The Correlated Beta Dose Optimisation Approach: Optimal Vaccine Dosing Using Mathematical Modelling and Adaptive Trial Design
Abstract
1. Introduction
- A ‘Parametric’ DOA that used parametric modelling and adaptive trial design
- An ‘Adaptive Naive’ DOA that used adaptive trial design but not modelling.
- A ‘Uniform Naive’ DOA that used neither adaptive trial design nor modelling.
- Evaluate the Correlated Beta Dose Optimisation Approach for optimising vaccine efficacy for a single dose administration.
- Evaluate the Correlated Beta Dose Optimisation Approach for optimising vaccine efficacy for a prime-dose/boost-dose administration.
- Evaluate the Correlated Beta Dose Optimisation Approach for optimising vaccine utility, maximising efficacy, and minimising toxicity.We also include a fourth objective which considered only the CoBe DOA
- Evaluate the use of expert knowledge informed Continuous Correlated Beta Process priors for vaccine dose-optimisation.
2. Materials and Methods
2.1. Section 1. Definition of the Concepts of ‘Optimal Vaccine Dose’ and ‘Dose-Optimisation Approaches’
2.1.1. Definition of ‘Optimal Vaccine Dose’
Dosing Domain
2.1.2. Definition of a ‘Dose-Optimisation Approach’
- A model for vaccine dose-efficacy and/or dose-toxicity.
- A method of trial dose selection: How doses are chosen during the trial.
- A method of final dose selection: How to choose the dose that would be continued forward to further research or clinical use.
2.2. Section 2. Definition of the Correlated Beta (CoBe) Dose-Optimsation Approach and Three Other Dose-Optimisation Approaches That Were Investigated in This Work
2.2.1. Model for Vaccine Dose-Efficacy and/or Toxicity: Continuous Correlated Beta Processes
Beta Distributions
Updating Beta Distributions
| Algorithm 1. Update rule for uncorrelated Beta distributions |
| This rule is for updating the beta distribution for the probability of observing response for some dose based on the data point. Let this data point had dose . |
| BEGIN ALGORITHM |
| If |
| If response was observed for individual |
| Set |
| Set |
| Else (response was not observed for individual ) |
| Set |
| Set |
| Else ( |
| Set |
| Set |
| END ALGORITHM |
Priors and Uninformative Priors
Kernel Functions
| Algorithm 2. (Continuous) Correlated Beta Process Update Rule |
| This rule is for updating the beta distribution for the probability of observing response for some dose based on the data point. Let this data point have been at dose . |
| BEGIN ALGORITHM |
| Calculate |
| If response was observed for individual |
| Set |
| Set |
| Else (response was not observed for individual ) |
| Set |
| Set |
| END ALGORITHM |
Modelling Prime/Boost Dose Response
2.2.2. Method of Trial DOSE Select Ion
2.2.3. Method of Final Dose Selection
2.2.4. Discretisation
2.2.5. Full Correlated Beta (CoBe) Dose Optimisation Approach and an Example Trial
| Algorithm 3. Correlated Beta (CoBe) Dose Optimisation Algorithm | |
BEGIN ALGORITHM
END ALGORITHM |
2.2.6. Other Dose-Optimisation Approaches
Parametric Dose-Optimisation Approach
Adaptive Naive Dose-Optimisation Approach
Uniform Naive Dose-Optimisation Approach
2.3. Section 3. Definition of the Simulation Study Methodology and Details of the Implementation of This Methodology
2.3.1. Definition of a Simulation Study
2.3.2. Definition of a Scenario
- A dosing domain: Whether these scenarios consider a single dose or combinations of doses, and the range for which possible doses that could be tested or predicted as optimal, as described above. For simplicity, we considered that doses of vaccine (whether single administration or prime dose, or a boost dose) to have been scaled to be between 0 and 1, as described in both [53,54,55] and Supplementary Materials S5. Thus, a zero dose does not necessarily correspond to no vaccine being given, but instead corresponds to the smallest dose that clinicians/developers may be willing to consider. This scaling was purely for convenience.
- A utility function: To weigh the relative benefit of efficacy, toxicity, or any other dose related outcome a utility function is needed. For this work we use either the ‘maximum efficacy’ or ‘utility contour’ utility functions defined in Section 2.1.1.
- Efficacy probabilities for all possible doses: For each dose in the dosing domain, there was some true probability of efficacy for each dose that was defined for the scenario.
