The Potential Benefits of the Influenza Vaccination on COVID-19 Mortality Rate—A Retrospective Analysis of Patients in Poland
Abstract
:1. Introduction
2. Materials and Methods
3. Results
4. Discussion
5. Conclusions
Author Contributions
Funding
Institutional Review Board Statement
Informed Consent Statement
Data Availability Statement
Acknowledgments
Conflicts of Interest
Abbreviations
| CeZ | Centrum e-Zdrowia |
References
- Zhou, F.; Yu, T.; Du, R.; Fan, G.; Liu, Y.; Liu, Z.; Xiang, J.; Wang, Y.; Song, B.; Gu, X.; et al. Clinical course and risk factors for mortality of adult inpatients with COVID-19 in Wuhan, China: A retrospective cohort study. Lancet 2020, 395, 1054–1062. [Google Scholar] [CrossRef]
- COVID-19 Map—Johns Hopkins Coronavirus Resource Center. Jhu.edu. Available online: https://coronavirus.jhu.edu/map.html (accessed on 9 September 2021).
- Goh, K.J.; Choong, M.C.; Cheong, E.H.; Kalimuddin, S.; Duu We, S.; Phua, G.C.; Chan, K.S.; Haja Mohideen, S. Rapid progression to acute respiratory distress syndrome: Review of current understanding of critical illness from COVID-19 infection. Ann. Acad. Med. 2020, 49, 108–118. [Google Scholar]
- Arentz, M.; Yim, E.; Klaff, L.; Lokhandwala, S.; Riedo, F.X.; Chong, M.; Lee, M. Characteristics and outcomes of 21 critically ill patients with COVID-19 in Washington State. JAMA 2020, 323, 1612–1614. [Google Scholar] [CrossRef] [Green Version]
- Iuliano, A.D.; Roguski, K.M.; Chang, H.H.; Muscatello, D.J.; Palekar, R.; Tempia, S.; Cohen, C.; Gran, J.M.; Schanzer, D.; Cowling, B.J.; et al. Estimates of global seasonal influenza-associated respiratory mortality: A modeling study. Lancet 2018, 391, 1285–1300. [Google Scholar] [CrossRef]
- Faust, J.S.; del Rio, C. Assessment of deaths from COVID-19 and from seasonal influenza May 14. JAMA Intern. Med. 2020, 180, 1045–1046. [Google Scholar] [CrossRef]
- Buchy, P.; Badur, S. Who and when to vaccinate against influenza. Int. J. Infect. Dis. 2020, 93, 375–387. [Google Scholar] [CrossRef]
- Zeng, Q.; Langereis, M.; van Vliet, A.L.W.; Huizinga, E.G.; de Groot, R.J. Structure of coronavirus hemagglutinin-esterase offers insight into corona and influenza virus evolution. Proc. Natl. Acad. Sci. USA 2008, 105, 9065–9069. [Google Scholar] [CrossRef] [Green Version]
- Thevarajan, I.; Nguyen, T.H.O.; Koutsakos, M.; Druce, J.; Caly, L.; van de Sandt, C.E.; Jia, X.; Nicholson, S.; Catton, M.; Cowie, B.; et al. Breadth of concomitant immune responses prior to patient recovery: A case report of non-severe COVID-19. Nat. Med. 2020, 26, 453–455. [Google Scholar] [CrossRef] [PubMed] [Green Version]
- Koutsakos, M.; Wheatley, A.K.; Loh, L.; Clemens, E.B.; Sant, S.; Nüssing, S.; Fox, A.; Chung, A.W.; Laurie, K.L.; Hurt, A.C.; et al. Circulating TFH cells, serological memory, and tissue compartmentalization shape human influenza-specific B cell immunity. Sci. Transl. Med. 2018, 10, E8405. [Google Scholar] [CrossRef] [PubMed] [Green Version]
- Khorramdelazad, H.; Kazemi, M.H.; Najafi, A.; Keykhaee, M.; Emameh, R.Z.; Falak, R. Immunopathological similarities between COVID-19 and influenza: Investigating the consequences of Co-infection. Microb. Pathog. 2021, 152, 104554. [Google Scholar] [CrossRef]
