Safety, Tolerability, and Immunogenicity of Booster Dose with MVC-COV1901 or MVC-COV1901-Beta SARS-CoV-2 Vaccine in Adults: A Phase I, Prospective, Randomized, Open-Labeled Study
Abstract
:1. Introduction
2. Materials and Methods
2.1. Study Design and Participants
2.2. Randomization and Masking
2.3. Procedure and Outcomes
2.4. Statistical Analysis
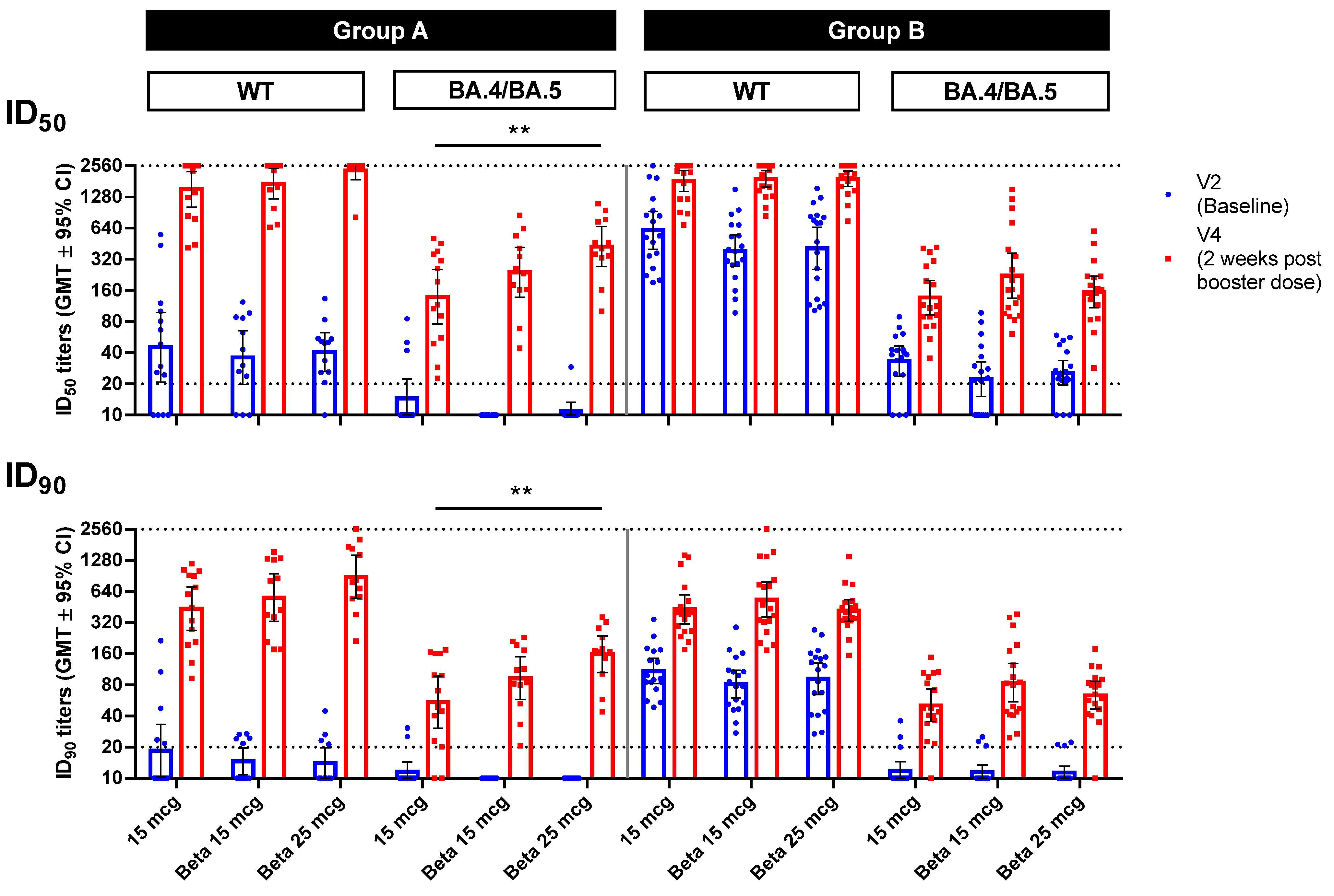
3. Results
4. Discussion
5. Conclusions
Supplementary Materials
Author Contributions
Funding
Institutional Review Board Statement
Informed Consent Statement
Data Availability Statement
Acknowledgments
Conflicts of Interest
References
- World Health Organisation. Statement on the Fifteenth Meeting of the IHR (2005) Emergency Committee on the COVID-19 Pandemic. 2023. Available online: https://www.who.int/news/item/05-05-2023-statement-on-the-fifteenth-meeting-of-the-international-health-regulations-(2005)-emergency-committee-regarding-the-coronavirus-disease-(covid-19)-pandemic (accessed on 17 November 2023).
