Age and Primary Vaccination Background Influence the Plasma Cell Response to Pertussis Booster Vaccination
Abstract
:1. Introduction
2. Materials and Methods
2.1. Study Design and Sample Collection
2.2. Evaluation of Antigen-Specific Immunoglobulin Levels in Serum
2.3. Detection of Vaccine-Specific Antibody-Producing Plasma Cells and Memory B Cells
2.4. Longitudinal Flow Cytometric Analysis of Circulating B-Cell Subsets
2.5. Data Analysis and Statistics
3. Results
3.1. Study Cohorts
3.2. Higher Counts of Naive B Cells and Plasma Cells in Children
3.3. Expansion of Plasma Cells as the Most Prominent Cellular B-Cell Change after Vaccination
3.4. Despite Individual Differences, Skewing towards IgG1+ Plasma Cell Responses in All Cohorts
3.5. Maturation of Plasma Cells over Time Following Vaccination
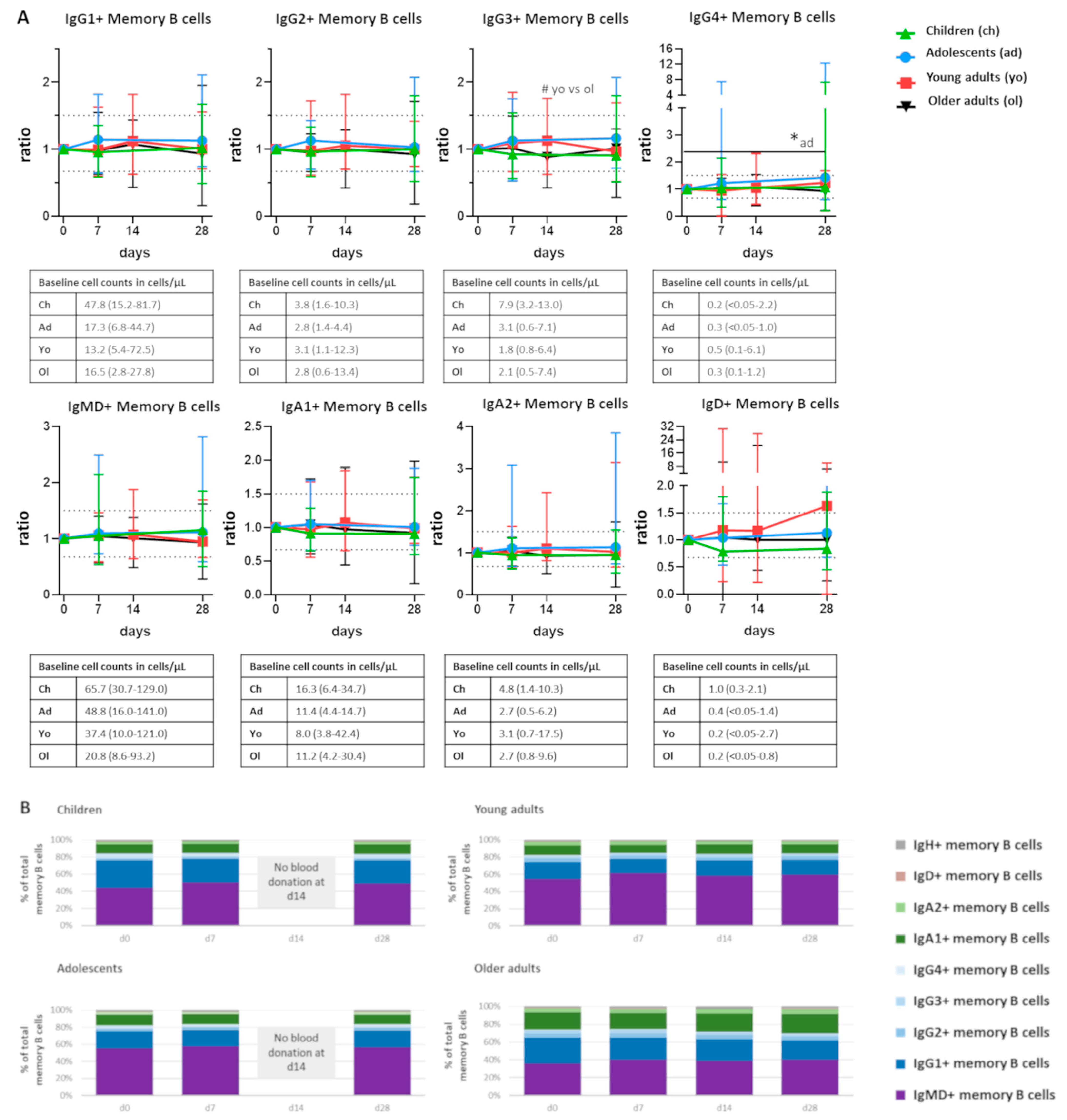
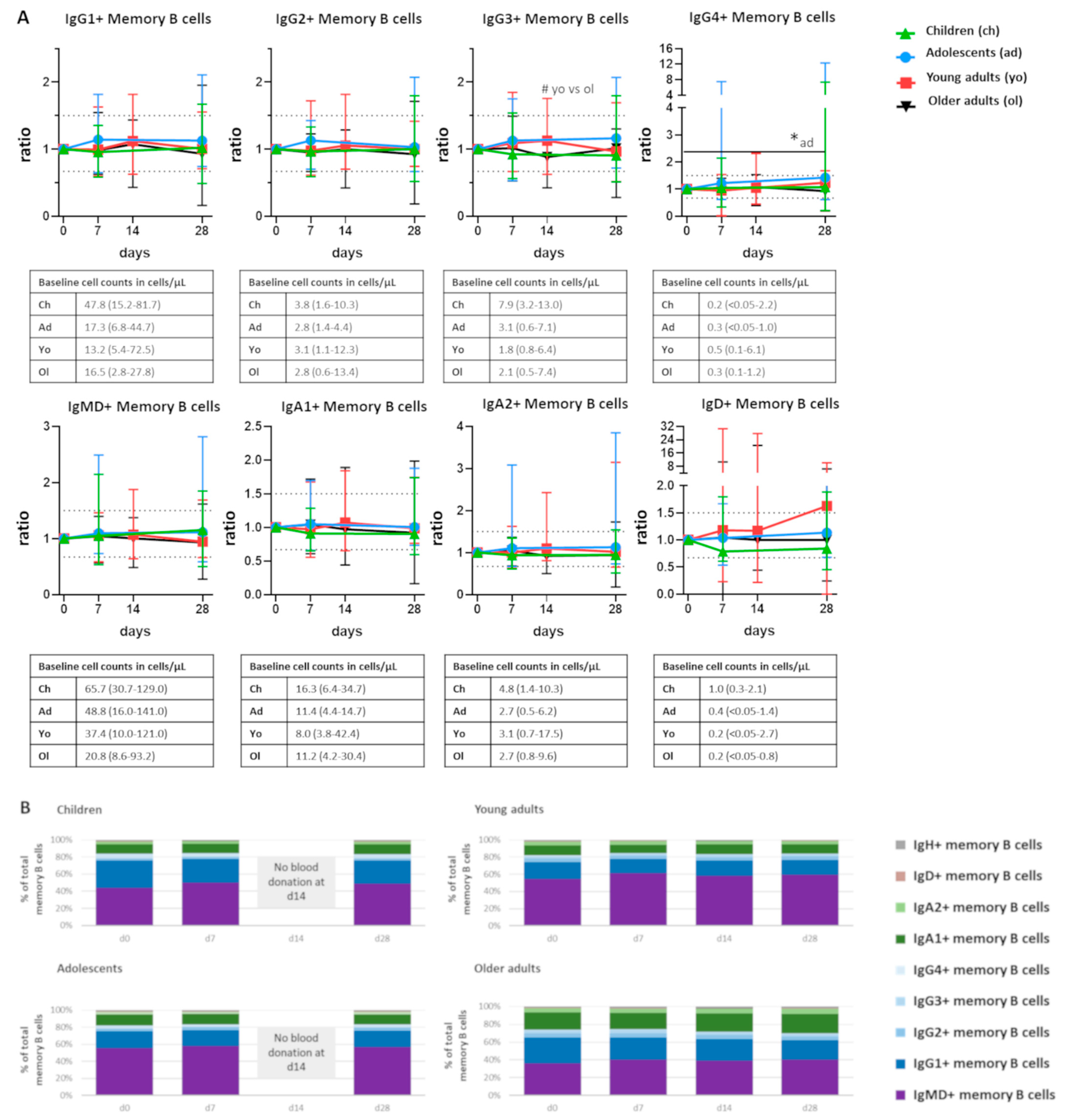
3.6. No Clear Changes in the Memory B-Cell Compartment over Time Following Vaccination
3.7. Good Correlation between the Increase in Plasma Cell Numbers with the Vaccine-Specific Antibody-Producing Cells
3.8. Weak Positive Correlation between Plasma Cell Expansion and Vaccine-Component-Specific Ig Levels
