Efficacy of a Novel PCV2d and Mycoplasma hyopneumoniae Combined Vaccine in Piglets with High and Low Levels of PCV2 Maternally Derived Antibodies at Vaccination
Abstract
1. Introduction
2. Materials and Methods
2.1. Animal Selection and Housing
2.2. Experimental Study Design and Sample Collection
2.3. DNA Extraction and Detection of PCV2 by qPCR
2.4. PCV2 Antibody Levels Measured by PCV2 IgG ELISA
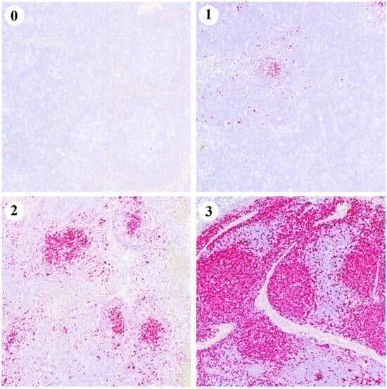
2.5. Histopathology and In Situ Hybridisation
2.6. Peripheral Blood Mononuclear Cells (PBMCs) Isolation and Stimulation
2.7. Multiplex Immunoassay for the Quantification of Cytokines
2.8. Statistical Analyses
3. Results
3.1. Clinical Assessment
3.2. Comparison Between V and NV Groups
3.2.1. BW and ADWG
3.2.2. Dynamics of PCV2 IgG Antibody Levels
3.2.3. PCV2 Infection Dynamics
3.2.4. Lesion Assessment and PCV2 Antigen Detection in TBLN
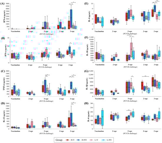
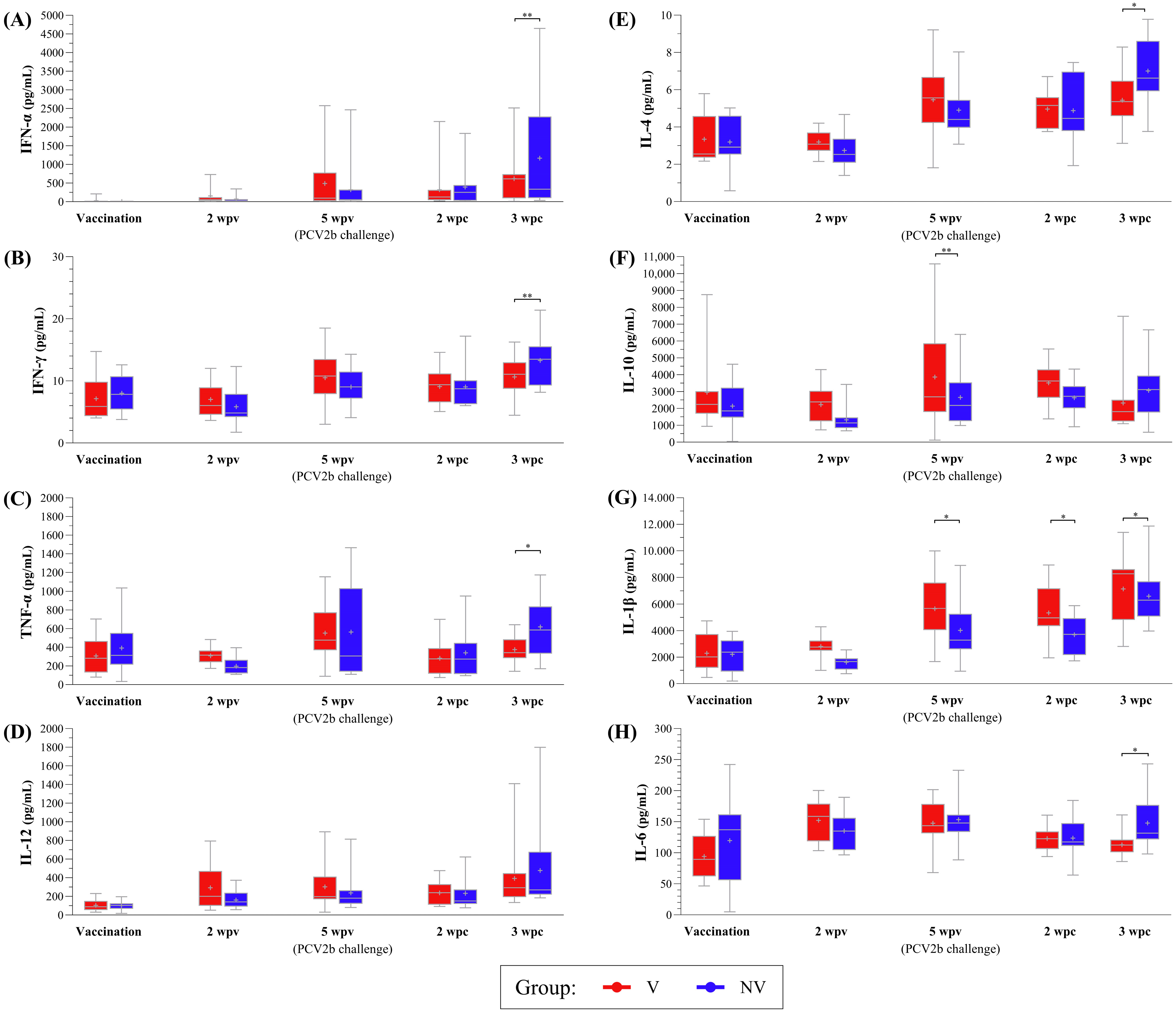
3.2.5. Cytokine Concentration
3.3. Comparison Among H-V, H-NV, L-V and L-NV Groups
3.3.1. BW and ADWG
3.3.2. Dynamics of PCV2 IgG Antibody Levels
3.3.3. PCV2 Infection Dynamics
3.3.4. Lesion Assessment and PCV2 Antigen Detection in TBLN Samples
3.3.5. Cytokine Concentration
4. Discussion
5. Conclusions
Author Contributions
Funding
Institutional Review Board Statement
Informed Consent Statement
Data Availability Statement
Acknowledgments
Conflicts of Interest
Appendix A


References
- Alarcon, P.; Rushton, J.; Wieland, B. Cost of post-weaning multi-systemic wasting syndrome and porcine circovirus type-2 subclinical infection in England-an economic disease model. Prev. Vet. Med. 2013, 110, 88–102. [Google Scholar] [CrossRef]
- Opriessnig, T.; Karuppannan, A.K.; Castro, A.M.M.G.; Xiao, C.T. Porcine circoviruses: Current status, knowledge gaps and challenges. Virus Res. 2020, 286, 198044. [Google Scholar] [CrossRef]
- Fablet, C.; Marois-Créhan, C.; Simon, G.; Grasland, B.; Jestin, A.; Kobisch, M.; Madec, F.; Rose, N. Infectious agents associated with respiratory diseases in 125 farrow-to-finish pig herds: A cross-sectional study. Vet. Microbiol. 2012, 157, 152–163. [Google Scholar] [CrossRef]
- Segalés, J.; Sibila, M. Revisiting porcine circovirus disease diagnostic criteria in the current porcine circovirus 2 epidemiological context. Vet. Sci. 2022, 9, 110. [Google Scholar] [CrossRef] [PubMed]
- Kristensen, C.S.; Baadsgaard, N.P.; Toft, N. A meta-analysis comparing the effect of PCV2 vaccines on average daily weight gain and mortality rate in pigs from weaning to slaughter. Prev. Vet. Med. 2010, 98, 250–258. [Google Scholar] [CrossRef]
- Chae, C. Commercial porcine circovirus type 2 vaccines: Efficacy and clinical application. Vet. J. 2012, 194, 151–157. [Google Scholar] [CrossRef]
- Maity, H.K.; Samanta, K.; Deb, R.; Gupta, V.K. Revisiting Porcine Circovirus Infection: Recent Insights and Its Significance in the Piggery Sector. Vaccines 2023, 11, 1308. [Google Scholar] [CrossRef] [PubMed]
- Franzo, G.; Segales, J. Porcine circovirus 2 (PCV2) genotype update and proposal of a new genotyping methodology. PLoS ONE 2018, 13, e0208585. [Google Scholar] [CrossRef] [PubMed]