- Mathieu, E.; Ritchie, H.; Rodés-Guirao, L.; Appel, C.; Giattino, C.; Hasell, J.; Macdonald, D.; Roser, B.a.M. Coronavirus (COVID-19) Vaccinations. Available online: https://ourworldindata.org/covid-vaccinations (accessed on 17 November 2023).
- Wang, Q.; Guo, Y.; Zhang, R.M.; Ho, J.; Mohri, H.; Valde, R.; Manthei, D.M.; Gordon, A.; Liu, L.; Ho, D.D. Antibody Neutralization of Emerging SARS-CoV-2: EG.5.1 and XBC.1.6. bioRxiv 2023. bioRxiv:2023.08.21.553968. [Google Scholar] [CrossRef]
- Faraone, J.N.; Qu, P.; Zheng, Y.M.; Carlin, C.; Jones, D.; Panchal, A.R.; Saif, L.J.; Oltz, E.M.; Gumina, R.J. Continued evasion of neutralizing antibody response by Omicron XBB. 1.16. Cell Rep. 2023, 42, 113193. [Google Scholar] [CrossRef] [PubMed]
- World Health Organisation. Tracking SARS-CoV-2 Variants. Available online: https://www.who.int/en/activities/tracking-SARS-CoV-2-variants/ (accessed on 17 November 2023).
- Stankov, M.V.; Hoffmann, M.; Gutierrez, R.; Cossmann, A.; Graalmann, T.; Winter, E.J.; Friedrichsen, M.; Ravens, I.; Ilievska, T.; Ristenpart, J. Humoral and cellular immune responses following BNT162b2 XBB.1.5 vaccination. medRxiv 2023. medRxiv:2023.10.04.23296545. [Google Scholar] [CrossRef] [PubMed]
- Novavax U.S. CDC and Advisory Committee Recommend Use of Authorized and Approved 2023–2024 Monovalent XBB COVID-19 Vaccines. Available online: https://ir.novavax.com/press-releases/US-CDC-and-Advisory-Committee-Recommend-Use-of-Authorized-and-Approved-2023-2024-Monovalent-XBB-COVID-19-Vaccines (accessed on 18 September 2023).
- US Food and Drug Administration. FDA Takes Action on Updated mRNA COVID-19 Vaccines to Better Protect Against Currently Circulating Variants. Available online: https://www.fda.gov/news-events/press-announcements/fda-takes-action-updated-mrna-covid-19-vaccines-better-protect-against-currently-circulating (accessed on 18 September 2023).