- Toxicity probabilities for all possible doses: If our aim was to minimise toxicity as well as to maximise efficacy, as in the ‘utility contour’ utility function, there was some true probability of toxicity for each dose in the dosing domain that was defined for the scenario.
2.3.3. Simulation Study Parameters
Discretisation
- For all scenarios involving single-administration paradigm vaccine dose–response, for the CoBe and Parametric DOAs we discretized the dosing domain to 101 doses (0.00, 0.01, 0.02, …, 0.99, 1.00) and for the Adaptive Naive and Uniform Naive DOAs we discretised the dosing domain to 6 doses (0.0, 0.2, 0.4, 0.6, 0.8, 1.0).
- For all scenarios involving prime/boost paradigm vaccine dose response, for the CoBe and Parametric DOAs we discretized the dosing domain to 411 doses (a 21-by-21 grid of (0.00, 0.05, …, 0.95, 1.00)) and for the Adaptive Naive and Uniform Naive DOAs we discretised the dosing domain to 9 doses (a 3-by-3 grid of (0.0, 0.5, 1.0).
- For the scenario involving prime/boost/second-boost paradigm vaccine dose response, for the CoBe and Parametric DOAs we discretized the dosing domain to 1331 doses (an 11-by-11-by-11 grid of (0.00, 0.10, …, 0.90, 1.00)) and for the Adaptive Naive and Uniform Naive DOAs we discretised the dosing domain to 27 doses (a 3-by-3-by-3 grid of (0.0, 0.5, 1.0).
Trial Size/Sampling Cohort Size
2.3.4. Metrics to Evaluate Dose-Optimisation Approaches
- True efficacy/utility of predicted optimal dose: After each cycle of trial/modelling (each sampling cohort), each DOA can recommend a dose that is predicted optimal given the current data. As this was a simulation study, we were aware of the true efficacy/utility at that selected dose. This true efficacy/utility of the selected doses was averaged across trial simulations to assess the ability of a dose finding approach to locate optimal dose.
- Cumulative sum of efficacy/utility: Each individual in a trial may have an efficacious response and may experience vaccine-related toxicity. The cumulative number of efficacious responses (or cumulative utility if both efficacy and toxicity are being optimised for) was averaged across simulations to assess the ability of a dose finding approach to maximise trial efficacy/utility.
2.3.5. Implementation
2.4. Section 4. Description of the Use of the Concepts Defined above in Evaluating the Correlated Beta Dose-Optimsation Approach in the Context of Our Objectives
2.4.1. Objective 1. Evaluate the Correlated Beta Dose Optimisation Approach for Optimising Vaccine Efficacy for a Single Dose Administration
- Dosing domain: Single-administration
- Utility function: Maximise Efficacy
- Efficacy curve: Is defined for each scenario
- Toxicity curve: Not defined/not of interest
2.4.2. Objective 2: Evaluate the C orrelated Beta Dose Optimisation Approach for Optimising Vaccine Efficacy for a Prime-Dose/Boost-Dose Administration
- Dosing domain: Prime/boost (scenarios 1–5) or prime/boost/second-boost (scenarios 6,7)
- Utility function: Maximise Efficacy
- Efficacy curve: Is defined for each scenario
- Toxicity curve: Not defined/not of interest
- 12.
- Peaking with respect to both doses and where the combination of both vaccine doses increases their efficacy (Figure 7a)
- 13.
- Saturating with regard to both doses but where the combination of both vaccine doses decreases their efficacy (Figure 7b)
- 14.
- Saturating with respect to both doses and where the combination of both vaccine doses increases their efficacy (Figure 7c)
- 15.
- Saturating with respect to both doses and where the combination of both vaccines increases their efficacy, but maximally dosing both vaccines causes decreased efficacy. (Figure 7d)
- 16.
- Saturating with respect to both doses and where the combination of both vaccines increases their efficacy, but where one of the doses is significantly more important to maximising efficacy. (Figure 7e)Scenarios 6 and 7 are prime/boost/second-boost. These scenarios:
- 17.
- Represents a case where there is a maximally efficacious dose for each, and any increase/decrease in any of these doses decreases efficacy regardless of the other doses. Thus, the optimal dose for each of the prime/boost/second-boost was independent of what other doses were selected (Figure 7f)
- 18.
- Represent a case where a maximal dose of any two of the three doses produces a highly efficacious response, but a maximal dose of all three does not produce a highly efficacious response (Figure 7g).