- Wang, Y.; Noll, L.; Lu, N.; Porter, E.; Stoy, C.; Zheng, W.; Liu, X.; Peddireddi, L.; Niederwerder, M.; Bai, J. Genetic diversity and prevalence of porcine circovirus type 3 (PCV3) and type 2 (PCV2) in the Midwest of the USA during 2016–2018. Transbound. Emerg. Dis. 2020, 67, 1284–1294. [Google Scholar] [CrossRef]
- Dei Giudici, S.; Mura, L.; Bonelli, P.; Hawko, S.; Angioi, P.P.; Sechi, A.M.; Denti, S.; Sulas, A.; Burrai, G.P.; Madrau, M.P.; et al. Evidence of Porcine Circovirus Type 2 (PCV2) Genetic Shift from PCV2b to PCV2d Genotype in Sardinia, Italy. Viruses 2023, 15, 2157. [Google Scholar] [CrossRef]
- Gomes-Gonçalves, S.; Santos-Silva, S.; Moreira, G.; Cruz, A.V.S.; Mesquita, J.R. Detection of PCV2d in pig industry of the Iberian Peninsula. Vet. Res. Commun. 2025, 49, 296. [Google Scholar] [CrossRef] [PubMed]
- Sibila, M.; Rocco, C.; Franzo, G.; Huerta, E.; Domingo, M.; Núñez, J.I.; Segalés, J. Genotyping of Porcine Circovirus 2 (PCV2) in Vaccinated Pigs Suffering from PCV2-Systemic Disease between 2009 and 2020 in Spain. Pathogens 2021, 10, 1016. [Google Scholar] [CrossRef] [PubMed]
- Xiao, C.; Harmon, K.M.; Halbur, P.G.; Opriessnig, T. PCV2d-2 is the predominant type of PCV2 DNA in pig samples collected in the U.S. during 2014–2016. Vet. Microbiol. 2016, 197, 72–77. [Google Scholar] [CrossRef]
- Huang, Y.; Chen, X.; Long, Y.; Yang, L.; Song, W.; Liu, J.; Li, Q.; Liang, G.; Yu, D.; Huang, C.; et al. Epidemiological Analysis From 2018 to 2020 in China and Prevention Strategy of Porcine Circovirus Type 2. Front. Vet. Sci. 2021, 8, 753297. [Google Scholar] [CrossRef]
- Qu, T.; Li, R.; Yan, M.; Luo, B.; Yang, T.; Yu, X. High prevalence of PCV2d in Hunan province, China: A retrospective analysis of samples collected from 2006 to 2016. Arch. Virol. 2018, 163, 1897–1906. [Google Scholar] [CrossRef]
- Xiao, C.T.; Halbur, P.G.; Opriessnig, T. Global molecular genetic analysis of porcine circovirus type 2 (PCV2) sequences confirms the presence of four main PCV2 genotypes and reveals a rapid increase of PCV2d. J. Gen. Virol. 2015, 96 Pt 7, 1830–1841. [Google Scholar] [CrossRef]
- Opriessnig, T.; Langohr, I. Current state of knowledge on porcine circovirus type 2-associated lesions. Vet. Pathol. 2013, 50, 23–38. [Google Scholar] [CrossRef]
- Cho, H.; Kang, I.; Oh, T.; Yang, S.; Park, K.H.; Min, K.D.; Ham, H.J.; Chae, C. Comparative study of the virulence of 3 major Korean porcine circovirus type 2 genotypes (a, b, and d). Can. J. Vet. Res. 2020, 84, 235–240. [Google Scholar] [PubMed]
- Yu, C.; Cao, M.; Wei, Y.; Liu, J.; Zhang, H.; Liu, C.; Feng, L.; Huang, L. Evaluation of cross-immunity among major porcine circovirus type 2 genotypes by infection with PCV2b and PCV2d circulating strains. Vet. Microbiol. 2023, 283, 109796. [Google Scholar] [CrossRef]
- Guo, J.; Hou, L.; Zhou, J.; Wang, D.; Cui, Y.; Feng, X.; Liu, J. Porcine circovirus type 2 vaccines: Commercial application and research advances. Viruses 2022, 14, 2005. [Google Scholar] [CrossRef]
- Venegas-Vargas, C.; Taylor, L.P.; Foss, D.L.; Godbee, T.K.; Philip, R.; Bandrick, M. Cellular and humoral immunity following vaccination with two different PCV2 vaccines (containing PCV2a or PCV2a/PCV2b) and challenge with virulent PCV2d. Vaccine 2021, 39, 5615–5625. [Google Scholar] [CrossRef]
- Sipos, W.; Sipos, S. Clinical Efficacy of Two Novel, Differentially Administered (IM, ID) Vaccines against Mycoplasma hyopneumoniae and PCV2 in Swine under Field Conditions. Animals 2022, 12, 3467. [Google Scholar] [CrossRef] [PubMed]