- O’Connor, E.; Teh, J.; Kamat, A.M.; Lawrentschuk, N. Bacillus Calmette Guerin (BCG) vaccination use in the fight against COVID-19—What’s old is new again? Future Oncol. 2020, 16, 1323–1325. [Google Scholar] [CrossRef]
- Marín-Hernandez, D.; Schwartz, R.E.; Nixon, D.F. Epidemiological evidence for association between higher influenza vaccine uptake in the elderly and lower COVID-19 deaths in Italy. J. Med. Virol. 2021, 93, 64–65. [Google Scholar] [CrossRef] [PubMed]
- Yang, M.-J.; Rooks, B.J.; Le, T.-T.T.; Santiago, I.O.; Diamond, J.; Dorsey, N.L.; Mainous, A.G. Influenza vaccination and hospitalizations among COVID-19 infected adults. J. Am. Board Fam. Med. 2021, 34, S179–S182. [Google Scholar] [CrossRef] [PubMed]
- Fink, G.; Orlova-Fink, N.; Schindler, T.; Grisi, S.; Ferrer, A.P.S.; Daubenberger, C.; Brentani, A. Inactivated trivalent influenza vaccine is associated with lower mortality among COVID-19 patients in Brazil [preprint]. BMJ Evid.-Based Med. 2020, 26, 192–193. [Google Scholar] [CrossRef] [PubMed]
- Conlon, A.; Ashur, C.; Washer, L.; Eagle, K.A.; Bowman, M.A.H. Impact of the influenza vaccine on COVID-19 infection rates and severity. Am. J. Infect. Control 2021, 49, 694–700. [Google Scholar] [CrossRef]
- Green, I.; Ashkenazi, S.; Merzon, E.; Vinker, S.; Golan-Cohen, A. The association of previous influenza vaccination and coronavirus disease-2019. Hum. Vaccin. Immunother. 2021, 17, 2169–2175. [Google Scholar] [CrossRef]
- Wang, R.; Liu, M.; Liu, J. The association between influenza vaccination and COVID-19 and its outcomes: A systematic review and meta-analysis of observational studies. Vaccines 2021, 9, 529–545. [Google Scholar] [CrossRef]
- Zanettini, C.; Omar, M.; Dinalankara, W.; Imada, E.L.; Colantuoni, E.; Parmigiani, G.; Marchionni, L. Influenza vaccination and COVID19 mortality in the USA [preprint]. medRxiv 2020. [Google Scholar] [CrossRef]
- Cocco, P.; Meloni, F.; Coratza, A.; Schirru, D.; Campagna, M.; De Matteis, S. Vaccination against seasonal influenza and socio-economic and environmental factors as determinants of the geographic variation of COVID-19 incidence and mortality in the Italian elderly. Prev. Med. 2021, 143, E106351. [Google Scholar] [CrossRef]
- Pedote, P.D.; Termite, S.; Gigliobianco, A.; Lopalco, P.L.; Bianchi, F.P. Influenza vaccination and health outcomes in COVID-19 patients: A retrospective cohort study. Vaccines 2021, 9, 358–365. [Google Scholar] [CrossRef]
- Taghioff, S.M.; Slavin, B.R.; Holton, T.; Singh, D. Examining the potential benefits of the influenza vaccine against SARS-CoV-2: A retrospective cohort analysis of 74,754 patients. PLoS ONE 2021, 16, e0255541. [Google Scholar] [CrossRef]
- Amato, M.; Werba, J.P.; Frigerio, B.; Coggi, D.; Sansaro, D.; Ravani, A.; Ferrante, P.; Veglia, F.; Tremoli, E.; Baldassarre, D. Relationship between influenza vaccination coverage rate and COVID-19 outbreak: An Italian ecological study. Vaccines 2020, 8, 535. [Google Scholar] [CrossRef]
- Martínez-Baz, I.; Trobajo-Sanmartín, C.; Arregui, I.; Navascués, A.; Adelantado, M.; Indurain, J.; Fresán, U.; Ezpeleta, C.; Castilla, J. Influenza vaccination and risk of SARS-CoV-2 infection in a cohort of health workers. Vaccines 2020, 8, 611. [Google Scholar] [CrossRef]