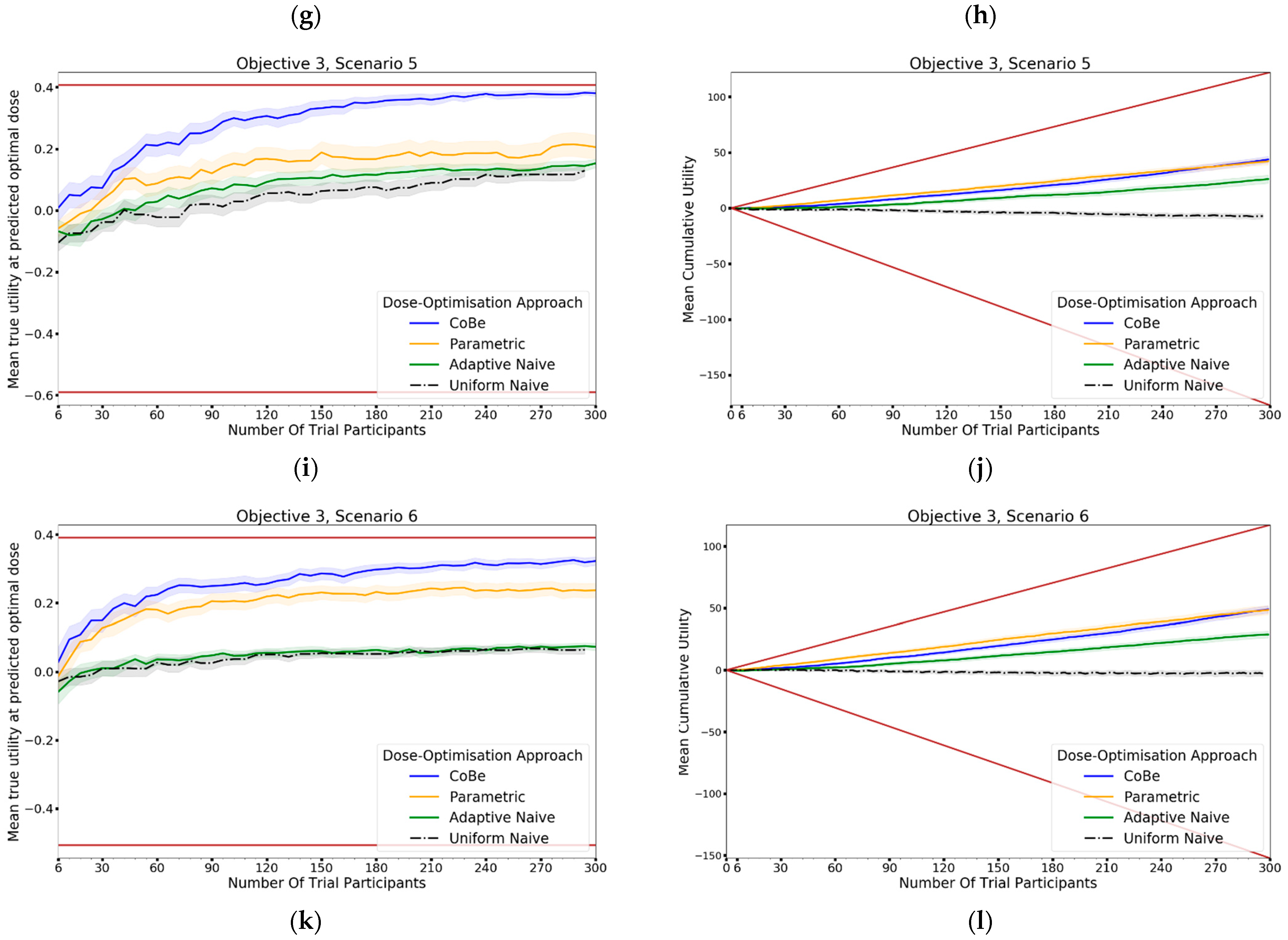
2.4.3. Objective 3. Evaluate the Correlated Beta Dose Optimisation Approach for Optimising Vaccine Utility, Maximising Efficacy, and Minimising Toxicity
- Dosing domain: Single-administration (scenarios 1–4) or prime/boost administration (scenarios 5–6)
- Utility function: Utility Contour
- Efficacy curve: Is defined for each scenario
- Toxicity curve: Is defined for each scenario
- 19.
- have gradually increasing efficacy and toxicity with dose (Figure 8a–c)
- 20.
- have sharply peaking efficacy and gradually increasing toxicity with dose (Figure 8 d–f)
- 21.
- have gradually increasing efficacy and sharply increasing toxicity with dose (Figure 8g–i)
- 22.