- Ledford, H. The next variant: Three key questions about what’s after Omicron. Nature 2022, 603, 212–213. [Google Scholar] [CrossRef] [PubMed]
- Hsieh, S.M.; Chang, S.C.; Cheng, H.Y.; Shih, S.R.; Lien, C.E. Durability and Immunogenicity of Neutralizing Antibodies Response Against Omicron Variants After Three Doses of Subunit SARS-CoV-2 Vaccine MVC-COV1901: An Extension to an Open-Label, Dose-Escalation Phase 1 Study. Infect. Dis. Ther. 2022, 11, 1493–1504. [Google Scholar] [CrossRef] [PubMed]
- Kuo, T.Y.; Lien, C.E.; Lin, Y.J.; Lin, M.Y.; Wu, C.C.; Tang, W.H.; Campbell, J.D.; Traquina, P.; Chuang, Y.-S.; Liu, L.T.-C.; et al. Protection of Hamsters Challenged with SARS-CoV-2 Delta Variant after Two Doses of Adjuvanted SARS-CoV-2 Stabilized Prefusion Spike Protein (S-2P) and a Single Dose of Beta Variant S-2P. J. Infect. Dis. 2022, 226, 1562–1567. [Google Scholar] [CrossRef] [PubMed]
- Chen, C.P.; Huang, K.Y.A.; Shih, S.R.; Lin, Y.C.; Cheng, C.Y.; Huang, Y.C.; Lin, T.Y.; Cheng, S.H. Anti-Spike Antibody Response to Natural Infection with SARS-CoV-2 and Its Activity against Emerging Variants. Microbiol. Spectr. 2022, 10, e0074322. [Google Scholar] [CrossRef]
- Huang, K.Y.A.; Li, C.K.F.; Clutterbuck, E.; Chui, C.; Wilkinson, T.; Gilbert, A.; Oxford, J.; Lambkin-Williams, R.; Lin, T.Y.; McMichael, A.J.; et al. Virus-specific antibody secreting cell, memory B-cell, and sero-antibody responses in the human influenza challenge model. J. Infect. Dis. 2014, 209, 1354–1361. [Google Scholar] [CrossRef]
- Hsieh, S.M.; Liu, W.D.; Huang, Y.S.; Lin, Y.J.; Hsieh, E.F.; Lian, W.C.; Chen, C.; Janssen, R.; Shih, S.-R.; Huang, C.-G.; et al. Safety and immunogenicity of a Recombinant Stabilized Prefusion SARS-CoV-2 Spike Protein Vaccine (MVCCOV1901) Adjuvanted with CpG 1018 and Aluminum Hydroxide in healthy adults: A Phase 1, dose-escalation study. EClinicalMedicine 2021, 38, 100989. [Google Scholar] [CrossRef]
- Hsieh, S.M.; Liu, M.C.; Chen, Y.H.; Lee, W.S.; Hwang, S.J.; Cheng, S.H.; Ko, W.C.; Hwang, K.P.; Wang, N.C. Safety and immunogenicity of CpG 1018 and aluminum hydroxide-adjuvanted SARS-CoV-2 S-2P protein vaccine MVC-COV1901: Interim results of a large-scale, double-blind, randomised, placebo-controlled phase 2 trial in Taiwan. Lancet Respir. Med. 2022, 9, 1396–1406. [Google Scholar] [CrossRef]
- Lien, C.E.; Kuo, T.Y.; Lin, Y.J.; Lian, W.C.; Lin, M.Y.; Liu, L.T.C.; Cheng, J.; Chou, Y.C.; Chen, C. Evaluating the neutralizing ability of a CpG-adjuvanted S-2P subunit vaccine against severe acute respiratory syndrome coronavirus 2 (SARS-CoV-2) variants of concern. Clin. Infect. Dis. 2022, 74, 1899–1905. [Google Scholar] [CrossRef] [PubMed]
- Tartof, S.Y.; Slezak, J.M.; Puzniak, L.; Hong, V.; Frankland, T.B.; Ackerson, B.K.; Takhar, H.S.; Ogun, O.A.; Simmons, S.R.; Zamparo, J.M.; et al. Effectiveness of a third dose of BNT162b2 mRNA COVID-19 vaccine in a large US health system: A retrospective cohort study. Lancet Reg. Health Am. 2022, 9, 100198. [Google Scholar] [CrossRef] [PubMed]
- Tseng, H.F.; Ackerson, B.K.; Luo, Y.; Sy, L.S.; Talarico, C.A.; Tian, Y.; Bruxvoort, K.J.; Tubert, J.E.; Florea, A.; Ku, J.H.; et al. Effectiveness of mRNA-1273 against SARS-CoV-2 Omicron and Delta variants. Nat. Med. 2022, 28, 1063–1071. [Google Scholar] [CrossRef] [PubMed]
- Choi, A.; Koch, M.; Wu, K.; Chu, L.; Ma, L.; Hill, A.; Nunna, N.; Huang, W.; Oestreicher, J.; Colpitts, T.; et al. Safety and immunogenicity of SARS-CoV-2 variant mRNA vaccine boosters in healthy adults: An interim analysis. Nat. Med. 2021, 27, 2025–2031. [Google Scholar] [CrossRef] [PubMed]
- Chalkias, S.; Harper, C.; Vrbicky, K.; Walsh, S.R.; Essink, B.; Brosz, A.; McGhee, N.; Tomassini, J.E.; Chen, X.; Chang, Y.; et al. A Bivalent Omicron-containing Booster Vaccine Against Covid-19. N. Engl. J. Med. 2022, 387, 1279–1291. [Google Scholar] [CrossRef] [PubMed]
- Launay, O.; Cachanado, M.; Nguyen, L.B.L.; Ninove, L.; Lachatre, M.; Ghezala, I.B.; Bardou, M.; Schmidt-Mutter, C.; Lacombe, K.; Laine, F.; et al. Immunogenicity and Safety of Beta Adjuvanted Recombinant Booster Vaccine. N. Engl. J. Med. 2022, 387, 374–376. [Google Scholar] [CrossRef] [PubMed]
- European Medicines Agency. VidPrevtyn Beta. Available online: https://www.ema.europa.eu/en/medicines/human/EPAR/vidprevtyn-beta (accessed on 20 November 2023).