- Oh, Y.; Seo, H.W.; Han, K.; Park, C.; Chae, C. Protective effect of the maternally derived porcine circovirus type 2 (PCV2)-specific cellular immune response in piglets by dam vaccination against PCV2 challenge. J. Gen. Virol. 2012, 93, 1556–1562. [Google Scholar] [CrossRef][Green Version]
- Haake, M.; Palzer, A.; Rist, B.; Weissenbacher-Lang, C.; Fachinger, V.; Eggen, A.; Ritzmann, M.; Eddicks, M. Influence of age on the effectiveness of PCV2 vaccination in piglets with high levels of maternally derived antibodies. Vet. Microbiol. 2014, 168, 272–280. [Google Scholar] [CrossRef] [PubMed]
- Seo, H.W.; Lee, J.; Han, K.; Park, C.; Chae, C. Comparative analyses of humoral and cell-mediated immune responses upon vaccination with different commercially available single-dose porcine circovirus type 2 vaccines. Res. Vet. Sci. 2014, 97, 38–42. [Google Scholar] [CrossRef]
- Oh, Y.; Seo, H.W.; Park, C.; Chae, C. Comparison of sow and/or piglet vaccination of 3 commercial porcine circovirus type 2 (PCV2) single-dose vaccines on pigs under experimental PCV2 challenge. Vet. Microbiol. 2014, 172, 371–380. [Google Scholar] [CrossRef]
- Feng, H.; Segalés, J.; Fraile, L.; López-Soria, S.; Sibila, M. Effect of high and low levels of maternally derived antibodies on porcine circovirus type 2 (PCV2) infection dynamics and production parameters in PCV2 vaccinated pigs under field conditions. Vaccine 2016, 34, 3044–3050. [Google Scholar] [CrossRef]
- Poulsen Nautrup, B.; Van Vlaenderen, I.; Mah, C.; Angulo, J. Do high levels of maternally derived antibodies interfere with the vaccination of piglets against porcine circovirus type 2? A literature review and data analysis. Vaccines 2021, 9, 923. [Google Scholar] [CrossRef] [PubMed]
- Pleguezuelos, P.; Sibila, M.; Ramírez, C.; López-Jiménez, R.; Pérez, D.; Huerta, E.; Llorens, A.M.; Pérez, M.; Correa-Fiz, F.; Mancera Gracia, J.C.; et al. Efficacy Studies against PCV2 of a New Trivalent Vaccine including PCV2a and PCV2b Genotypes and Mycoplasma hyopneumoniae When Administered at 3 Weeks of Age. Vaccines 2022, 10, 2108. [Google Scholar] [CrossRef]
- Cobos, À.; Domingo, M.; Pérez, M.; Huerta, E.; Llorens, A.; Segalés, J.; Sibila, M. Retrospective investigation of porcine circoviruses in cases of porcine dermatitis and nephropathy syndrome. Vet. Res. 2024, 55, 146. [Google Scholar] [CrossRef]
- Deleage, C.; Wietgrefe, S.W.; Del Prete, G.; Morcock, D.R.; Hao, X.P.; Piatak, M., Jr.; Bess, J.; Anderson, J.L.; Perkey, K.E.; Reilly, C.; et al. Defining HIV and SIV reservoirs in lymphoid tissues. Pathog. Immun. 2016, 1, 68–106. [Google Scholar] [CrossRef]
- Díaz, I.; Mateu, E. Use of ELISPOT and ELISA to evaluate IFN-gamma, IL-10 and IL-4 responses in conventional pigs. Vet. Immunol. Immunopathol. 2005, 106, 107–112. [Google Scholar] [CrossRef]
- Oliver-Ferrando, S.; Segalés, J.; Sibila, M.; Díaz, I. Comparison of cytokine profiles in peripheral blood mononuclear cells between piglets born from porcine circovirus 2 vaccinated and non-vaccinated sows. Vet. Microbiol. 2018, 214, 148–153. [Google Scholar] [CrossRef]
- Díaz, I. Rules of thumb to obtain, isolate, and preserve porcine peripheral blood mononuclear cells. Vet. Immunol. Immunopathol. 2022, 251, 110461. [Google Scholar] [CrossRef]