- have sharply peaking efficacy and sharply increasing toxicity with dose (Figure 8j–l)The prime/boost administration scenarios reflect cases for which vaccines:
- 23.
- have efficacy as per objective 2, scenario 3, and toxicity increasing for high doses of either vaccine (Figure 8m–o)
- 24.
- have efficacy as per objective 2, scenario 2, and toxicity increasing for high doses of either vaccine (Figure 8p–r)
2.4.4. Objective 4. Evaluate the Use of Expert Knowledge Informed Continuous Correlated Beta Process Priors for Vaccine Dose-Optimisation
- We compared the CoBe DOA with 5 different ‘priors’
- Very strong, correct
- Strong, correct
- No prior
- Strong, incorrect
- Very strong, incorrect
- Dosing domain: Single-administration (scenarios 1, 2), prime/boost administration (scenarios 3,4, 7), or prime/boost/second-boost administration (scenarios 5,6)
- Utility function: Maximise Efficacy (Scenarios 1–6), Utility Contour (Scenario 7)
- Efficacy curve: Is defined for each scenario
- Toxicity curve: Is defined for only scenario 7
3. Results
3.1. Objective 1. Evaluate the Correlated Beta Dose Optimisation Approach for Optimising Vaccine Efficacy for a Single Dose Administration
3.1.1. True Efficacy at Predicted Optimal Dose
3.1.2. Cumulative Sum of Efficacy
3.2. Objective 2. Evaluate the Correlated Beta Dose Optimisation Approach for Optimising Vaccine Efficacy for a Prime-Dose/Boost-Dose Administration
3.2.1. True Efficacy at Predicted Optimal Dose
3.2.2. Cumulative Sum of Efficacy
3.3. Evaluate the Correlated Beta Dose Optimisation Approach for Optimising Vaccine Utility, Maximising Efficacy and Minimising Toxicity
3.3.1. True Utility at Predicted Optimal Dose
3.3.2. Cumulative Sum of Utility
3.4. Objective 4. Evaluate the Use of Expert Knowledge Informed Continuous Correlated Beta Process Priors for Vaccine Dose-Optimsation
3.4.1. True Efficacy/Utility at Predicted Optimal Dose
3.4.2. Cumulative Sum of Efficacy/Utility
4. Discussion
5. Conclusions
Supplementary Materials
Author Contributions
Funding
Institutional Review Board Statement
Informed Consent Statement
Data Availability Statement
Conflicts of Interest
References
- Kaur, R.J.; Dutta, S.; Bhardwaj, P.; Charan, J.; Dhingra, S.; Mitra, P.; Singh, K.; Yadav, D.; Sharma, P.; Misra, S. Adverse Events Reported From COVID-19 Vaccine Trials: A Systematic Review. Indian J. Clin. Biochem. 2021, 36, 427–439. [Google Scholar] [CrossRef] [PubMed]
- Benest, J.; Rhodes, S.; Quaife, M.; Evans, T.G.; White, R.G. Optimising Vaccine Dose in Inoculation against SARS-CoV-2, a Multi-Factor Optimisation Modelling Study to Maximise Vaccine Safety and Efficacy. Vaccines 2021, 9, 78. [Google Scholar] [CrossRef] [PubMed]
- Du, Z.; Wang, L.; Pandey, A.; Lim, W.W.; Chinazzi, M.; Piontti, A.P.Y.; Lau, E.H.Y.; Wu, P.; Malani, A.; Cobey, S.; et al. Modeling Comparative Cost-Effectiveness of SARS-CoV-2 Vaccine Dose Fractionation in India. Nat. Med. 2022, 28, 934–938. [Google Scholar] [CrossRef] [PubMed]
- Dolgin, E. Could Computer Models Be the Key to Better COVID Vaccines? Nature 2022, 604, 22–25. [Google Scholar] [CrossRef]
- Aouni, J.; Bacro, J.N.; Toulemonde, G.; Colin, P.; Darchy, L. Utility-Based Dose Selection for Phase II Dose-Finding Studies. Ther. Innov. Regul. Sci. 2021, 55, 818–840. [Google Scholar] [CrossRef]
- Bretz, F.; Dette, H.; Pinheiro, J. Practical Considerations for Optimal Designs in Clinical Dose Finding Studies. Stat. Med. 2010, 29, 731–742. [Google Scholar] [CrossRef]
- Han, S. Clinical Vaccine Development. Clin. Exp. Vaccine. Res. 2015, 4, 46–53. [Google Scholar] [CrossRef]
- David, S.; Kim, P.Y. Drug Trials. In StatPearls; StatPearls Publishing: Treasure Island, FL, USA, 2022. [Google Scholar]
- Commissioner, O. Of the Step 3: Clinical Research; FDA: Omaha, NE, USA, 2019. [Google Scholar]
- The 5 Stages of COVID-19 Vaccine Development: What You Need to Know About How a Clinical Trial Works. Available online: https://www.jnj.com/innovation/the-5-stages-of-covid-19-vaccine-development-what-you-need-to-know-about-how-a-clinical-trial-works (accessed on 31 July 2022).