- Pavot, V.; Berry, C.; Kishko, M.; Anosova, N.G.; Li, L.; Tibbitts, T.; Huang, D.; Raillard, A.; Gautheron, S.; Gutzeit, C.; et al. Beta variant COVID-19 protein booster vaccine elicits durable cross-neutralization against SARS-CoV-2 variants in non-human primates. Nat. Commun. 2023, 14, 1309. [Google Scholar] [CrossRef]
- Sridhar, S.; Chicz, R.M.; Warren, W.; Tartaglia, J.; Savarino, S.; Gurunathan, S.; Toussaint, J.-F. The potential of Beta variant containing COVID booster vaccines for chasing Omicron in 2022. Nat Commun. 2022, 13, 5794. [Google Scholar] [CrossRef]
- Ramasamy, M.N.; Kelly, E.J.; Seegobin, S.; Dargan, P.I.; Payne, R.; Libri, V.; Adam, M.; Aley, P.K.; Martinez-Alier, N.; Church, A.; et al. Immunogenicity and safety of AZD2816, a beta (B. 1.351) variant COVID-19 vaccine, and AZD1222 (ChAdOx1 nCoV-19) as third-dose boosters for previously vaccinated adults: A multicentre, randomised, partly double-blinded, phase 2/3 non-inferiority immunobridging study in the UK and Poland. Lancet Microbe 2023, 4, e863–e874. [Google Scholar]
- Taylor, N.P. AstraZeneca Dumps Late-Phase, Next-Gen COVID-19 Vaccine, Calling Time on a Beta Player in an Omicron World. Fierce Biotech. Available online: https://www.fiercebiotech.com/biotech/astrazeneca-dumps-late-phase-next-gen-covid-19-vaccine-calling-time-a-beta-player-omicron (accessed on 20 November 2023).
- Khoury, D.S.; Cromer, D.; Reynaldi, A.; Schlub, T.E.; Wheatley, A.K.; Juno, J.A.; Subbarao, K.; Kent, S.J.; Triccas, J.A.; Davenport, M.P. Neutralizing antibody levels are highly predictive of immune protection from symptomatic SARS-CoV-2 infection. Nat. Med. 2021, 27, 1205–1211. [Google Scholar] [CrossRef]
- World Health Organisation. WHO Target Product Profiles for COVID-19 Vaccines. Revised Version April. 2022. Available online: https://www.who.int/publications/m/item/who-target-product-profiles-for-covid-19-vaccines (accessed on 13 October 2022).
