Stability Program in Dendritic Cell Vaccines: A “Real-World” Experience in the Immuno-Gene Therapy Factory of Romagna Cancer Center
Abstract
:1. Introduction
2. Materials and Methods
2.1. DC Vaccine Preparation
2.2. Clinical Trials and Patients
2.3. Thawing Time and Conditions
2.4. Phenotypic Characterization of DC
2.5. Viability Cell Counting by Trypan Blue Dye
2.6. Sterility
2.7. ELISPOT Costim Assay
2.8. Statistical Analysis
3. Results
3.1. Sterility
3.2. Viability
3.3. Phenotype
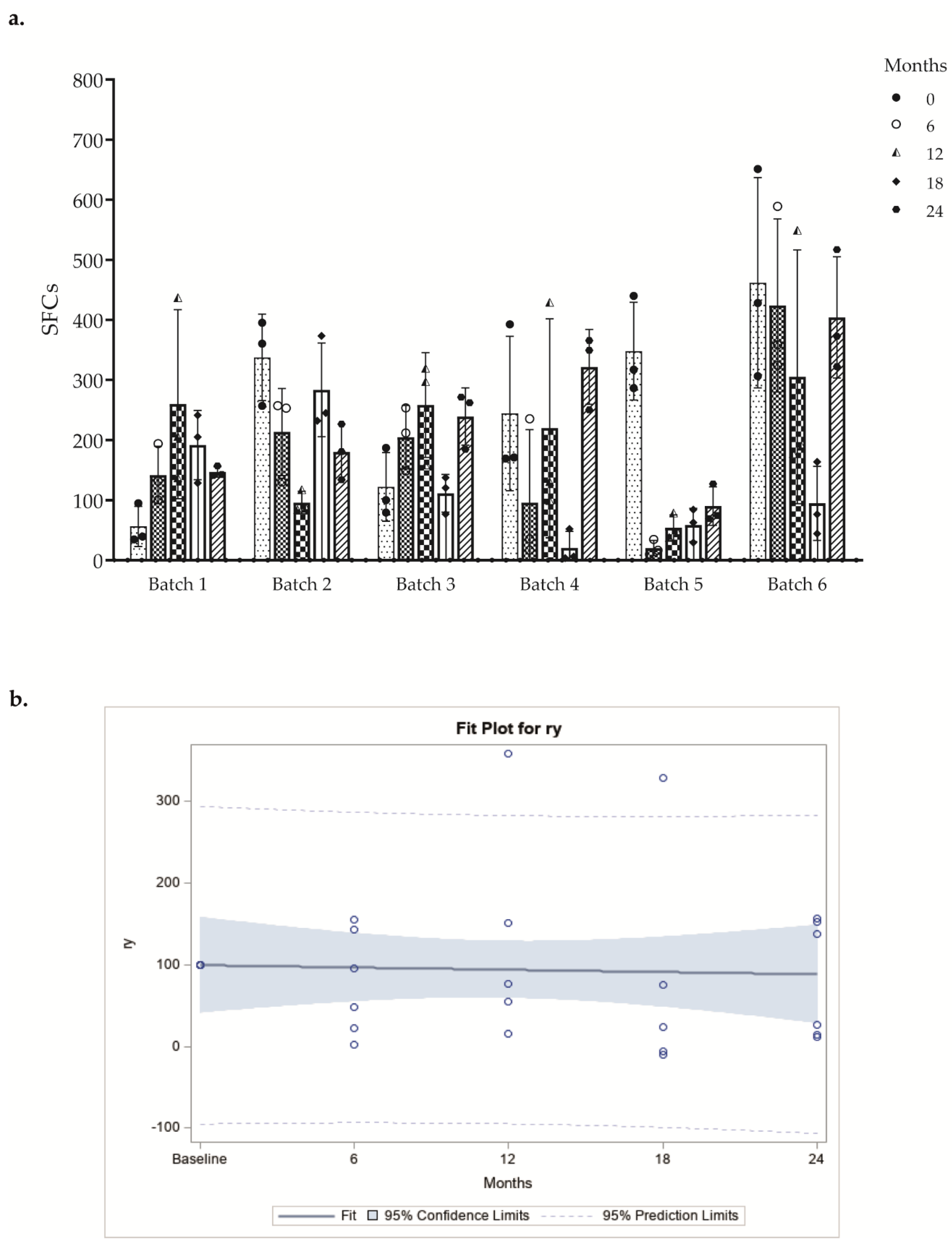
3.4. Stability of the Product Potency
4. Discussion
5. Conclusions
Supplementary Materials
Author Contributions
Funding
Institutional Review Board Statement
Informed Consent Statement
Data Availability Statement
Conflicts of Interest
References
- Public Health. EudraLex EudraLex—Volume 4—Good Manufacturing Practice (GMP) Guidelines. Available online: https://ec.europa.eu/health/documents/eudralex/vol-4_en (accessed on 5 November 2021).