- Mhaskar, R.; Miladinovic, B.; Guterbock, T.M.; Djulbegovic, B. When Are Clinical Trials Beneficial for Study Patients and Future Patients? A Factorial Vignette-Based Survey of Institutional Review Board Members. BMJ Open 2016, 6, e011150. [Google Scholar] [CrossRef][Green Version]
- Rhodes, S.J.; Knight, G.M.; Kirschner, D.E.; White, R.G.; Evans, T.G. Dose Finding for New Vaccines: The Role for Immunostimulation/Immunodynamic Modelling. J. Theor. Biol. 2019, 465, 51–55. [Google Scholar] [CrossRef]
- Handel, A.; Li, Y.; McKay, B.; Pawelek, K.A.; Zarnitsyna, V.; Antia, R. Exploring the Impact of Inoculum Dose on Host Immunity and Morbidity to Inform Model-Based Vaccine Design. PLOS Comput. Biol. 2018, 14, e1006505. [Google Scholar] [CrossRef]
- Lalonde, R.L.; Kowalski, K.G.; Hutmacher, M.M.; Ewy, W.; Nichols, D.J.; Milligan, P.A.; Corrigan, B.W.; Lockwood, P.A.; Marshall, S.A.; Benincosa, L.J.; et al. Model-Based Drug Development. Clin. Pharmacol. Ther. 2007, 82, 21–32. [Google Scholar] [CrossRef] [PubMed]
- Milligan, P.A.; Brown, M.J.; Marchant, B.; Martin, S.W.; van der Graaf, P.H.; Benson, N.; Nucci, G.; Nichols, D.J.; Boyd, R.A.; Mandema, J.W.; et al. Model-Based Drug Development: A Rational Approach to Efficiently Accelerate Drug Development. Clin. Pharmacol. Ther. 2013, 93, 502–514. [Google Scholar] [CrossRef] [PubMed]
- Onar, A.; Kocak, M.; Boyett, J.M. Continual Reassessment Method vs. Traditional Empirically-Based Design: Modifications Motivated by Phase I Trials in Pediatric Oncology by the Pediatric Brain Tumor Consortium. J. Biopharm. Stat. 2009, 19, 437–455. [Google Scholar] [CrossRef] [PubMed]
- Pallmann, P.; Bedding, A.W.; Choodari-Oskooei, B.; Dimairo, M.; Flight, L.; Hampson, L.V.; Holmes, J.; Mander, A.P.; Odondi, L.; Sydes, M.R.; et al. Adaptive Designs in Clinical Trials: Why Use Them, and How to Run and Report Them. BMC Med. 2018, 16, 29. [Google Scholar] [CrossRef]
- Meurer, W.J.; Legocki, L.; Mawocha, S.; Frederiksen, S.M.; Guetterman, T.C.; Barsan, W.; Lewis, R.; Berry, D.; Fetters, M. Attitudes and Opinions Regarding Confirmatory Adaptive Clinical Trials: A Mixed Methods Analysis from the Adaptive Designs Accelerating Promising Trials into Treatments (ADAPT-IT) Project. Trials 2016, 17, 373. [Google Scholar] [CrossRef]
- Rhodes, S.J.; Zelmer, A.; Knight, G.M.; Prabowo, S.A.; Stockdale, L.; Evans, T.G.; Lindenstrøm, T.; White, R.G.; Fletcher, H. The TB Vaccine H56+IC31 Dose-Response Curve Is Peaked Not Saturating: Data Generation for New Mathematical Modelling Methods to Inform Vaccine Dose Decisions. Vaccine 2016, 34, 6285–6291. [Google Scholar] [CrossRef]
- Benest, J.; Rhodes, S.; Afrough, S.; Evans, T.; White, R. Response Type and Host Species May Be Sufficient to Predict Dose-Response Curve Shape for Adenoviral Vector Vaccines. Vaccines 2020, 8, 155. [Google Scholar] [CrossRef]
- Benest, J.; Rhodes, S.; Evans, T.G.; White, R.G. Mathematical Modelling for Optimal Vaccine Dose Finding: Maximising Efficacy and Minimising Toxicity. Vaccines 2022, 10, 756. [Google Scholar] [CrossRef]
- Schorning, K.; Bornkamp, B.; Bretz, F.; Dette, H. Model Selection versus Model Averaging in Dose Finding Studies. Stat. Med. 2016, 35, 4021–4040. [Google Scholar] [CrossRef]