- Bandrick, M.; Balasch, M.; Heinz, A.; Taylor, L.; King, V.; Toepfer, J.; Foss, D. A bivalent porcine circovirus type 2 (PCV2), PCV2a-PCV2b, vaccine offers biologically superior protection compared to monovalent PCV2 vaccines. Vet. Res. 2022, 53, 12. [Google Scholar] [CrossRef] [PubMed]
- Pálmai, N.; Széplaki, N.Á.; Molnár, B.; Smits, H.; Krejci, R.; Kiss, I. Non-Compromised Efficacy of the First Commercial Ready-to-Use Genotype 2d Porcine Circovirus Type 2 and Mycoplasma hyopneumoniae Vaccine. Viruses 2025, 17, 554. [Google Scholar] [CrossRef]
- Opriessnig, T.; Patterson, A.R.; Elsener, J.; Meng, X.J.; Halbur, P.G. Influence of maternal antibodies on efficacy of porcine circovirus type 2 (PCV2) vaccination to protect pigs from experimental infection with PCV2. Clin. Vaccine Immunol. 2008, 15, 397–401. [Google Scholar] [CrossRef] [PubMed]
- Opriessnig, T.; Xiao, C.T.; Gerber, P.F.; Halbur, P.G.; Matzinger, S.R.; Meng, X.J. Mutant USA strain of porcine circovirus type 2 (mPCV2) exhibits similar virulence to the classical PCV2a and PCV2b strains in caesarean-derived, colostrum-deprived pigs. J. Gen. Virol. 2014, 95, 2495–2503. [Google Scholar] [CrossRef] [PubMed]
- McKeown, N.E.; Opriessnig, T.; Thomas, P.; Guenette, D.K.; Elvinger, F.; Fenaux, M.; Halbur, P.G.; Meng, X.J. Effects of porcine circovirus type 2 (PCV2) maternal antibodies on experimental infection of piglets with PCV2. Clin. Diagn. Lab. Immunol. 2005, 12, 1347–1351. [Google Scholar] [CrossRef]
- Krejci, R.; Trampus, P.; Csagola, A.; Szalai, T.; Palmai, N.; Toth, A.; Terenyi, N.; Nagy, Z.; Szeplaki, N.; Somogyi, G.; et al. Efficacy of a new ready-to-use vaccine against PCV-2d and Mycoplasma hyopneumoniae under experimental conditions. Veterinární Medicína 2025, 70, 196–202. [Google Scholar] [CrossRef]
- Fort, M.; Sibila, M.; Nofrarías, M.; Pérez-Martín, E.; Mateu, E. Evaluation of cell-mediated immune responses against porcine circovirus type 2 (PCV2) Cap and Rep proteins after vaccination with a commercial PCV2 sub-unit vaccine. Vet. Immunol. Immunopathol. 2012, 150, 128–132. [Google Scholar] [CrossRef]
- Sibila, M.; Guevara, G.; Cuadrado, R.; Pleguezuelos, P.; Pérez, D.; Pérez de Rozas, A.; Huerta, E.; Llorens, A.; Valero, O.; Pérez, M.; et al. Comparison of Mycoplasma hyopneumoniae and porcine circovirus 2 commercial vaccines efficacy when applied separate or combined under experimental conditions. Porc. Health Manag. 2020, 6, 11. [Google Scholar] [CrossRef] [PubMed]
- Opriessnig, T.; Fenaux, M.; Thomas, P.; Hoogland, M.J.; Rothschild, M.F.; Meng, X.J.; Halbur, P.G. Evidence of breed-dependent differences in susceptibility to porcine circovirus type-2-associated disease and lesions. Vet. Pathol. 2006, 43, 281–293. [Google Scholar] [CrossRef] [PubMed]
- Ouyang, Y.; Nauwynck, H.J. Molecular basis for the different PCV2 susceptibility of T-lymphoblasts in Landrace and Piétrain pigs. Vet. Res. 2024, 55, 22. [Google Scholar] [CrossRef]
- Zhang, P.; Wang, L.; Li, Y.; Jiang, P.; Wang, Y.; Wang, P.; Kang, L.; Wang, Y.; Sun, Y.; Jiang, Y. Identification and characterization of microRNA in the lung tissue of pigs with different susceptibilities to PCV2 infection. Vet. Res. 2018, 49, 18. [Google Scholar] [CrossRef] [PubMed]