- US FDA. Potency Tests for Cellular and Gene Therapy Products; US FDA: Silver Spring, MD, USA, 2011; Volume 27, pp. 568–577.
- European Medicines Agency. Potency Testing of Cell-Based Immunotherapy Medicinal Products for the Treatment of Cancer. Available online: https://www.ema.europa.eu/en/potency-testing-cell-based-immunotherapy-medicinal-products-treatment-cancer-0 (accessed on 8 November 2021).
- Villadangos, J.A.; Schnorrer, P. Intrinsic and Cooperative Antigen-Presenting Functions of Dendritic-Cell Subsets In Vivo. Nat. Rev. Immunol. 2007, 7, 543–555. [Google Scholar] [CrossRef] [PubMed]
- Bregy, A.; Wong, T.M.; Shah, A.H.; Goldberg, J.M.; Komotar, R.J. Active Immunotherapy Using Dendritic Cells in the Treatment of Glioblastoma Multiforme. Cancer Treat. Rev. 2013, 39, 891–907. [Google Scholar] [CrossRef] [PubMed]
- Gasser, O.; Sharples, K.J.; Barrow, C.; Williams, G.M.; Bauer, E.; Wood, C.E.; Mester, B.; Dzhelali, M.; Caygill, G.; Jones, J.; et al. A Phase I Vaccination Study with Dendritic Cells Loaded with NY-ESO-1 and α-Galactosylceramide: Induction of Polyfunctional T Cells in High-Risk Melanoma Patients. Cancer Immunol. Immunother. 2018, 67, 285–298. [Google Scholar] [CrossRef] [PubMed]
- De Rosa, F.; Ridolfi, L.; Fiammenghi, L.; Petrini, M.; Granato, A.M.; Ancarani, V.; Pancisi, E.; Soldati, V.; Cassan, S.; Bulgarelli, J.; et al. Dendritic Cell Vaccination for Metastatic Melanoma: A 14-Year Monoinstitutional Experience. Melanoma Res. 2017, 27, 351–357. [Google Scholar] [CrossRef] [PubMed]
- Schuler, G. Dendritic Cells in Cancer Immunotherapy. Eur. J. Immunol. 2010, 40, 2123–2130. [Google Scholar] [CrossRef] [PubMed]
- CPMP/ICH/420/02; ICH Topic Q 1 E Evaluation of Stability Data Step 5 Note For Guidance On Evaluation Of Stability Data. European Medicines Agency: Amsterdam, The Netherlands, 2003.