- Bodin, E.; Kaiser, M.; Kazlauskaite, I.; Dai, Z.; Campbell, N.; Ek, C.H. Modulating Surrogates for Bayesian Optimization. In Proceedings of the 37th International Conference on Machine Learning, Vienna, Austria, 12–18 July 2020; pp. 970–979. [Google Scholar]
- Takahashi, A.; Suzuki, T. Bayesian Optimization Design for Dose-Finding Based on Toxicity and Efficacy Outcomes in Phase I/II Clinical Trials. Pharm. Stat. 2021, 20, 422–439. [Google Scholar] [CrossRef]
- Takahashi, A.; Suzuki, T. Bayesian Optimization for Estimating the Maximum Tolerated Dose in Phase I Clinical Trials. Contemp. Clin. Trials. Commun. 2021, 21, 100753. [Google Scholar] [CrossRef] [PubMed]
- Lin, R.; Yin, G. STEIN: A Simple Toxicity and Efficacy Interval Design for Seamless Phase I/II Clinical Trials. Stat. Med. 2017, 36, 4106–4120. [Google Scholar] [CrossRef] [PubMed]
- Goetschalckx, R.; Poupart, P.; Hoey, J. Continuous Correlated Beta Processes. In Proceedings of the Twenty-Second international joint conference on Artificial Intelligence—Volume Volume Two, Barcelona, Spain, 16 July 2011; AAAI Press: Barcelona, Spain, 2011; pp. 1269–1274. [Google Scholar]
- Rolland, P.; Kavis, A.; Immer, A.; Singla, A.; Cevher, V. Efficient Learning of Smooth Probability Functions from Bernoulli Tests with Guarantees. In Proceedings of the 36th International Conference on Machine Learning, Long Beach, CA, USA, 24 May 2019; pp. 5459–5467. [Google Scholar]
- Gompert, Z. A Continuous Correlated Beta Process Model for Genetic Ancestry in Admixed Populations. PLoS ONE 2016, 11, e0151047. [Google Scholar] [CrossRef]
- Van Meter, E.M.; Garrett-Mayer, E.; Bandyopadhyay, D. Dose-Finding Clinical Trial Design for Ordinal Toxicity Grades Using the Continuation Ratio Model: An Extension of the Continual Reassessment Method. Clin. Trials. 2012, 9, 303–313. [Google Scholar] [CrossRef] [PubMed]
- James, G.D.; Symeonides, S.; Marshall, J.; Young, J.; Clack, G. Assessment of Various Continual Reassessment Method Models for Dose-Escalation Phase 1 Oncology Clinical Trials: Using Real Clinical Data and Simulation Studies. BMC Cancer 2021, 21, 7. [Google Scholar] [CrossRef]
- Morris, T.P.; White, I.R.; Crowther, M.J. Using Simulation Studies to Evaluate Statistical Methods. Stat. Med. 2019, 38, 2074–2102. [Google Scholar] [CrossRef]
- O’quigley, J. Non-Parametric Optimal Design in Dose Finding Studies. Biostatistics 2002, 3, 51–56. [Google Scholar] [CrossRef]
- Thall, P.F.; Cook, J.D. Dose-Finding Based on Efficacy-Toxicity Trade-Offs. Biometrics 2004, 60, 684–693. [Google Scholar] [CrossRef]
- Brock, K.; Billingham, L.; Copland, M.; Siddique, S.; Sirovica, M.; Yap, C. Implementing the EffTox Dose-Finding Design in the Matchpoint Trial. BMC Med. Res. Methodol. 2017, 17, 112. [Google Scholar] [CrossRef]
- Diniz, M.A.; Tighiouart, M.; Rogatko, A. Comparison between Continuous and Discrete Doses for Model Based Designs in Cancer Dose Finding. PLoS ONE 2019, 14, e0210139. [Google Scholar] [CrossRef]
- Kardani, K.; Bolhassani, A.; Shahbazi, S. Prime-Boost Vaccine Strategy against Viral Infections: Mechanisms and Benefits. Vaccine 2016, 34, 413–423. [Google Scholar] [CrossRef] [PubMed]
- Lu, S. Heterologous Prime-Boost Vaccination. Curr. Opin. Immunol. 2009, 21, 346–351. [Google Scholar] [CrossRef]