- Moss, P. The T cell immune response against SARS-CoV-2. Nat. Immunol. 2022, 23, 186–193. [Google Scholar] [CrossRef] [PubMed]
- Calabrese, C.M.; Husni, E.M.; Moss, B.M.; Fernandez, A.J.; Jin, Y.; Kirchner, E.; Calabrese, L.H. Breakthrough SARS–CoV-2 Infections in Patients With Immune-Mediated Disease Undergoing B Cell–Depleting Therapy: A Retrospective Cohort Analysis. Arthritis Rheumatol. 2022, 74, 1906–1915. [Google Scholar] [CrossRef] [PubMed]
- Muecksch, F.; Wang, Z.; Cho, A.; Gaebler, C.; Ben Tanfous, T.; DaSilva, J.; Bednarski, E.; Ramos, V.; Zong, S.; Johnson, B.; et al. Increased memory B cell potency and breadth after a SARS-CoV-2 mRNA boost. Nature 2022, 607, 128–134. [Google Scholar] [CrossRef] [PubMed]
- Yang, L.; Van Beek, M.; Wang, Z.; Muecksch, F.; Canis, M.; Hatziioannou, T.; Bieniasz, P.D.; Nussenzweig, M.C.; Chakraborty, A.K. Antigen presentation dynamics shape the response to emergent variants like SARS-CoV-2 Omicron strain after multiple vaccinations with wild type strain. bioRxiv 2022. bioRxiv:24.505127. [Google Scholar] [CrossRef]
- Gagne, M.; Moliva, J.I.; Foulds, K.E.; Andrew, S.F.; Flynn, B.J.; Werner, A.P.; Wagner, D.A.; Teng, I.-T.; Lin, B.C.; Moore, C.; et al. mRNA-1273 or mRNA-Omicron boost in vaccinated macaques elicits similar B cell expansion, neutralizing responses, and protection from Omicron. Cell 2022, 185, 1556–1571. [Google Scholar] [CrossRef]
- Torales, J.; Cuenca-Torres, O.; Barrios, L.; Armoa-Garcia, L.; Estigarribia, G.; Sanabria, G.; Lin, M.-Y.; Estrada, J.A.; Estephan, L.; Cheng, H.-Y.; et al. An evaluation of the safety and immunogenicity of MVC-COV1901: Results of an interim analysis of a phase III, parallel group, randomized, double-blind, active-controlled immunobridging study in Paraguay. Vaccine 2023, 41, 109–118. [Google Scholar] [CrossRef]





| Group A (n = 45) | ||||
| MVC-COV1901 (15 mcg) | MVC-COV1901 (15 mcg, beta) | MVC-COV1901 (25 mcg, beta) | p-Value * | |
| Number of participants, n | 15 | 15 | 15 | - |
| Age | - | |||
| Mean (SD) | 36.9 (9.25) | 34.7 (7.71) | 39.5 (9.16) | 0.3309 a |
| Sex | 0.6376 b | |||
| Male | 8 (53.3%) | 11 (73.3%) | 9 (60.0%) | - |
| Female | 7 (46.7%) | 4 (26.7%) | 6 (40.0%) | - |
| Ethnicity | - | |||
| Asian | 15 (100%) | 15 (100%) | 15 (100%) | - |
| BMI | ||||
| Mean (SD) | 24.99 (4.14) | 24.71 (4.09) | 26.21 (5.58) | 0.6454 a |
| Comorbidities | ||||
| HIV-positive | 0 | 0 | 0 | - |
| HBsAg-positive | 0 | 0 | 0 | - |
| Anti-HCV antibody-positive | 0 | 0 | 0 | - |
| Cardiovascular disease | 0 | 0 | 0 | - |
| Cerebrovascular disease | 0 | 0 | 0 | - |
| Malignancy | 0 | 0 | 0 | - |
| HbA1c higher than the normal range (%) | 0 | 1 (6.7%) | 0 | - |
| 1, 2 dose interval (days) mean (SD) | 33.1 (6.55) | 34.5 (4.21) | 32.6 (4.98) | 0.3027 c |
| 2, 3 dose interval (days) mean (SD) | - | - | - | 0.1595 c |
| Last dose interval (days) mean (SD) | 270.6 (101.06) | 223.3 (36.98) | 294.5 (90.88) | |
| Group B (n = 62) | ||||
| MVC-COV1901 (15 mcg) | MVC-COV1901 (15 mcg, beta) | MVC-COV1901 (25 mcg, beta) | ||
| Number of participants, n | 21 | 21 | 20 | - |
| Age | - | |||