- ICH Expert Working Group. ICH Harmonised Tripartite Guideline Quality Quality of Biotechnological Products: Stability Testing Of Biotechnological/Biological Products Q5C. In Proceedings of the International Conference on Harmonisation of Technical Requirements for Registration of Pharmaceuticals for Human Use, Orlando FL, USA, November 1995; pp. 180–181. [Google Scholar]
- Ikeda, H.; Old, L.J.; Schreiber, R.D. The Roles of IFNγ in Protection against Tumor Development and Cancer Immunoediting. Cytokine Growth Factor Rev. 2002, 13, 95–109. [Google Scholar] [CrossRef]
- Shankar, G.; Bader, R.; Lodge, P.A. The COSTIM Bioassay: A Novel Potency Test for Dendritic Cells. J. Immunol. Methods 2004, 285, 293–299. [Google Scholar] [CrossRef] [PubMed]
- Shankar, G.; Fourrier, M.S.; Grevenkamp, M.A.; Lodge, P.A. Validation of the COSTIM Bioassay for Dendritic Cell Potency. J. Pharm. Biomed. Anal. 2004, 36, 285–294. [Google Scholar] [CrossRef] [PubMed]
- Carloni, S.; Piccinini, C.; Pancisi, E.; Soldati, V.; Stefanelli, M.; Granato, A.M.; Ibrahim, T.; Petrini, M. Potency Assessment of Dendritic Cell Anticancer Vaccine: Validation of the Co-Flow Dc Assay. Int. J. Mol. Sci. 2021, 22, 5824. [Google Scholar] [CrossRef] [PubMed]
- Eyrich, M.; Schreiber, S.C.; Rachor, J.; Krauss, J.; Pauwels, F.; Hain, J.; Wölfl, M.; Lutz, M.B.; de Vleeschouwer, S.; Schlegel, P.G.; et al. Development and Validation of a Fully GMP-Compliant Production Process of Autologous, Tumor-Lysate-Pulsed Dendritic Cells. Cytotherapy 2014, 16, 946–964. [Google Scholar] [CrossRef] [PubMed]
- Nestle, F.O.; Alijagic, S.; Gilliet, M.; Sun, Y.; Grabbe, S.; Dummer, R.; Burg, G.; Schadendorf, D. Vaccination of Melanoma Patients with Peptide- or Tumor Lysate-Pulsed Dendritic Cells. Nat. Med. 1998, 4, 328–332. [Google Scholar] [CrossRef] [PubMed]
- Rousseau, C.F.; Maciulaitis, R.; Sladowski, D.; Narayanan, G. Cell and Gene Therapies: European View on Challenges in Translation and How to Address Them. Front. Med. 2018, 5, 158. [Google Scholar] [CrossRef] [PubMed] [Green Version]
- Bubenik, J. Dendritic Cell-Based Cancer Vaccines. Folia Biol. 1999, 45, 71–74. [Google Scholar]
- Ridgway, D. The First 1000 Dendritic Cell Vaccinees. Cancer Investig. 2003, 21, 873–886. [Google Scholar] [CrossRef] [PubMed]
- Tomasicchio, M.; Semple, L.; Esmail, A.; Meldau, R.; Randall, P.; Pooran, A.; Davids, M.; Cairncross, L.; Anderson, D.; Downs, J.; et al. An Autologous Dendritic Cell Vaccine Polarizes a Th-1 Response Which Is Tumoricidal to Patient-Derived Breast Cancer Cells. Cancer Immunol. Immunother. 2019, 68, 71–83. [Google Scholar] [CrossRef] [PubMed] [Green Version]
- Nava, S.; Lisini, D.; Pogliani, S.; Dossena, M.; Bersano, A.; Pellegatta, S.; Parati, E.; Finocchiaro, G.; Frigerio, S. Safe and Reproducible Preparation of Functional Dendritic Cells for Immunotherapy in Glioblastoma Patients. Stem Cells Transl. Med. 2015, 4, 1164–1172. [Google Scholar] [CrossRef] [PubMed] [Green Version]
- De Wolf, C.; van de Bovenkamp, M.; Hoefnagel, M. Regulatory Perspective on In Vitro Potency Assays for Human Dendritic Cells Used in Anti-Tumor Immunotherapy. Cytotherapy 2018, 20, 1289–1308. [Google Scholar] [CrossRef] [PubMed]