- Kissling, E.; Hooiveld, M.; Brytting, M.; Vilcu, A.-M.; de Lange, M.; Martínez-Baz, I.; Sigerson, D.; Enkirch, T.; Belhillil, S.; Meijer, A.; et al. Absence of association between 2019-20 influenza vaccination and COVID-19: Results of the European I-MOVE-COVID-19 primary care project, March-August 2020. Influenza Other Respir. Viruses 2021, 15, 429–438. [Google Scholar] [CrossRef]
- Wehenkel, C. Positive association between COVID-19 deaths and influenza vaccination rates in elderly people worldwide. Peer J. 2020, 8, E10112. [Google Scholar] [CrossRef]
- Akaike, H. Information Theory and an Extension of the Maximum Likelihood Principle. Selected Papers of Hirotugu Akaike; Springer: New York, NY, USA, 1998; pp. 199–213. [Google Scholar]
- Working, H.; Hotelling, H. Applications of the theory of error to the interpretation of trends. J. Am. Stat. Assoc. 1929, 24, 73–85. [Google Scholar]
- Oehlert, G.W. A note on the delta method. Am. Stat. 1992, 46, 27–29. [Google Scholar]
- Ragni, P.; Marino, M.; Formisano, D.; Bisaccia, E.; Scaltriti, S.; Bedeschi, E.; Grilli, R. Association between Exposure to Influenza Vaccination and COVID-19 Diagnosis and Outcomes. Vaccines 2020, 8, 675. [Google Scholar] [CrossRef] [PubMed]
- Zein, J.G.; Whelan, G.; Erzurum, S.C. Safety of influenza vaccine during COVID-19. J. Clin. Transl. Sci. 2021, 5, E49. [Google Scholar] [CrossRef]
- Pallikkuth, S.; Williams, E.; Pahwa, R.; Hoffer, M.; Pahwa, S. Association of Flu specific and SARS-CoV-2 specific CD4 T cell responses in SARS-CoV-2 infected asymptomatic heath care workers. Vaccine 2021, 39, 6019–6024. [Google Scholar] [CrossRef] [PubMed]
- World Health Organization. WHO Regional Office for Europe Recommendations on Influenza Vaccination for the 2020/2021 Season during the Ongoing COVID-19 Pandemic. 2020. Available online: https://www.euro.who.int/en/health-topics/communicable-diseases/influenza/vaccination/who-guidance-and-current-recommendations/who-regional-office-for-europe-recommendations-on-influenza-vaccination-for-the-20202021-season-during-the-ongoing-covid-19-pandemic-2020 (accessed on 13 December 2021).
- European Centre for Disease Prevention and Control (ECDC) Seasonal Influenza Vaccination Strategies. Available online: https://www.ecdc.europa.eu/en/seasonal-influenza/prevention-and-control/vaccines/vaccination-strategies (accessed on 14 December 2021).
- European Centre for Disease Prevention and Control. Seasonal Influenza Vaccination and Antiviral Use in EU/EEA Member States—Overview of Vaccine Recommendations for 2017–2018 and Vaccination Coverage Rates for 2015–2016 and 2016–2017 Influenza Seasons; European Centre for Disease Prevention and Control: Stockholm, Sweden, 2018.
- Samel-Kowalik, P.; Jankowski, M.; Lisiecka-Biełanowicz, M.; Ostrowska, A.; Gujski, M.; Kobuszewski, B.; Pinkas, J.; Raciborski, F. Factors Associated with Attitudes towards Seasonal Influenza Vaccination in Poland: A Nationwide Cross-Sectional Survey in 2020. Vaccines 2021, 9, 1336. [Google Scholar] [CrossRef] [PubMed]
- Narodowy Instytut Zdrowia Publicznego Państwowy Zakład Higieny. Available online: https://szczepienia.pzh.gov.pl/faq/jaki-jest-poziom-zaszczepienia-przeciw-grypie-w-polsce/ (accessed on 17 December 2021).