3.9. More Prominent Cellular Responses in Participants Primed with wP Vaccine
4. Discussion
5. Conclusions
Supplementary Materials
Author Contributions
Funding
Institutional Review Board Statement
Informed Consent Statement
Data Availability Statement
Acknowledgments
Conflicts of Interest
References
- Atkinson, W. Epidemiology and Prevention of Vaccine-Preventable Diseases; Department of Health & Human Services, Centers for Disease Control and Prevention: Washington, DC, USA, 2006. [Google Scholar]
- Cherry, J.D. Historical review of pertussis and the classical vaccine. J. Infect. Dis. 1996, 174, S259–S263. [Google Scholar] [CrossRef]
- Lambert, L.C. Pertussis vaccine trials in the 1990s. J. Infect. Dis. 2014, 209, S4–S9. [Google Scholar] [CrossRef] [Green Version]
- Decker, M.D.; Edwards, K.M.; Steinhoff, M.C.; Rennels, M.B.; Pichichero, M.E.; Englund, J.A.; Anderson, E.L.; Deloria, M.A.; Reed, G.F. Comparison of 13 acellular pertussis vaccines: Adverse reactions. Pediatrics 1995, 96, 557–566. [Google Scholar] [CrossRef] [PubMed]
- Rijksvaccinatieprogramma [EN: National Immunization Programme]. Available online: https://rijksvaccinatieprogramma.nl/english (accessed on 18 November 2020).