- Li, Y.; Liu, H.; Wang, P.; Wang, L.; Sun, Y.; Liu, G.; Zhang, P.; Kang, L.; Jiang, S.; Jiang, Y. RNA-seq analysis reveals genes underlying different disease responses to porcine circovirus type 2 in pigs. PLoS ONE 2016, 11, e0155502. [Google Scholar] [CrossRef]
- Sarli, G.; D’Annunzio, G.; Gobbo, F.; Benazzi, C.; Ostanello, F. The role of pathology in the diagnosis of swine respiratory disease. Vet. Sci. 2021, 8, 256. [Google Scholar] [CrossRef]
- Sagrera, M.; Cobos, À.; Garza-Moreno, L.; Pérez, M.; García-Buendía, G.; Huerta, E.; Llorens, A.M.; Espigares, D.; Sibila, M.; Segalés, J. Automated pixel-based quantification of porcine circovirus 2 genome in formalin-fixed, paraffin-embedded tissues using in situ hybridisation. Front. Vet. Sci. 2025, 12, 1609897. [Google Scholar] [CrossRef]
- Brunborg, I.M.; Moldal, T.; Jonassen, C.M. Quantitation of porcine circovirus type 2 isolated from serum/plasma and tissue samples of healthy pigs and pigs with postweaning multisystemic wasting syndrome using a TaqMan-based real-time PCR. J. Virol. Methods 2004, 122, 171–178. [Google Scholar] [CrossRef]
- Olvera, A.; Sibila, M.; Calsamiglia, M.; Segalés, J.; Domingo, M. Comparison of porcine circovirus type 2 load in serum quantified by a real time PCR in postweaning multisystemic wasting syndrome and porcine dermatitis and nephropathy syndrome naturally affected pigs. J. Virol. Methods 2004, 117, 75–80. [Google Scholar] [CrossRef]
- Kim, D.; Ha, Y.; Lee, Y.H.; Chae, S.; Lee, K.; Han, K.; Kim, J.; Lee, J.H.; Kim, S.H.; Hwang, K.K.; et al. Comparative study of in situ hybridization and immunohistochemistry for the detection of porcine circovirus 2 in formalin-fixed, paraffin-embedded tissues. J. Vet. Med. Sci. 2009, 71, 1001–1004. [Google Scholar] [CrossRef]
- Fachinger, V.; Bischoff, R.; Jedidia, S.; Saalmüller, A.; Elbers, K. The effect of vaccination against porcine circovirus type 2 in pigs suffering from porcine respiratory disease complex. Vaccine 2008, 26, 1488–1499. [Google Scholar] [CrossRef]
- Martelli, P.; Saleri, R.; Ferrarini, G.; De Angelis, E.; Cavalli, V.; Benetti, M.; Ferrari, L.; Canelli, E.; Bonilauri, P.; Arioli, E.; et al. Impact of maternally derived immunity on piglets’ immune response and protection against porcine circovirus type 2 (PCV2) after vaccination against PCV2 at different age. BMC Vet. Res. 2016, 12, 77. [Google Scholar] [CrossRef] [PubMed]
- Kiss, J.; Szigeti, K.; Homonnay, Z.; Tamás, V.; Smits, H.; Krejci, R. Maternally derived antibody levels influence on vaccine protection against PCV2d challenge. Animals 2021, 11, 2231. [Google Scholar] [CrossRef] [PubMed]
- Tassis, P.D.; Tsakmakidis, I.; Papatsiros, V.G.; Koulialis, D.; Nell, T.; Brellou, G.; Tzika, E.D. A randomized controlled study on the efficacy of a novel combination vaccine against enzootic pneumonia (Mycoplasma hyopneumoniae) and porcine Circovirus type 2 (PCV2) in the presence of strong maternally derived PCV2 immunity in pigs. BMC Vet. Res. 2017, 13, 91. [Google Scholar] [CrossRef]
- Figueras-Gourgues, S.; Fraile, L.; Segalés, J.; Hernández-Caravaca, I.; López-Úbeda, R.; García-Vázquez, F.A.; Gomez-Duran, O.; Grosse-Liesner, B. Effect of Porcine circovirus 2 (PCV2) maternally derived antibodies on performance and PCV2 viremia in vaccinated piglets under field conditions. Porc. Health Manag. 2019, 5, 21. [Google Scholar] [CrossRef] [PubMed]