- Chen, J.; Liu, T. Statistical Considerations on Implementing the MCP-Mod Method for Binary Endpoints in Clinical Trials. Contemp. Clin. Trials. Commun. 2020, 19, 100641. [Google Scholar] [CrossRef] [PubMed]
- Raineri, E.; Dabad, M.; Heath, S. A Note on Exact Differences between Beta Distributions in Genomic (Methylation) Studies. PLoS ONE 2014, 9, e97349. [Google Scholar] [CrossRef]
- Lee, S.M.; Cheung, Y.K. Calibration of Prior Variance in the Bayesian Continual Reassessment Method. Stat. Med. 2011, 30, 2081–2089. [Google Scholar] [CrossRef] [PubMed]
- Thall, P.F.; Herrick, R.C.; Nguyen, H.Q.; Venier, J.J.; Norris, J.C. Effective Sample Size for Computing Prior Hyperarameters in Bayesian Phase I-II Dose-Finding. Clin. Trials. 2014, 11, 657–666. [Google Scholar] [CrossRef]
- Weisstein, E.W. Beta Distribution. Available online: https://mathworld.wolfram.com/ (accessed on 5 August 2022).
- Thompson, W.R. On the Likelihood That One Unknown Probability Exceeds Another in View of the Evidence of Two Samples. Biometrika 1933, 25, 285–294. [Google Scholar] [CrossRef]
- Aziz, M.; Kaufmann, E.; Riviere, M.-K. On Multi-Armed Bandit Designs for Dose-Finding Clinical Trials. J. Mach. Learn. Res. 2021, 22, 686–723. [Google Scholar]
- Shen, C.; Wang, Z.; Villar, S.; Schaar, M.V.D. Learning for Dose Allocation in Adaptive Clinical Trials with Safety Constraints. In Proceedings of the 37th International Conference on Machine Learning; pp. 8730–8740.
- Agrawal, S.; Goyal, N. Analysis of Thompson Sampling for the Multi-Armed Bandit Problem. In Proceedings of the 25th Annual Conference on Learning Theory, JMLR Workshop and Conference Proceedings; Edinburgh, Scotland, 25–27 June 2012, pp. 39.1–39.26.
- O’Quigley, J.; Iasonos, A.; Bornkamp, B. Dose-Response Functions. In Handbook of Methods for Designing, Monitoring, and Analyzing Dose-Finding Trials: Handbooks of Modern Statistical Methods; Routledge: Abingdon, VA, USA, 2017; p. 199. ISBN 978-1-315-15198-4. [Google Scholar]
- Mandrekar, S.J.; Qin, R.; Sargent, D.J. Model-Based Phase I Designs Incorporating Toxicity and Efficacy for Single and Dual Agent Drug Combinations: Methods and Challenges. Stat. Med. 2010, 29, 1077–1083. [Google Scholar] [CrossRef]
- Zhang, W.; Sargent, D.J.; Mandrekar, S. An Adaptive Dose-Finding Design Incorporating Both Toxicity and Efficacy. Stat. Med. 2006, 25, 2365–2383. [Google Scholar] [CrossRef]
- Reverdy, P.; Leonard, N.E. Parameter Estimation in Softmax Decision-Making Models With Linear Objective Functions. IEEE Trans. Autom. Sci. Eng. 2016, 13, 54–67. [Google Scholar] [CrossRef]
- Vamplew, P.; Dazeley, R.; Foale, C. Softmax Exploration Strategies for Multiobjective Reinforcement Learning. Neurocomputing 2017, 263, 74–86. [Google Scholar] [CrossRef]
- Cao, X.H.; Stojkovic, I.; Obradovic, Z. A Robust Data Scaling Algorithm to Improve Classification Accuracies in Biomedical Data. BMC Bioinform. 2016, 17, 359. [Google Scholar] [CrossRef] [PubMed]
- Linn, K.A.; Gaonkar, B.; Satterthwaite, T.D.; Doshi, J.; Davatzikos, C.; Shinohara, R.T. Control-Group Feature Normalization for Multivariate Pattern Analysis of Structural MRI Data Using the Support Vector Machine. Neuroimage 2016, 132, 157–166. [Google Scholar] [CrossRef]
- van den Berg, R.A.; Hoefsloot, H.C.; Westerhuis, J.A.; Smilde, A.K.; van der Werf, M.J. Centering, Scaling, and Transformations: Improving the Biological Information Content of Metabolomics Data. BMC Genom. 2006, 7, 142. [Google Scholar] [CrossRef]