- Tan, T.; Dalby, T.; Forsyth, K.; Halperin, S.A.; Heininger, U.; Hozbor, D.; Plotkin, S.; Ulloa-Gutierrez, R.; Von König, C.H.W. Pertussis across the globe: Recent epidemiologic trends from 2000 to 2013. Pediatric Infect. Dis. J. 2015, 34, e222–e232. [Google Scholar] [CrossRef]
- Versteegen, P.; Berbers, G.A.; Smits, G.; Sanders, E.A.; van der Klis, F.R.; de Melker, H.E.; van der Maas, N.A. More than 10 years after introduction of an acellular pertussis vaccine in infancy: A cross-sectional serosurvey of pertussis in The Netherlands. Lancet Reg. Health-Eur. 2021, 10, 100196. [Google Scholar] [CrossRef] [PubMed]
- Heininger, U.; André, P.; Chlibek, R.; Kristufkova, Z.; Kutsar, K.; Mangarov, A.; Mészner, Z.; Nitsch-Osuch, A.; Petrović, V.; Prymula, R. Comparative epidemiologic characteristics of pertussis in 10 central and eastern European countries, 2000–2013. PLoS ONE 2016, 11, e0155949. [Google Scholar] [CrossRef]
- Berbers, G.A.; de Greeff, S.C.; Mooi, F.R. Improving pertussis vaccination. Hum. Vaccines 2009, 5, 497–503. [Google Scholar] [CrossRef] [PubMed] [Green Version]
- Bart, M.J.; van der Heide, H.G.; Zeddeman, A.; Heuvelman, K.; van Gent, M.; Mooi, F.R. Complete genome sequences of 11 Bordetella pertussis strains representing the pandemic ptxP3 lineage. Genome Announc. 2015, 3, e01394-15. [Google Scholar] [CrossRef] [Green Version]
- Mooi, F.R.; van Loo, I.H.; Van Gent, M.; He, Q.; Bart, M.J.; Heuvelman, K.J.; De Greeff, S.C.; Diavatopoulos, D.; Teunis, P.; Nagelkerke, N. Bordetella pertussis strains with increased toxin production associated with pertussis resurgence. Emerg. Infect. Dis. 2009, 15, 1206. [Google Scholar] [CrossRef]
- Martin, S.W.; Pawloski, L.; Williams, M.; Weening, K.; DeBolt, C.; Qin, X.; Reynolds, L.; Kenyon, C.; Giambrone, G.; Kudish, K. Pertactin-negative Bordetella pertussis strains: Evidence for a possible selective advantage. Clin. Infect. Dis. 2015, 60, 223–227. [Google Scholar] [CrossRef] [PubMed] [Green Version]
- Lam, C.; Octavia, S.; Ricafort, L.; Sintchenko, V.; Gilbert, G.L.; Wood, N.; McIntyre, P.; Marshall, H.; Guiso, N.; Keil, A.D. Rapid increase in pertactin-deficient Bordetella pertussis isolates, Australia. Emerg. Infect. Dis. 2014, 20, 626. [Google Scholar] [CrossRef] [PubMed] [Green Version]
- Sato, Y.; Kimura, M.; Fukumi, H. Development of a pertussis component vaccine in Japan. Lancet 1984, 323, 122–126. [Google Scholar] [CrossRef]
- Gustafsson, L.; Hallander, H.O.; Olin, P.; Reizenstein, E.; Storsaeter, J. A controlled trial of a two-component acellular, a five-component acellular, and a whole-cell pertussis vaccine. N. Engl. J. Med. 1996, 334, 349–356. [Google Scholar] [CrossRef] [PubMed]
- Liko, J.; Robison, S.G.; Cieslak, P.R. Priming with whole-cell versus acellular pertussis vaccine. N. Engl. J. Med. 2013, 368, 581–582. [Google Scholar] [CrossRef] [PubMed]
- Klein, N.P.; Bartlett, J.; Fireman, B.; Baxter, R. Waning Tdap effectiveness in adolescents. Pediatrics 2016, 137, e20153326. [Google Scholar] [CrossRef] [PubMed] [Green Version]
- Sheridan, S.L.; Ware, R.S.; Grimwood, K.; Lambert, S.B. Number and order of whole cell pertussis vaccines in infancy and disease protection. Jama 2012, 308, 454–456. [Google Scholar] [CrossRef] [PubMed] [Green Version]
- Klein, N.P.; Bartlett, J.; Fireman, B.; Rowhani-Rahbar, A.; Baxter, R. Comparative effectiveness of acellular versus whole-cell pertussis vaccines in teenagers. Pediatrics 2013, 131, e1716–e1722. [Google Scholar] [CrossRef] [Green Version]
- Warfel, J.M.; Zimmerman, L.I.; Merkel, T.J. Acellular pertussis vaccines protect against disease but fail to prevent infection and transmission in a nonhuman primate model. Proc. Natl. Acad. Sci. USA 2014, 111, 787–792. [Google Scholar] [CrossRef] [Green Version]
- Diavatopoulos, D.A.; Mills, K.H.; Kester, K.E.; Kampmann, B.; Silerova, M.; Heininger, U.; van Dongen, J.J.; van der Most, R.G.; Huijnen, M.A.; Siena, E. PERISCOPE: Road towards effective control of pertussis. Lancet Infect. Dis. 2019, 19, e179–e186. [Google Scholar] [CrossRef]
- Lambert, E.E.; Corbière, V.; van Gaans-van den Brink, J.; Duijst, M.; Venkatasubramanian, P.B.; Simonetti, E.; Huynen, M.; Diavatopoulos, D.D.; Versteegen, P.; Berbers, G.A. Uncovering Distinct Primary Vaccination-Dependent Profiles in Human Bordetella Pertussis Specific CD4+ T-Cell Responses Using a Novel Whole Blood Assay. Vaccines 2020, 8, 225. [Google Scholar] [CrossRef] [PubMed]