| Mean (SD) | 36.8 (9.24) | 38.6 (7.53) | 38.0 (8.98) | 0.8162 a |
| Sex | 0.5530 b | |||
| Male | 8 (38.1%) | 10 (47.6%) | 11 (55.0%) | - |
| Female | 13 (61.9%) | 11 (52.4%) | 9 (45.0%) | - |
| Ethnicity | - | |||
| Asian | 21 (100%) | 21 (100%) | 20 (100%) | - |
| BMI | ||||
| Mean (SD) | 24.44 (3.84) | 24.21 (4.91) | 24.61 (3.97) | 0.8172 a |
| Comorbidities | ||||
| HIV-positive | 0 | 0 | 0 | - |
| HBsAg-positive | 0 | 0 | 0 | - |
| Anti-HCV antibody-positive | 0 | 0 | 0 | - |
| Cardiovascular disease | 0 | 1 (4.8%) | 0 | - |
| Cerebrovascular disease | 1 (4.8%) | 0 | 0 | - |
| Malignancy | 0 | 0 | 1 (5.0%) | - |
| HbA1c higher than the normal range (%) | 2 (9.5%) | 0 | 1 (5.0%) | - |
| 1, 2 dose interval (days) mean (SD) | 38.7 (7.80) | 37.5 (3.04) | 37.6 (2.78) | 0.9774 c |
| 2, 3 dose interval (days) mean (SD) | 111.6 (11.82) | 113.2 (16.44) | 109.2 (9.41) | 0.6995 c |
| Last dose interval (days) mean (SD) | 120.9 (12.20) | 128.0 (28.05) | 123.2 (10.32) | 0.7758 c |
Disclaimer/Publisher’s Note: The statements, opinions and data contained in all publications are solely those of the individual author(s) and contributor(s) and not of MDPI and/or the editor(s). MDPI and/or the editor(s) disclaim responsibility for any injury to people or property resulting from any ideas, methods, instructions or products referred to in the content. |
© 2023 by the authors. Licensee MDPI, Basel, Switzerland. This article is an open access article distributed under the terms and conditions of the Creative Commons Attribution (CC BY) license (https://creativecommons.org/licenses/by/4.0/).
Share and Cite
Lien, C.E.; Liu, M.-C.; Wang, N.-C.; Liu, L.T.-C.; Wu, C.-C.; Tang, W.-H.; Lian, W.-C.; Huang, K.-Y.A.; Chen, C. Safety, Tolerability, and Immunogenicity of Booster Dose with MVC-COV1901 or MVC-COV1901-Beta SARS-CoV-2 Vaccine in Adults: A Phase I, Prospective, Randomized, Open-Labeled Study. Vaccines 2023, 11, 1798. https://doi.org/10.3390/vaccines11121798
Lien CE, Liu M-C, Wang N-C, Liu LT-C, Wu C-C, Tang W-H, Lian W-C, Huang K-YA, Chen C. Safety, Tolerability, and Immunogenicity of Booster Dose with MVC-COV1901 or MVC-COV1901-Beta SARS-CoV-2 Vaccine in Adults: A Phase I, Prospective, Randomized, Open-Labeled Study. Vaccines. 2023; 11(12):1798. https://doi.org/10.3390/vaccines11121798
Chicago/Turabian StyleLien, Chia En, Ming-Che Liu, Ning-Chi Wang, Luke Tzu-Chi Liu, Chung-Chin Wu, Wei-Hsuan Tang, Wei-Cheng Lian, Kuan-Ying A. Huang, and Charles Chen. 2023. "Safety, Tolerability, and Immunogenicity of Booster Dose with MVC-COV1901 or MVC-COV1901-Beta SARS-CoV-2 Vaccine in Adults: A Phase I, Prospective, Randomized, Open-Labeled Study" Vaccines 11, no. 12: 1798. https://doi.org/10.3390/vaccines11121798
APA StyleLien, C. E., Liu, M.-C., Wang, N.-C., Liu, L. T.-C., Wu, C.-C., Tang, W.-H., Lian, W.-C., Huang, K.-Y. A., & Chen, C. (2023). Safety, Tolerability, and Immunogenicity of Booster Dose with MVC-COV1901 or MVC-COV1901-Beta SARS-CoV-2 Vaccine in Adults: A Phase I, Prospective, Randomized, Open-Labeled Study. Vaccines, 11(12), 1798. https://doi.org/10.3390/vaccines11121798