- Virtanen, P.; Gommers, R.; Oliphant, T.E.; Haberland, M.; Reddy, T.; Cournapeau, D.; Burovski, E.; Peterson, P.; Weckesser, W.; Bright, J.; et al. SciPy 1.0: Fundamental Algorithms for Scientific Computing in Python. Nat. Methods. 2020, 17, 261–272. [Google Scholar] [CrossRef]
- Morita, S.; Thall, P.F.; Takeda, K. A Simulation Study of Methods for Selecting Subgroup-Specific Doses in Phase I Trials. Pharm. Stat. 2017, 16, 143–156. [Google Scholar] [CrossRef]
- Morita, S.; Thall, P.F.; Müller, P. Prior Effective Sample Size in Conditionally Independent Hierarchical Models. Bayesian. Anal. 2012, 7. [Google Scholar] [CrossRef]
- Iasonos, A.; Wilton, A.S.; Riedel, E.R.; Seshan, V.E.; Spriggs, D.R. A Comprehensive Comparison of the Continual Reassessment Method to the Standard 3 + 3 Dose Escalation Scheme in Phase I Dose-Finding Studies. Clin. Trials. 2008, 5, 465–477. [Google Scholar] [CrossRef]
- Goodman, S.N.; Zahurak, M.L.; Piantadosi, S. Some Practical Improvements in the Continual Reassessment Method for Phase I Studies. Stat. Med. 1995, 14, 1149–1161. [Google Scholar] [CrossRef]
- Li, S.; Xie, X.-J.; Heitjan, D.F. Flexible, Rule-Based Dose Escalation: The Cohort-Sequence Design. Contemp. Clin. Trials. Commun. 2020, 17, 100541. [Google Scholar] [CrossRef] [PubMed]
- Millen, G.C.; Yap, C. Adaptive Trial Designs: What Is the Continual Reassessment Method? Arch. Dis. Child.-Educ. Pract. 2021, 106, 175–177. [Google Scholar] [CrossRef] [PubMed]
- Horton, B.J.; Wages, N.A.; Gentzler, R.D. Bayesian Design for Identifying Cohort-Specific Optimal Dose Combinations Based on Multiple Endpoints: Application to a Phase I Trial in Non-Small Cell Lung Cancer. Int. J. Environ. Res. Public Health 2021, 18, 11452. [Google Scholar] [CrossRef] [PubMed]




















Publisher’s Note: MDPI stays neutral with regard to jurisdictional claims in published maps and institutional affiliations. |
© 2022 by the authors. Licensee MDPI, Basel, Switzerland. This article is an open access article distributed under the terms and conditions of the Creative Commons Attribution (CC BY) license (https://creativecommons.org/licenses/by/4.0/).
Share and Cite
Benest, J.; Rhodes, S.; Evans, T.G.; White, R.G. The Correlated Beta Dose Optimisation Approach: Optimal Vaccine Dosing Using Mathematical Modelling and Adaptive Trial Design. Vaccines 2022, 10, 1838. https://doi.org/10.3390/vaccines10111838
Benest J, Rhodes S, Evans TG, White RG. The Correlated Beta Dose Optimisation Approach: Optimal Vaccine Dosing Using Mathematical Modelling and Adaptive Trial Design. Vaccines. 2022; 10(11):1838. https://doi.org/10.3390/vaccines10111838
Chicago/Turabian StyleBenest, John, Sophie Rhodes, Thomas G. Evans, and Richard G. White. 2022. "The Correlated Beta Dose Optimisation Approach: Optimal Vaccine Dosing Using Mathematical Modelling and Adaptive Trial Design" Vaccines 10, no. 11: 1838. https://doi.org/10.3390/vaccines10111838
APA StyleBenest, J., Rhodes, S., Evans, T. G., & White, R. G. (2022). The Correlated Beta Dose Optimisation Approach: Optimal Vaccine Dosing Using Mathematical Modelling and Adaptive Trial Design. Vaccines, 10(11), 1838. https://doi.org/10.3390/vaccines10111838