- Hendrikx, L.H.; Schure, R.-M.; Öztürk, K.; de Rond, L.G.; de Greeff, S.; Sanders, E.A.; Berbers, G.A.; Buisman, A.-M. Different IgG-subclass distributions after whole-cell and acellular pertussis infant primary vaccinations in healthy and pertussis infected children. Vaccine 2011, 29, 6874–6880. [Google Scholar] [CrossRef] [PubMed]
- da Silva Antunes, R.; Babor, M.; Carpenter, C.; Khalil, N.; Cortese, M.; Mentzer, A.J.; Seumois, G.; Petro, C.D.; Purcell, L.A.; Vijayanand, P. Th1/Th17 polarization persists following whole-cell pertussis vaccination despite repeated acellular boosters. J. Clin. Investig. 2018, 128, 3853–3865. [Google Scholar] [CrossRef] [PubMed] [Green Version]
- Van Der Lee, S.; Hendrikx, L.H.; Sanders, E.A.; Berbers, G.A.; Buisman, A.-M. Whole-cell or acellular pertussis primary immunizations in infancy determines adolescent cellular immune profiles. Front. Immunol. 2018, 9, 51. [Google Scholar] [CrossRef] [PubMed]
- Kandeil, W.; Atanasov, P.; Avramioti, D.; Fu, J.; Demarteau, N.; Li, X. The burden of pertussis in older adults: What is the role of vaccination? A systematic literature review. Expert Rev. Vaccines 2019, 18, 439–455. [Google Scholar] [CrossRef] [PubMed] [Green Version]
- Van Damme, P.; McIntyre, P.; Grimprel, E.; Kuriyakose, S.; Jacquet, J.-M.; Hardt, K.; Messier, M.; Van Der Meeren, O. Immunogenicity of the reduced-antigen-content dTpa vaccine (Boostrix®) in adults 55 years of age and over: A sub-analysis of four trials. Vaccine 2011, 29, 5932–5939. [Google Scholar] [CrossRef]
- Theeten, H.; Rümke, H.; Hoppener, F.J.; Vilatimó, R.; Narejos, S.; Van Damme, P.; Hoet, B. Primary vaccination of adults with reduced antigen-content diphtheria-tetanus-acellular pertussis or dTpa-inactivated poliovirus vaccines compared to diphtheria-tetanus-toxoid vaccines. Curr. Med. Res. Opin. 2007, 23, 2729–2739. [Google Scholar] [CrossRef]
- Versteegen, P.; Pinto, M.V.; Barkoff, A.M.; van Gageldonk, P.G.; van de Kassteele, J.; van Houten, M.A.; Sanders, E.A.; de Groot, R.; Diavatopoulos, D.A.; Bibi, S. Responses to an acellular pertussis booster vaccination in children, adolescents, and young and older adults: A collaborative study in Finland, The Netherlands, and the United Kingdom. EBioMedicine 2021, 65, 103247. [Google Scholar] [CrossRef]
- Ellebedy, A.H.; Jackson, K.J.; Kissick, H.T.; Nakaya, H.I.; Davis, C.W.; Roskin, K.M.; McElroy, A.K.; Oshansky, C.M.; Elbein, R.; Thomas, S. Defining antigen-specific plasmablast and memory B cell subsets in human blood after viral infection or vaccination. Nat. Immunol. 2016, 17, 1226–1234. [Google Scholar] [CrossRef]
- Wrammert, J.; Smith, K.; Miller, J.; Langley, W.A.; Kokko, K.; Larsen, C.; Zheng, N.-Y.; Mays, I.; Garman, L.; Helms, C. Rapid cloning of high-affinity human monoclonal antibodies against influenza virus. Nature 2008, 453, 667–671. [Google Scholar] [CrossRef] [Green Version]
- Blanco, E.; Pérez-Andrés, M.; Arriba-Méndez, S.; Contreras-Sanfeliciano, T.; Criado, I.; Pelak, O.; Serra-Caetano, A.; Romero, A.; Puig, N.; Remesal, A. Age-associated distribution of normal B-cell and plasma cell subsets in peripheral blood. J. Allergy Clin. Immunol. 2018, 141, 2208–2219.e2216. [Google Scholar] [CrossRef] [Green Version]
- Diks, A.M.; Khatri, I.; Oosten, L.E.M.; de Mooij, B.; Groenland, R.J.; Teodosio, C.; Perez-Andres, M.; Orfao, A.; Berbers, G.A.M.; Zwaginga, J.J.; et al. Highly Sensitive Flow Cytometry Allows Monitoring of Changes in Circulating Immune Cells in Blood After Tdap Booster Vaccination. Front. Immunol. 2021, 12, 2091. [Google Scholar] [CrossRef] [PubMed]
- GlaxoSmithKline. Boostrix Polio; Product Summary. Available online: https://www.geneesmiddeleninformatiebank.nl/Bijsluiters/h35123.pdf (accessed on 7 July 2020).
- van Gageldonk, P.G.; van Schaijk, F.G.; van der Klis, F.R.; Berbers, G.A. Development and validation of a multiplex immunoassay for the simultaneous determination of serum antibodies to Bordetella pertussis, diphtheria and tetanus. J. Immunol. Methods 2008, 335, 79–89. [Google Scholar] [CrossRef] [PubMed]
- Buisman, A.; De Rond, C.; Öztürk, K.; Ten Hulscher, H.; Van Binnendijk, R. Long-term presence of memory B-cells specific for different vaccine components. Vaccine 2009, 28, 179–186. [Google Scholar] [CrossRef]