- Jansen, Y.; Kruse, V.; Corthals, J.; Schats, K.; van Dam, P.J.; Seremet, T.; Heirman, C.; Brochez, L.; Kockx, M.; Thielemans, K.; et al. A Randomized Controlled Phase II Clinical Trial on MRNA Electroporated Autologous Monocyte-Derived Dendritic Cells (TriMixDC-MEL) as Adjuvant Treatment for Stage III/IV Melanoma Patients Who Are Disease-Free Following the Resection of Macrometastases. Cancer Immunol. Immunother. 2020, 69, 2589–2598. [Google Scholar] [CrossRef]
- Oja, S.; Kaartinen, T.; Ahti, M.; Korhonen, M.; Laitinen, A.; Nystedt, J. The Utilization of Freezing Steps in Mesenchymal Stromal Cell (MSC) Manufacturing: Potential Impact on Quality and Cell Functionality Attributes. Front. Immunol. 2019, 10, 1627. [Google Scholar] [CrossRef] [PubMed] [Green Version]




| Batch Number | Sex | Age | Clinical Response | Clinical Trial | Cells per Vials (×106) |
|---|---|---|---|---|---|
| 1 | M | 73 | PD | Compassionate use program | 13.5 |
| 2 | M | 69 | PD | Compassionate use program | 15 |
| 3 | M | 63 | CR | Compassionate use program | 14.2 |
| 4 | F | 74 | CR | ABSIDE | 12.5 |
| 5 | M | 78 | PD | ABSIDE | 8 |
| 6 | M | 58 | CR | ACDC | 14.7 |
Publisher’s Note: MDPI stays neutral with regard to jurisdictional claims in published maps and institutional affiliations. |
© 2022 by the authors. Licensee MDPI, Basel, Switzerland. This article is an open access article distributed under the terms and conditions of the Creative Commons Attribution (CC BY) license (https://creativecommons.org/licenses/by/4.0/).
Share and Cite
Pancisi, E.; Granato, A.M.; Scarpi, E.; Ridolfi, L.; Carloni, S.; Moretti, C.; Guidoboni, M.; De Rosa, F.; Pignatta, S.; Piccinini, C.; et al. Stability Program in Dendritic Cell Vaccines: A “Real-World” Experience in the Immuno-Gene Therapy Factory of Romagna Cancer Center. Vaccines 2022, 10, 999. https://doi.org/10.3390/vaccines10070999
Pancisi E, Granato AM, Scarpi E, Ridolfi L, Carloni S, Moretti C, Guidoboni M, De Rosa F, Pignatta S, Piccinini C, et al. Stability Program in Dendritic Cell Vaccines: A “Real-World” Experience in the Immuno-Gene Therapy Factory of Romagna Cancer Center. Vaccines. 2022; 10(7):999. https://doi.org/10.3390/vaccines10070999
Chicago/Turabian StylePancisi, Elena, Anna Maria Granato, Emanuela Scarpi, Laura Ridolfi, Silvia Carloni, Cinzia Moretti, Massimo Guidoboni, Francesco De Rosa, Sara Pignatta, Claudia Piccinini, and et al. 2022. "Stability Program in Dendritic Cell Vaccines: A “Real-World” Experience in the Immuno-Gene Therapy Factory of Romagna Cancer Center" Vaccines 10, no. 7: 999. https://doi.org/10.3390/vaccines10070999
APA StylePancisi, E., Granato, A. M., Scarpi, E., Ridolfi, L., Carloni, S., Moretti, C., Guidoboni, M., De Rosa, F., Pignatta, S., Piccinini, C., Soldati, V., Calabrò, L., Framarini, M., Stefanelli, M., Bulgarelli, J., Tazzari, M., Fanini, F., & Petrini, M. (2022). Stability Program in Dendritic Cell Vaccines: A “Real-World” Experience in the Immuno-Gene Therapy Factory of Romagna Cancer Center. Vaccines, 10(7), 999. https://doi.org/10.3390/vaccines10070999