| Individual | Unique Personal ID Numbers |
|---|---|
| confirmed COVID-19 infection in the period from 1 January 2020 to 31 March 2021 | 2,313,496 |
| confirmed COVID-19 infection and death due to COVID-19 infection | 93,208 |
| filled the prescription for any influenza vaccine during the 2019–2020 influenza season | 1,242,204 |
| confirmed COVID-19 infection in the period from 1 January 2020 to 31 March 2021 and filled the prescription for any influenza vaccine during the 2019–2020 influenza season | 116,277 |
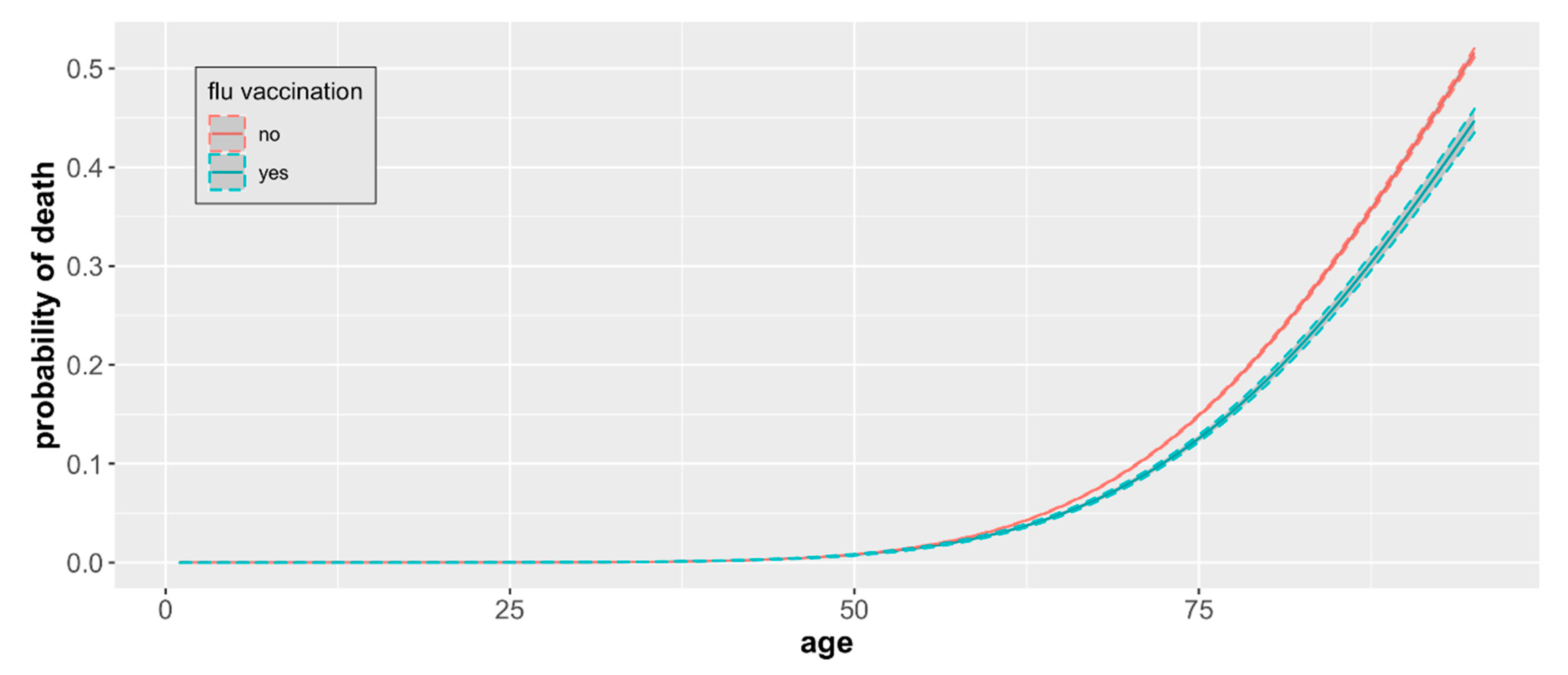
| Age | Unvaccinated | Vaccinated | Odds Ratio (OR) | |||
|---|---|---|---|---|---|---|
| pu | 95% CI | pv | 95% CI | ORu/ORv | 95% CI | |
| 60+ | 0.128 | (0.126; 0.129) | 0.121 | (0.118; 0.123) | 1.18 | (1.15; 1.21) |
| 60 | 0.031 | (0.031; 0.033) | 0.028 | (0.026; 0.029) | 1.13 | (1.05; 1.23) |
| 65 | 0.056 | (0.056; 0.058) | 0.049 | (0.047; 0.051) | 1.16 | (1.09; 1.24) |
| 70 | 0.094 | (0.094; 0.097) | 0.080 | (0.078; 0.083) | 1.19 | (1.13; 1.25) |
| 75 | 0.148 | (0.147; 0.152) | 0.125 | (0.122; 0.129) | 1.21 | (1.16; 1.27) |
| 80 | 0.220 | (0.218; 0.225) | 0.185 | (0.180; 0.191) | 1.23 | (1.18; 1.29) |
| 85 | 0.308 | (0.305; 0.315) | 0.261 | (0.254; 0.268) | 1.26 | (1.21; 1.31) |
| 90 | 0.408 | (0.405; 0.418) | 0.349 | (0.340; 0.359) | 1.28 | (1.23; 1.34) |
| 95 | 0.516 | (0.511; 0.527) | 0.447 | (0.345; 0.459) | 1.31 | (1.26; 1.37) |
Publisher’s Note: MDPI stays neutral with regard to jurisdictional claims in published maps and institutional affiliations. |