- van Dongen, J.J.M.; Orfao de Matos Correia E Vale, J.A.; Goncalves Grunho Teodosio, C.I.; Perez Y Andres, M.; Almeida Parra, J.M.; Van den Bossche, W.B.L.; Botafogo Goncalves, V.D.; Berkowska, M.A.; Van der Pan, K.; Blanco Alvarez, E.; et al. Means and Methods for Multiparameter Cytometry-Based Leukocyte Subsetting. P119646NL00, 5 November 2019. [Google Scholar]
- Kalina, T.; Flores-Montero, J.; Lecrevisse, Q.; Pedreira, C.E.; Velden, V.H.; Novakova, M.; Mejstrikova, E.; Hrusak, O.; Böttcher, S.; Karsch, D. Quality assessment program for EuroFlow protocols: Summary results of four-year (2010–2013) quality assurance rounds. Cytom. Part A 2015, 87, 145–156. [Google Scholar] [CrossRef] [PubMed]
- Kalina, T.; Flores-Montero, J.; Van Der Velden, V.; Martin-Ayuso, M.; Böttcher, S.; Ritgen, M.; Almeida, J.; Lhermitte, L.; Asnafi, V.; Mendonca, A. EuroFlow standardization of flow cytometer instrument settings and immunophenotyping protocols. Leukemia 2012, 26, 1986–2010. [Google Scholar] [CrossRef] [Green Version]
- Pedreira, C.; da Costa, E.S.; Lecrevise, Q.; Grigore, G.; Fluxa, R.; Verde, J.; Hernandez, J.; van Dongen, J.; Orfao, A. From big flow cytometry datasets to smart diagnostic strategies: The EuroFlow approach. J. Immunol. Methods 2019, 475, 112631. [Google Scholar] [CrossRef] [PubMed]
- Comans-Bitter, W.M.; de Groot, R.; van den Beemd, R.; Neijens, H.J.; Hop, W.C.; Groeneveld, K.; Hooijkaas, H.; van Dongen, J.J. Immunophenotyping of blood lymphocytes in childhoodReference values for lymphocyte subpopulations. J. Pediatr. 1997, 130, 388–393. [Google Scholar] [CrossRef] [Green Version]
- Kumar, P.; CM, C. Clinical Medicine, 8th ed.; Saunders Elsevier: Edinburgh, UK, 2012; p. 373. [Google Scholar]
- Perez-Andres, M.; Paiva, B.; Nieto, W.G.; Caraux, A.; Schmitz, A.; Almeida, J.; Vogt, R., Jr.; Marti, G.; Rawstron, A.; Van Zelm, M. Human peripheral blood B-cell compartments: A crossroad in B-cell traffic. Cytom. Part B Clin. Cytom. 2010, 78, S47–S60. [Google Scholar] [CrossRef]
- Tangye, S.G.; Tarlinton, D.M. Memory B cells: Effectors of long-lived immune responses. Eur. J. Immunol. 2009, 39, 2065–2075. [Google Scholar] [CrossRef]
- Hendrikx, L.H.; Felderhof, M.K.; Öztürk, K.; de Rond, L.G.; van Houten, M.A.; Sanders, E.A.; Berbers, G.A.; Buisman, A.-M. Enhanced memory B-cell immune responses after a second acellular pertussis booster vaccination in children 9 years of age. Vaccine 2011, 30, 51–58. [Google Scholar] [CrossRef]
- Crotty, S.; Felgner, P.; Davies, H.; Glidewell, J.; Villarreal, L.; Ahmed, R. Cutting edge: Long-term B cell memory in humans after smallpox vaccination. J. Immunol. 2003, 171, 4969–4973. [Google Scholar] [CrossRef] [Green Version]
- Hendrikx, L.H.; Öztürk, K.; De Rond, L.G.; Veenhoven, R.H.; Sanders, E.A.; Berbers, G.A.; Buisman, A.-M. Identifying long-term memory B-cells in vaccinated children despite waning antibody levels specific for Bordetella pertussis proteins. Vaccine 2011, 29, 1431–1437. [Google Scholar] [CrossRef]
- Botafogo, V.; Pérez-Andres, M.; Jara-Acevedo, M.; Bárcena, P.; Grigore, G.; Hernández-Delgado, A.; Damasceno, D.; Comans, S.; Blanco, E.; Romero, A. Age Distribution of Multiple Functionally Relevant Subsets of CD4+ T Cells in Human Blood Using a Standardized and Validated 14-Color EuroFlow Immune Monitoring Tube. Front. Immunol. 2020, 11, 166. [Google Scholar] [CrossRef] [Green Version]
- Linskens, E.; Diks, A.M.; Neirinck, J.; Perez-Andres, M.; De Maertelaere, E.; Berkowska, M.A.; Kerre, T.; Hofmans, M.; Orfao, A.; van Dongen, J.J.M.; et al. Improved Standardization of Flow Cytometry Diagnostic Screening of Primary Immunodeficiency by Software-Based Automated Gating. Front. Immunol. 2020, 11, 584646. [Google Scholar] [CrossRef] [PubMed]
- Flores-Montero, J.; Grigore, G.; Fluxá, R.; Hernández, J.; Fernandez, P.; Almeida, J.; Muñoz, N.; Böttcher, S.; Sedek, L.; van der Velden, V. EuroFlow Lymphoid Screening Tube (LST) data base for automated identification of blood lymphocyte subsets. J. Immunol. Methods 2019, 475, 112662. [Google Scholar] [CrossRef]
- Giammanco, A.; Taormina, S.; Chiarini, A.; Dardanoni, G.; Stefanelli, P.; Salmaso, S.; Mastrantonio, P. Analogous IgG subclass response to pertussis toxin in vaccinated children, healthy or affected by whooping cough. Vaccine 2003, 21, 1924–1931. [Google Scholar] [CrossRef]