- Opriessnig, T.; Patterson, A.R.; Madson, D.M.; Pal, N.; Ramamoorthy, S.; Meng, X.J.; Halbur, P.G. Comparison of the effectiveness of passive (dam) versus active (piglet) immunization against porcine circovirus type 2 (PCV2) and impact of passively derived PCV2 vaccine-induced immunity on vaccination. Vet. Microbiol. 2010, 142, 177–183. [Google Scholar] [CrossRef]
- Martelli, P.; Ferrari, L.; Morganti, M.; Angelis, D.E.; Bonilauri, P.; Guazzetti, S.; Caleffi, A.; Borghetti, P. One dose of a porcine circovirus 2 subunit vaccine induces humoral and cell-mediated immunity and protects against porcine circovirus-associated disease under field conditions. Vet. Microbiol. 2011, 149, 339–351. [Google Scholar] [CrossRef]
- Kerkhofs, P.; Renjifo, X.; Toussaint, J.F.; Letellier, C.; Vanopdenbosch, E.; Wellemans, G. Enhancement of the immune response and virological protection of calves against bovine herpesvirus type 1 with an inactivated gE-deleted vaccine. Vet. Rec. 2003, 152, 681–686. [Google Scholar] [CrossRef]
- Roederer, M.; Keele, B.F.; Schmidt, S.D.; Mason, R.D.; Welles, H.C.; Fischer, W.; Labranche, C.; Foulds, K.E.; Louder, M.K.; Yang, Z.-Y.; et al. Immunological and virological mechanisms of vaccine-mediated protection against SIV and HIV. Nature 2014, 505, 502–508. [Google Scholar] [CrossRef]
- Bonckaert, C.; van der Meulen, K.; Rodríguez-Ballarà, I.; Pedrazuela Sanz, R.; Martinez, M.F.; Nauwynck, H.J. Modified-live PRRSV subtype 1 vaccine UNISTRAIN® PRRS provides a partial clinical and virological protection upon challenge with East European subtype 3 PRRSV strain Lena. Porc. Health Manag. 2016, 2, 12. [Google Scholar] [CrossRef]
- Tan, A.T.; Lim, J.M.E.; Bertoletti, A. Protection from infection or disease? Re-evaluating the broad immunogenicity of inactivated SARS-CoV-2 vaccines. Virol. Sin. 2022, 37, 783–785. [Google Scholar] [CrossRef]
- Meerts, P.; Misinzo, G.; Lefebvre, D.; Nielsen, J.; Bøtner, A.; Kristensen, C.S.; Nauwynck, H.J. Correlation between the presence of neutralizing antibodies against porcine circovirus 2 (PCV2) and protection against replication of the virus and development of PCV2-associated disease. BMC Vet. Res. 2006, 2, 6. [Google Scholar] [CrossRef]
- Trible, B.R.; Rowland, R.R. Genetic variation of porcine circovirus type 2 (PCV2) and its relevance to vaccination, pathogenesis and diagnosis. Virus Res. 2012, 164, 68–77. [Google Scholar] [CrossRef]
- Shi, R.; Hou, L.; Liu, J. Host immune response to infection with porcine circoviruses. Anim. Dis. 2021, 1, 23. [Google Scholar] [CrossRef]
- Song, Y.; Jin, M.; Zhang, S.; Xu, X.; Xiao, S.; Cao, S.; Chen, H. Generation and immunogenicity of a recombinant pseudorabies virus expressing Cap protein of porcine circovirus type 2. Vet. Microbiol. 2007, 119, 97–104. [Google Scholar] [CrossRef]
- Ostanello, F.; Caprioli, A.; Di Francesco, A.; Battilani, M.; Sala, G.; Sarli, G.; Mandrioli, L.; McNeilly, F.; Allan, G.M.; Prosperi, S. Experimental infection of 3-week-old conventional colostrum-fed pigs with porcine circovirus type 2 and porcine parvovirus. Vet. Microbiol. 2005, 108, 179–186. [Google Scholar] [CrossRef]