© 2021 by the authors. Licensee MDPI, Basel, Switzerland. This article is an open access article distributed under the terms and conditions of the Creative Commons Attribution (CC BY) license (https://creativecommons.org/licenses/by/4.0/).
Share and Cite
Stańczak-Mrozek, K.I.; Sobczak, A.; Lipiński, L.; Sienkiewicz, E.; Makarewicz, D.; Topór-Mądry, R.; Pinkas, J.; Sierpiński, R.A. The Potential Benefits of the Influenza Vaccination on COVID-19 Mortality Rate—A Retrospective Analysis of Patients in Poland. Vaccines 2022, 10, 5. https://doi.org/10.3390/vaccines10010005
Stańczak-Mrozek KI, Sobczak A, Lipiński L, Sienkiewicz E, Makarewicz D, Topór-Mądry R, Pinkas J, Sierpiński RA. The Potential Benefits of the Influenza Vaccination on COVID-19 Mortality Rate—A Retrospective Analysis of Patients in Poland. Vaccines. 2022; 10(1):5. https://doi.org/10.3390/vaccines10010005
Chicago/Turabian StyleStańczak-Mrozek, Kinga Izabela, Adam Sobczak, Leszek Lipiński, Elżbieta Sienkiewicz, Dorota Makarewicz, Roman Topór-Mądry, Jarosław Pinkas, and Radosław Adam Sierpiński. 2022. "The Potential Benefits of the Influenza Vaccination on COVID-19 Mortality Rate—A Retrospective Analysis of Patients in Poland" Vaccines 10, no. 1: 5. https://doi.org/10.3390/vaccines10010005
APA StyleStańczak-Mrozek, K. I., Sobczak, A., Lipiński, L., Sienkiewicz, E., Makarewicz, D., Topór-Mądry, R., Pinkas, J., & Sierpiński, R. A. (2022). The Potential Benefits of the Influenza Vaccination on COVID-19 Mortality Rate—A Retrospective Analysis of Patients in Poland. Vaccines, 10(1), 5. https://doi.org/10.3390/vaccines10010005