- Vesikari, T.; Karvonen, A.; Prymula, R.; Schuster, V.; Tejedor, J.C.; Thollot, F.; Garcia-Corbeira, P.; Damaso, S.; Han, H.-H.; Bouckenooghe, A. Immunogenicity and safety of the human rotavirus vaccine Rotarix™ co-administered with routine infant vaccines following the vaccination schedules in Europe. Vaccine 2010, 28, 5272–5279. [Google Scholar] [CrossRef] [PubMed]
- Plotkin, S.; Plotkin, S.; Plotkin, S.; Orenstein, W.; Offit, P. Vaccines (Section 1, Chapter 2), 6th ed.; Saunders Elsevier: Philadelphia, PA, USA, 2008; pp. 17–36. [Google Scholar]
- van der Lee, S.; Sanders, E.A.; Berbers, G.A.; Buisman, A.-M. Whole-cell or acellular pertussis vaccination in infancy determines IgG subclass profiles to DTaP booster vaccination. Vaccine 2018, 36, 220–226. [Google Scholar] [CrossRef]
- van der Maas, N.A.T.; de Melker, H.E.; Heuvelman, C.J.; van Gent, M.; Mooi, F.R. Kinkhoestsurveillance in 2013 en 2014—RIVM Briefrapport 2014-0165; Rijksinstituut voor volksgezondheid en milieu (RIVM): Bilthoven, The Netherlands, 2014; p. 36. [Google Scholar]
- Cherry, J.D. Epidemic pertussis in 2012—The resurgence of a vaccine-preventable disease. N. Engl. J. Med. 2012, 367, 785–787. [Google Scholar] [CrossRef]
- Subissi, L.; Rodeghiero, C.; Martini, H.; Litzroth, A.; Huygen, K.; Leroux-Roels, G.; Piérard, D.; Desombere, I. Assessment of IgA anti-PT and IgG anti-ACT reflex testing to improve Bordetella pertussis serodiagnosis in recently vaccinated subjects. Clin. Microbiol. Infect. 2020, 26, 645.e1–645.e8. [Google Scholar] [CrossRef]
- Hendrikx, L.H.; Öztürk, K.; De Rond, L.G.; De Greeff, S.C.; Sanders, E.A.; Berbers, G.A.; Buisman, A.-M. Serum IgA responses against pertussis proteins in infected and Dutch wP or aP vaccinated children: An additional role in pertussis diagnostics. PLoS ONE 2011, 6, e27681. [Google Scholar] [CrossRef] [PubMed] [Green Version]
- Diavatopoulos, D.A.; Edwards, K.M. What is wrong with pertussis vaccine immunity? Why immunological memory to pertussis is failing. Cold Spring Harb. Perspect. Biol. 2017, 9, a029553. [Google Scholar] [CrossRef] [PubMed] [Green Version]
- Brüggemann, M.; Williams, G.T.; Bindon, C.I.; Clark, M.R.; Walker, M.R.; Jefferis, R.; Waldmann, H.; Neuberger, M.S. Comparison of the effector functions of human immunoglobulins using a matched set of chimeric antibodies. J. Exp. Med. 1987, 166, 1351–1361. [Google Scholar] [CrossRef]
- Weiss, A.A.; Patton, A.K.; Millen, S.H.; Chang, S.-J.; Ward, J.I.; Bernstein, D.I. Acellular pertussis vaccines and complement killing of Bordetella pertussis. Infect. Immun. 2004, 72, 7346–7351. [Google Scholar] [CrossRef] [Green Version]
- Odendahl, M.; Mei, H.; Hoyer, B.F.; Jacobi, A.M.; Hansen, A.; Muehlinghaus, G.; Berek, C.; Hiepe, F.; Manz, R.; Radbruch, A. Generation of migratory antigen-specific plasma blasts and mobilization of resident plasma cells in a secondary immune response. Blood 2005, 105, 1614–1621. [Google Scholar] [CrossRef]
- Nanan, R.; Heinrich, D.; Frosch, M.; Kreth, H.W. Acute and long-term effects of booster immunisation on frequencies of antigen-specific memory B-lymphocytes. Vaccine 2001, 20, 498–504. [Google Scholar] [CrossRef]
- Lau, D.; Lan, L.Y.-L.; Andrews, S.F.; Henry, C.; Rojas, K.T.; Neu, K.E.; Huang, M.; Huang, Y.; DeKosky, B.; Palm, A.-K.E. Low CD21 expression defines a population of recent germinal center graduates primed for plasma cell differentiation. Sci. Immunol. 2017, 2, eaai8153. [Google Scholar] [CrossRef] [PubMed] [Green Version]
- Koutsakos, M.; Wheatley, A.K.; Loh, L.; Clemens, E.B.; Sant, S.; Nüssing, S.; Fox, A.; Chung, A.W.; Laurie, K.L.; Hurt, A.C. Circulating TFH cells, serological memory, and tissue compartmentalization shape human influenza-specific B cell immunity. Sci. Transl. Med. 2018, 10, eaan8405. [Google Scholar] [CrossRef] [Green Version]
- Andrews, S.F.; Wilson, P.C. The anergic B cell. Blood J. Am. Soc. Hematol. 2010, 115, 4976–4978. [Google Scholar] [CrossRef]
- Isnardi, I.; Ng, Y.-S.; Menard, L.; Meyers, G.; Saadoun, D.; Srdanovic, I.; Samuels, J.; Berman, J.; Buckner, J.H.; Cunningham-Rundles, C. Complement receptor 2/CD21—Human naive B cells contain mostly autoreactive unresponsive clones. Blood J. Am. Soc. Hematol. 2010, 115, 5026–5036. [Google Scholar] [CrossRef] [Green Version]
- Lin, A.; Apostolovic, D.; Jahnmatz, M.; Liang, F.; Ols, S.; Tecleab, T.; Wu, C.; Van Hage, M.; Solovay, K.; Rubin, K. Live attenuated pertussis vaccine BPZE1 induces a broad antibody response in humans. J. Clin. Investig. 2020, 130, 2332–2346. [Google Scholar] [CrossRef]
