and Use of Agricultural Animals in Research and Teaching, 4th ed.; Tucker, C.B., MacNeil, M.D., Webster, A.B., Eds.; The American Dairy Science Association: Champaign, IL, USA; The American Society of Animal Science: Savoy, IL, USA; The Poultry Science Association: Champaign, IL, USA, 2020. [Google Scholar]









| Dairy Farm | Pre-7 | Pre-6 | Pre-5 | Pre-4 | Pre-3 | Pre-2 | Pre-1 | Year 0 | Post 1 | Post 2 | Post 3 | Post 4 | Post 5 | Total Years |
|---|---|---|---|---|---|---|---|---|---|---|---|---|---|---|
| VDF 1 | 2014 | 2015 | 2016 | 2017 | 2018 | 2019 | 2020 | 2021 | 2022 | 2023 | 10 | |||
| VDF 2 | 2014 | 2015 | 2016 | 2017 | 2018 | 2019 | 2020 | 2021 | 2022 | 2023 | 10 | |||
| VDF 3 | 2016 | 2017 | 2018 | 2019 | 2020 | 2021 | 2022 | 2023 | 8 | |||||
| VDF 4 | 2014 | 2015 | 2016 | 2017 | 2018 | 2019 | 2020 | 2021 | 2022 | 2023 | 10 | |||
| VDF 5 | 2014 | 2015 | 2016 | 2017 | 2018 | 2019 | 2020 | 2021 | 2022 | 2023 | 10 | |||
| VDF 6 | 2014 | 2015 | 2016 | 2017 | 2018 | 2019 | 2020 | 2021 | 2022 | 2023 | 10 |
| Conception Rate (No. of Animals) | Abortion Rate (No. of Animals) | Days Open | Calf Insemination Rate (No. of Animals) | Neonatal Mortality (No. of Animals) | Overall Mortality (No. of Animals) | Milk Production (L/Cow/Day) | |
|---|---|---|---|---|---|---|---|
| Pre-BVD-TV | 39.11% (30,612/78,275) | 17.84% (5462/30,612) | 131 | 29% (22,543/78,275) | 6% (1440/23,983) | 8.98% | 25.85 |
| Post-BVD-TV | 43.51% * (36,597/84,108) | 16.83% * (6161/36,597) | 120 * | 33% * (26,971/82,080) | 4% * (1161/28,132) | 7.57% * (4866/64,276) | 28.19 * |
| Difference | +4.4% | −1% | −11 | +4% | −2% | −4% | +2.34 |
| p-Value | <0.0001 | 0.0006 | <0.0001 | <0.0001 | <0.0001 | <0.0001 | 0.0001 |
| OR | 1.20 | 0.93 protective(1.1) | --- | 1.21 | 0.67 protective (1.6) | 0.89 protective (1.3) | --- |
| IC95 | (1.18;1.22) | (0.89;0.97) | (1.18;1.23) | (0.62;0.73) | (0.79;0.86) |
| Pre-BVD-TV | Post-BVD-TV | Diff | p Value | |
|---|---|---|---|---|
| Dairy Farm 1 | 24.8 L | 27.2 L | 2.4 * L | 0.0258 |
| Dairy Farm 2 | 24.9 L | 26.2 L | 1.3 L | 0.2305 |
| Dairy Farm 3 | 25.2 L | 26.3 L | 1.1 L | 0.3121 |
| Dairy Farm 4 | 33.4 L | 35.1 L | 1.6 L | 0.1094 |
| Dairy Farm 5 | 20.3 L | 23.9 L | 3.6 * L | 0.0018 |
| Dairy Farm 6 | 26.8 L | 28.8 L | 2.0 L | 0.0779 |
| Average | 25.9 L | 27.9 L | 2.0 L |
Disclaimer/Publisher’s Note: The statements, opinions and data contained in all publications are solely those of the individual author(s) and contributor(s) and not of MDPI and/or the editor(s). MDPI and/or the editor(s) disclaim responsibility for any injury to people or property resulting from any ideas, methods, instructions or products referred to in the content. |
© 2025 by the authors. Licensee MDPI, Basel, Switzerland. This article is an open access article distributed under the terms and conditions of the Creative Commons Attribution (CC BY) license (https://creativecommons.org/licenses/by/4.0/).
Share and Cite
Bellido, D.; Wenz, D.; Schang, M.; Tibaldo Rubiolo, F.; Mangioni, P.; Gumina, E.; Wigdorovitz, A.; Parreño, V. Impact of the Implementation of a Bovine Viral Diarrhea Virus Targeted Vaccine in Dairy Farms: Longitudinal Analysis. Vaccines 2025, 13, 319. https://doi.org/10.3390/vaccines13030319
Bellido D, Wenz D, Schang M, Tibaldo Rubiolo F, Mangioni P, Gumina E, Wigdorovitz A, Parreño V. Impact of the Implementation of a Bovine Viral Diarrhea Virus Targeted Vaccine in Dairy Farms: Longitudinal Analysis. Vaccines. 2025; 13(3):319. https://doi.org/10.3390/vaccines13030319
Chicago/Turabian StyleBellido, Demian, Diego Wenz, Martin Schang, Facundo Tibaldo Rubiolo, Pablo Mangioni, Emanuel Gumina, Andrés Wigdorovitz, and Viviana Parreño. 2025. "Impact of the Implementation of a Bovine Viral Diarrhea Virus Targeted Vaccine in Dairy Farms: Longitudinal Analysis" Vaccines 13, no. 3: 319. https://doi.org/10.3390/vaccines13030319
APA StyleBellido, D., Wenz, D., Schang, M., Tibaldo Rubiolo, F., Mangioni, P., Gumina, E., Wigdorovitz, A., & Parreño, V. (2025). Impact of the Implementation of a Bovine Viral Diarrhea Virus Targeted Vaccine in Dairy Farms: Longitudinal Analysis. Vaccines, 13(3), 319. https://doi.org/10.3390/vaccines13030319