- Saha, D.; Sacristán, R.D.P.; Van Renne, N.; Huang, L.; Decaluwe, R.; Michiels, A.; Rodriguez, A.L.; Rodríguez, M.J.; Durán, M.G.; Declerk, I.; et al. Anti-porcine circovirus type 2 (PCV2) antibody placental barrier leakage from sow to fetus: Impact on the diagnosis of intra-uterine PCV2 infection. Virol. Sin. 2014, 29, 136–138. [Google Scholar] [CrossRef] [PubMed]
- Raymond, C.R.; Wilkie, B.N. Th-1/Th-2 type cytokine profiles of pig T-cells cultured with antigen-treated monocyte-derived dendritic cells. Vaccine 2004, 22, 1016–1023. [Google Scholar] [CrossRef]
- Moss, R.B.; Moll, T.; El-Kalay, M.; Kohne, C.; Soo Hoo, W.; Encinas, J.; Carlo, D.J. Th1/Th2 cells in inflammatory disease states: Therapeutic implications. Expert Opin. Biol. Ther. 2004, 4, 1887–1896. [Google Scholar] [CrossRef] [PubMed]
- Darwich, L.; Mateu, E. Immunology of porcine circovirus type 2 (PCV2). Virus Res. 2012, 164, 61–67. [Google Scholar] [CrossRef]
- Ferrari, L.; Borghetti, P.; De Angelis, E.; Martelli, P. Memory T cell proliferative responses and IFN-γ productivity sustain long-lasting efficacy of a Cap-based PCV2 vaccine upon PCV2 natural infection and associated disease. Vet. Res. 2014, 45, 44. [Google Scholar] [CrossRef]
- Muraille, E.; Leo, O.; Moser, M. TH1/TH2 paradigm extended: Macrophage polarization as an unappreciated pathogen-driven escape mechanism? Front. Immunol. 2014, 5, 603. [Google Scholar] [CrossRef]
- Du, Q.; Wu, X.; Wang, T.; Yang, X.; Wang, Z.; Niu, Y.; Zhao, X.; Liu, S.L.; Tong, D.; Huang, Y. Porcine Circovirus Type 2 Suppresses IL-12p40 Induction via Capsid/gC1qR-Mediated MicroRNAs and Signalings. J. Immunol. 2018, 201, 533–547. [Google Scholar] [CrossRef]
- Quereda, J.J.; Ramis, G.; Pallarés, F.J.; Chapat, L.; Goubier, A.; Joisel, F.; Charreyre, C.; Villar, D.; Muñoz, A. Interleukin-4, interleukin-5, and interleukin-13 gene expression in cultured mononuclear cells from porcine circovirus type 2–vaccinated pigs after cells were challenged with porcine circovirus type 2 open reading frame 2 antigen. Am. J. Vet. Res. 2013, 74, 110–114. [Google Scholar] [CrossRef] [PubMed]
- Du, Q.; Huang, Y.; Wang, T.; Zhang, X.; Chen, Y.; Cui, B.; Li, D.; Zhao, X.; Zhang, W.; Chang, L.; et al. Porcine circovirus type 2 activates PI3K/Akt and p38 MAPK pathways to promote interleukin-10 production in macrophages via Cap interaction of gC1qR. Oncotarget 2016, 7, 17492–17507. [Google Scholar] [CrossRef] [PubMed]
- Zhu, X.; Bai, J.; Liu, P.; Wang, X.; Jiang, P. Suppressor of cytokine signaling 3 plays an important role in porcine circovirus type 2 subclinical infection by downregulating proinflammatory responses. Sci. Rep. 2016, 6, 32538. [Google Scholar] [CrossRef] [PubMed]
- Fehér, E.; Jakab, F.; Bányai, K. Mechanisms of circovirus immunosuppression and pathogenesis with a focus on porcine circovirus 2: A review. Vet. Q. 2023, 43, 1–18. [Google Scholar] [CrossRef]







| BW (Kg) ± SD (CV%) | ADWG (Kg) ± SD (CV%) | ||||||
|---|---|---|---|---|---|---|---|
| Group | Vaccination | Challenge (5 wpv) | Necropsy (3 wpc) | (Vaccination– Challenge) | (Challenge– Necropsy) | (Vaccination–Necropsy) | |
| V vs. NV | V | 5.72 ± 0.96 (16.8%) | 23.80 ± 4.42 (18.6%) | 42.70 ± 6.39 (15.0%) | 0.463 ± 0.096 (20.7%) | 0.840 ± 0.110 (13.0%) | 0.602 ± 0.092 (15.3%) |
| NV | 5.58 ± 1.07 (19.1%) | 23.90 ± 3.80 (15.9%) | 43.00 ± 6.47 (15.0%) | 0.469 ± 0.084 (17.9%) | 0.851 ± 0.154 (18.1%) | 0.609 ± 0.098 (16.1%) | |