- Thorstensson, R.; Trollfors, B.; Al-Tawil, N.; Jahnmatz, M.; Bergström, J.; Ljungman, M.; Törner, A.; Wehlin, L.; Van Broekhoven, A.; Bosman, F. A phase I clinical study of a live attenuated Bordetella pertussis vaccine-BPZE1; a single centre, double-blind, placebo-controlled, dose-escalating study of BPZE1 given intranasally to healthy adult male volunteers. PLoS ONE 2014, 9, e83449. [Google Scholar] [CrossRef] [PubMed]
- Boehm, D.T.; Wolf, M.A.; Hall, J.M.; Wong, T.Y.; Sen-Kilic, E.; Basinger, H.D.; Dziadowicz, S.A.; de la Paz Gutierrez, M.; Blackwood, C.B.; Bradford, S.D. Intranasal acellular pertussis vaccine provides mucosal immunity and protects mice from Bordetella pertussis. NPJ Vaccines 2019, 4, 40. [Google Scholar] [CrossRef] [PubMed]
- De Graaf, H.; Gbesemete, D.; Gorringe, A.R.; Diavatopoulos, D.A.; Kester, K.E.; Faust, S.N.; Read, R.C. Investigating Bordetella pertussis colonisation and immunity: Protocol for an inpatient controlled human infection model. BMJ Open 2017, 7, e018594. [Google Scholar] [CrossRef] [PubMed] [Green Version]
- Preston, A.; de Graaf, H.; Ibrahim, M.; Hill, A.; Gbesemete, D.; Vaughn, A.; Gorringe, A.; Buisman, A.-M.; Faust, S.; Kester, K. Controlled human infection with Bordetella pertussis induces asymptomatic, immunising colonisation. Clin. Infect. Dis. 2020, 71, 403–411. [Google Scholar]






| Cohort | Children (ch) | Adolescents (ad) | Young Adults (yo) | Older Adults (ol) | Statistical Differences Between Cohorts | ||||||||||||
|---|---|---|---|---|---|---|---|---|---|---|---|---|---|---|---|---|---|
| Age | 7–10 y/o | 11–15 y/o | 20–34 y/o | 60–70 y/o | No significant differences found within the other combination (yo vs. ol) | ||||||||||||
| Priming background | aP | Mixed aP and wP | wP | No vaccination history available (presumably wP-primed or not vaccinated) | |||||||||||||
| N= | 11 † | 12 | 11 † | 12 | |||||||||||||
| median | min. | max. | median | min. | max. | median | min. | max. | median | min. | max. | ch vs. yo | ch vs. ol | ch vs. ad | ad vs. yo | ad vs. ol | |
| total B-cell reference cell counts cell counts | 451 496.0 | 157 346.0 | 725 966.0 | 360 430.0 | 174 133.0 | 630 667.0 | 220 279.0 | 41 141.0 | 470 481.0 | 173 244.0 | 36 53.5 | 384 396.0 | ** | *** | ns | ns | * |
| pre-GC B-cell reference cell counts cell counts | 391.0 | NI 173.0 | 731.0 | 326.5 | NI 96.3 | 529.0 | 194.0 | NI 53.2 | 342.0 | 195.0 | NI 31.5 | 273.0 | ** | ** | ns | * | ** |
| immature B-cell reference cell counts cell counts | 41 26.6 | 12 9.5 | 84 70.4 | 37 20.8 | 11 1.6 | 111 43.7 | 5.6 5.9 | 0.25 1.1 | 24 19.8 | 6.1 4.7 | 0.69 0.6 | 36 9.2 | ** | **** | ns | * | ** |
| CD5+ naive B-cell reference cell counts cell counts | 89.7 | NI 25.0 | 248.0 | 49.8 | NI 5.2 | 166.0 | 30.9 | NI 7.8 | 152.0 | 15.3 | NI 2.4 | 47.0 | * | *** | ns | ns | * |
| naive B-cell reference cell counts cell counts | 265 260.0 | 68 124.0 | 505 483.0 | 189 238.5 | 75 89.4 | 401 335.0 | 111 160.0 | 13 44.0 | 288 186.0 | 109 150.0 | 20 24.9 | 280 250.0 | ** | * | ns | ns | * |
| memory B-cell reference cell counts cell counts | 123 160.0 | 64 76.1 | 282 252.0 | 68 96.2 | 31 33.6 | 1 60 193.0 | 91 85.7 | 23 31.3 | 221 282.0 | 56 63.8 | 13 21.1 | 128 171.0 | ns | ** | ns | ns | ns |
| IgMD+ memory cells reference cell counts cell counts | 54 65.7 | 23 30.7 | 147 129.0 | 29 48.8 | 17 16.0 | 78 141.0 | 38 37.4 | 7.9 10.0 | 122 121.0 | 27 20.8 | 7.4 8.6 | 72 93.2 | * | **** | ns | ns | ns |
| IgG1+ memory cells reference cell counts cell counts | 30 47.8 | 12 15.2 | 86 81.7 | 18 17.3 | 7 6.8 | 42 44.7 | 18 13.2 | 3.2 5.4 | 40 72.5 | 9.1 16.5 | 1.3 2.8 | 22 27.8 | * | **** | ns | ns | ** |
| IgG2+ memory cells reference cell counts cell counts | 4.4 3.8 | 0.7 1.6 | 15 10.3 | 3.0 2.8 | 0.7 1.4 | 10 4.4 | 5.9 3.1 | 1.6 1.1 | 30 12.3 | 3.6 2.8 | 1.0 0.6 | 11 13.4 | * | *** | ns | ns | ns |
| IgG3+ memory cells reference cell counts cell counts | 7.4 7.9 | 2.4 3.2 | 16 13.0 | 3.0 3.1 | 1.1 0.6 | 8.3 7.1 | 3.0 1.8 | 0.5 0.8 | 8.4 6.4 | 2.3 2.1 | 0.4 0.5 | 8.1 7.4 | * | ** | ns | ns | ns |
| IgG4+ memory cells reference cell counts cell counts | 0.4 0.2 | <0.01 <0.05 | 2.0 2.2 | 0.2 0.3 | <0.01 <0.05 | 2.9 1.0 | 0.4 0.5 | <0.01 0.1 | 2.4 6.1 | 0.4 0.3 | <0.01 0.1 | 2.1 1.2 | ns | *** | ns | ns | ns |
| IgA1+ memory cells reference cell counts cell counts | 12 16.3 | 4.5 6.4 | 24 34.7 | 9.0 11.4 | 2.9 4.4 | 21 14.7 | 11 8.0 | 2.1 3.8 | 43 42.4 | 6.2 11.2 | 2.2 4.2 | 22 30.4 | ns | ns | ns | ns | ns |
| IgA2+ memory cells reference cell counts cell counts | 3.2 4.8 | 1.0 1.4 | 13 10.3 | 2.7 2.7 | 0.8 0.5 | 5.9 6.2 | 4.1 3.1 | 1.2 0.7 | 18 17.5 | 3.4 2.7 | 0.7 0.8 | 9.0 9.6 | ns | ** | ns | ns | ns |
| IgD+ memory cells reference cell counts cell counts | 1.1 1.0 | <0.01 0.3 | 2.9 2.1 | 0.3 0.4 | <0.01 <0.05 | 1.7 1.4 | 0.2 0.2 | <0.01 <0.05 | 2.4 2.7 | 0.01 0.2 | <0.01 <0.05 | 1.2 0.8 | * | ** | ns | ns | ns |
| IgH- memory cells reference cell counts cell counts | 2.2 | NI 0.6 | 4.4 | 1.5 | NI 0.4 | 2.7 | 1.2 | NI 0.5 | 1.8 | 0.9 | NI 0.3 | 3.0 | ns | ns | ns | ns | ns |
| total plasma cells reference cell counts cell counts | 13 8.5 | 3.5 3.8 | 45 12.9 | 8.5 3.4 | 1.3 1.6 | 27 13.1 | 4.4 2.6 | 1.1 1.2 | 25 8.5 | 1.2 1.6 | 0.3 0.2 | 7.1 6.1 | ns | * | ns | ns | ns |
| IgM+ plasma cells reference cell counts cell counts | 1.4 1.3 | 0.6 0.3 | 14 2.9 | 0.8 0.6 | 0.2 0.4 | 5.7 2.0 | 0.4 0.4 | 0.05 0.1 | 4.7 2.8 | 0.1 0.1 | 0.01 <0.05 | 0.8 0.8 | ns | ns | ns | ns | ns |
| IgG1+ plasma cells reference cell counts cell counts | 1.9 1.5 | 0.1 0.2 | 7.7 2.7 | 1.1 0.4 | 0.1 0.1 | 4.8 5.6 | 0.4 0.4 | 0.05 0.1 | 4.4 1.3 | 0.1 0.2 | 0.01 0.1 | 0.6 0.6 | ** | ** | ns | ns | ns |
| IgG2+ plasma cells reference cell counts cell counts | 0.7 0.8 | 0.07 0.2 | 2.3 1.1 | 0.5 0.3 | 0.08 0.1 | 0.8 1.5 | 0.2 0.2 | <0.01 <0.05 | 2.6 0.6 | 0.09 0.1 | <0.01 <0.05 | 1.6 1.2 | ns | ns | ns | ns | ns |
| IgG3+ plasma cells reference cell counts cell counts | 0.2 0.2 | <0.01 <0.05 | 1.3 0.5 | 0.08 <0.05 | <0.01 <0.05 | 0.4 0.9 | 0.03 <0.05 | <0.01 <0.05 | 0.3 0.1 | <0.01 <0.05 | <0.01 <0.05 | 0.2 0.1 | * | ** | ns | ns | ns |
| IgG4+ plasma cells reference cell counts cell counts | 0.02 <0.05 | <0.01 <0.05 | 0.2 0.2 | <0.01 <0.05 | <0.01 <0.05 | 0.2 0.2 | <0.01 <0.05 | <0.01 <0.05 | 0.4 0.7 | <0.01 <0.05 | <0.01 <0.05 | 0.1 0.1 | ns | ns | ns | ns | ns |
| IgA1+ plasma cells reference cell counts cell counts | 4.4 3.4 | 0.6 0.6 | 16 5.6 | 3.1 1.3 | 0.5 0.4 | 14 4.1 | 1.7 1.1 | 0.3 0.4 | 6.9 3.3 | 0.4 0.7 | 0.04 0.1 | 3.3 3.0 | ns | ns | ns | ns | ns |
| IgA2+ plasma cells reference cell counts cell counts | 1.5 1.0 | 0.3 0.3 | 3.5 2.7 | 1.0 2.7 | 0.3 0.5 | 3.6 6.2 | 0.7 0.3 | 0.2 0.1 | 4.2 1.1 | 0.3 0.2 | 0.06 0.1 | 1.2 1.2 | ns | ns | ns | ns | ns |
| IgD+ plasma cells reference cell counts cell counts | 0.04 0.1 | <0.01 <0.05 | 0.8 0.6 | <0.01 <0.05 | <0.01 <0.05 | 2.0 0.1 | <0.01 <0.05 | <0.01 <0.05 | 1.1 0.1 | <0.01 <0.05 | <0.01 <0.05 | 0.2 <0.05 | ** | ** | * | ns | ns |
Publisher’s Note: MDPI stays neutral with regard to jurisdictional claims in published maps and institutional affiliations. |
© 2022 by the authors. Licensee MDPI, Basel, Switzerland. This article is an open access article distributed under the terms and conditions of the Creative Commons Attribution (CC BY) license (https://creativecommons.org/licenses/by/4.0/).
Share and Cite
Diks, A.M.; Versteegen, P.; Teodosio, C.; Groenland, R.J.; de Mooij, B.; Buisman, A.-M.; Torres-Valle, A.; Pérez-Andrés, M.; Orfao, A.; Berbers, G.A.M.; et al. Age and Primary Vaccination Background Influence the Plasma Cell Response to Pertussis Booster Vaccination. Vaccines 2022, 10, 136. https://doi.org/10.3390/vaccines10020136
Diks AM, Versteegen P, Teodosio C, Groenland RJ, de Mooij B, Buisman A-M, Torres-Valle A, Pérez-Andrés M, Orfao A, Berbers GAM, et al. Age and Primary Vaccination Background Influence the Plasma Cell Response to Pertussis Booster Vaccination. Vaccines. 2022; 10(2):136. https://doi.org/10.3390/vaccines10020136
Chicago/Turabian StyleDiks, Annieck M., Pauline Versteegen, Cristina Teodosio, Rick J. Groenland, Bas de Mooij, Anne-Marie Buisman, Alba Torres-Valle, Martín Pérez-Andrés, Alberto Orfao, Guy A. M. Berbers, and et al. 2022. "Age and Primary Vaccination Background Influence the Plasma Cell Response to Pertussis Booster Vaccination" Vaccines 10, no. 2: 136. https://doi.org/10.3390/vaccines10020136
APA StyleDiks, A. M., Versteegen, P., Teodosio, C., Groenland, R. J., de Mooij, B., Buisman, A.-M., Torres-Valle, A., Pérez-Andrés, M., Orfao, A., Berbers, G. A. M., van Dongen, J. J. M., Berkowska, M. A., & on behalf of the IMI-2 PERISCOPE Consortium. (2022). Age and Primary Vaccination Background Influence the Plasma Cell Response to Pertussis Booster Vaccination. Vaccines, 10(2), 136. https://doi.org/10.3390/vaccines10020136