| All subgroups | H-V | 5.91 ± 1.02 (17.3%) | 24.81 ± 3.28 (13.2%) | 44.45 ± 4.18 (9.4%) | 0.485 ± 0.065 (13.4%) | 0.873 ± 0.081 a,b (9.2%) | 0.627 ± 0.653 (8.9%) |
| H-NV | 5.63 ± 1.08 (19.2%) | 24.45 ± 3.73 (15.2%) | 45.77 ± 5.49 (12.0%) | 0.482 ± 0.090 (18.6%) | 0.947 ± 0.116 a (12.3%) | 0.653 ± 0.088 (13.4%) | |
| L-V | 5.52 ± 0.89 (16.2%) | 22.69 ± 5.33 (23.5%) | 40.84 ± 7.94 (19.4%) | 0.440 ± 0.120 (27.2%) | 0.805 ± 0.129 a,b (16.0%) | 0.575 ± 0.035 (20.4%) | |
| L-NV | 5.55 ± 1.10 (19.8%) | 23.46 ± 3.96 (16.9%) | 40.96 ± 6.58 (16.1%) | 0.459 ± 0.082 (17.9%) | 0.779 ± 0.142 b (18.2%) | 0.576 ± 0.095 (16.5%) | |
| ISH (n/Total Pigs Per Group, %) | |||||
|---|---|---|---|---|---|
| Score (0–3) | 0 | 1 | 2 | 3 | |
| V vs. NV | V | 17/23 a (73.9%) | 3/23 a (13.0%) | 3/23 a (13.0%) | 0/23 a (0.0%) |
| NV | 7/21b (33.3%) | 3/21 a (14.3%) | 7/21 a (33.3%) | 4/21 b (19.0%) | |
| All subgroups | H-V | 8/12 a (66.7%) | 3/12 a (25.0%) | 1/12 a (8.3%) | 0/12 a (0.0%) |
| H-NV | 1/9 b (11.1%) | 2/9 a (22.2%) | 3/9 a (33.3%) | 3/9 b (33.3%) | |
| L-V | 9/11 a (81.8%) | 0/11 a (0.0%) | 2/11 a (18.2%) | 0/11 a (0.0%) | |
| L-NV | 6/12 a,b (50.0%) | 1/12 a (8.3%) | 4/12 a (33.3%) | 1/12 a,b (8.3%) | |
Disclaimer/Publisher’s Note: The statements, opinions and data contained in all publications are solely those of the individual author(s) and contributor(s) and not of MDPI and/or the editor(s). MDPI and/or the editor(s) disclaim responsibility for any injury to people or property resulting from any ideas, methods, instructions or products referred to in the content. |
© 2025 by the authors. Licensee MDPI, Basel, Switzerland. This article is an open access article distributed under the terms and conditions of the Creative Commons Attribution (CC BY) license (https://creativecommons.org/licenses/by/4.0/).
Share and Cite
Sagrera, M.; Garza-Moreno, L.; Cobos, À.; Llorens, A.M.; Huerta, E.; Pérez, M.; Pérez, D.; Espigares, D.; Segalés, J.; Sibila, M. Efficacy of a Novel PCV2d and Mycoplasma hyopneumoniae Combined Vaccine in Piglets with High and Low Levels of PCV2 Maternally Derived Antibodies at Vaccination. Vaccines 2025, 13, 1076. https://doi.org/10.3390/vaccines13101076
Sagrera M, Garza-Moreno L, Cobos À, Llorens AM, Huerta E, Pérez M, Pérez D, Espigares D, Segalés J, Sibila M. Efficacy of a Novel PCV2d and Mycoplasma hyopneumoniae Combined Vaccine in Piglets with High and Low Levels of PCV2 Maternally Derived Antibodies at Vaccination. Vaccines. 2025; 13(10):1076. https://doi.org/10.3390/vaccines13101076
Chicago/Turabian StyleSagrera, Mònica, Laura Garza-Moreno, Àlex Cobos, Anna Maria Llorens, Eva Huerta, Mónica Pérez, Diego Pérez, David Espigares, Joaquim Segalés, and Marina Sibila. 2025. "Efficacy of a Novel PCV2d and Mycoplasma hyopneumoniae Combined Vaccine in Piglets with High and Low Levels of PCV2 Maternally Derived Antibodies at Vaccination" Vaccines 13, no. 10: 1076. https://doi.org/10.3390/vaccines13101076
APA StyleSagrera, M., Garza-Moreno, L., Cobos, À., Llorens, A. M., Huerta, E., Pérez, M., Pérez, D., Espigares, D., Segalés, J., & Sibila, M. (2025). Efficacy of a Novel PCV2d and Mycoplasma hyopneumoniae Combined Vaccine in Piglets with High and Low Levels of PCV2 Maternally Derived Antibodies at Vaccination. Vaccines, 13(10), 1076. https://doi.org/10.3390/vaccines13101076

