Natural Deep Eutectic Solvent as Extraction Media for the Main Phenolic Compounds from Olive Oil Processing Wastes
Abstract
1. Introduction
2. Materials and Methods
2.1. Samples, Standards, and Reagents
2.2. NADEs Preparation
2.3. Extraction of Phenolic Compounds from Olive Leaves or Ripened Olive Drupes with NADES
2.4. Extraction of Phenolic Compounds from Olive Leaves or Ripened Olive Drupes with Water (Control Sample)
2.5. HPLC Analysis
2.6. LC-ESI-QTOF/MS Analysis
2.7. Statistical Analysis
3. Results and Discussion
3.1. Screening of the NADESs
3.2. Sample Preparation and Extraction Procedure
3.3. HPLC- ESI-QTOF-MS Analysis and Quantitative HPLC
4. Conclusions
Supplementary Materials
Author Contributions
Funding
Conflicts of Interest
References
- Silva, S.; Gomes, L.; Leitao, F.; Leitao, F.; Coelho, A.V.; Vilas Boas, L.; Phenolic compounds and antioxidant activity of Olea europaea L. fruits and leaves. Food Sci. Technol. Int. 2006, 12, 385–395. [Google Scholar] [CrossRef]
- Kountouri, A.M.; Mylona, A.; Kaliora, A.C.; Andrikopoulos, N.K. Bioavailability of the phenolic compounds of the fruits (drupes) of Olea europaea (olives): impact on plasma antioxidant status in humans. Phytomedicine 2007, 14, 659–667. [Google Scholar] [CrossRef] [PubMed]
- Owen, R.W.; Mier, W.; Giacosa, A.; Hull, W.E.; Spiegelhalder, B.; Bartsch, H. Identification of lignans as a major component in the phenolic fraction of olive oil. Clin. Chem. 2000, 46, 976–988. [Google Scholar] [CrossRef] [PubMed]
- Hassen, I.; Casabianca, H.; Hosni, K. Biological activities of the natural antioxidant oleuropein: Exceeding the expectation—A mini-review. J. Funct. Foods 2015, 18, 926–940. [Google Scholar] [CrossRef]
- Angeloni, C.; Malaguti, M.; Barbalace, M.C.; Hrelia, S. Bioactivity of Olive Oil Phenols in Neuroprotection. Int. J. Mol. Sci. 2017, 18, 2230. [Google Scholar] [CrossRef] [PubMed]
- Bouaziz, M.; Fki, I.; Jemai, H.; Ayadi, M.; Sayadi, S. Effect of storage on refined and husk olive oils composition: Stabilization by addition of natural antioxidants from Chemlali olive leaves. Food Chem. 2008, 108, 253–262. [Google Scholar] [CrossRef]
- Pereira, A.P.; Ferreira, I.C.; Marcelino, F.; Valentão, P.; Andrade, P.B.; Seabra, R.; Estevinho, L.; Bento, A.; Pereira, J.A. Phenolic compounds and antimicrobial activity of olive (Olea europaea L. Cv. Cobrançosa) leaves. Molecules 2007, 12, 1153–1162. [Google Scholar] [CrossRef] [PubMed]
- Lídia, A.; Cavaca, S.; Afonso, C.A.M. Oleuropein: A Valuable Bio-Renewable Synthetic Building Block. Eur. J. Org. Chem. 2018, 581–589. [Google Scholar]
- Procopio, A.; Sindona, G.; Gaspari, M.; Costa, N.; Nardi, M. Chemical-Catalytic Method for the Peracylation of Oleuropein and Its Products of Hydrolysis. Patent WO2008136037 A2, 24 December 2008. [Google Scholar]
- El Riachy, M.; Priego-Capote, F.; Leon, L.; Rallo, L.; Dolores, M.; de Castro, L. Hydrophilic antioxidants of virgin olive oil. Part 2: Biosynthesis and biotransformation of phenolic compounds in virgin olive oil as affected by agronomic and processing factors. Eur. J. Lipid Sci. Tech. 2011, 113, 692–707. [Google Scholar] [CrossRef]
- Procopio, A.; Alcaro, S.; Nardi, M.; Oliverio, M.; Paolini, D.; Sindona, G. Lipophilic hydroxytyrosol esters: fatty acid conjugates for potential topical administration. J. Nat. Prod. 2011, 74, 2377–2381. [Google Scholar] [CrossRef] [PubMed]
- Procopio, A.; Alcaro, S.; Nardi, M.; Oliverio, M.; Paolini, D.; Sindona, G. Synthesis, biological evaluation, and molecular modeling of oleuropein and its semisynthetic derivatives as cyclooxygenase inhibitors. J. Agric. Food Chem. 2009, 57, 11161–11167. [Google Scholar] [CrossRef] [PubMed]
- Beauchamp, G.K.; Keast, R.S.J.; Morel, D.; Lin, J.; Pika, J.; Han, Q.; Lee, C.-H.; Smith, A.B.; Breslin, P.A.S. Phytochemistry: ibuprofen-like activity in extra-virgin olive oil. Nature 2005, 437, 45–46. [Google Scholar] [CrossRef] [PubMed]
- Breslin, P.A.S.; Gingerich, T.N.; Green, B.G. Ibuprofen as a chemesthetic stimulus: evidence of a novel mechanism of throat irritation. Chem. Sens. 2001, 26, 55–66. [Google Scholar] [CrossRef] [PubMed]
- Sindona, G.; Caruso, A.; Cozza, A.; Fiorentini, S.; Lorusoo, B.; Marini, E.; Nardi, M.; Procopio, A.; Zicari, S. Antiinflammatory effect of 3,4-DHPEA-EDA [2-(3,4 -hydroxyphenyl) ethyl (3S, 4E)-4-formyl-3-(2-oxoethyl)hex-4-enoate] on primary human vascular endothelial cells. Curr. Med. Chem. 2012, 19, 4006–4013. [Google Scholar]
- Parzonko, A.; Czerwińska, M.E.; Kiss, A.K.; Naruszewicz, M. Oleuropein and oleacein may restore biological functions of endothelial progenitor cells impaired by angiotensin II via activation of Nrf2/heme oxygenase pathway. Phytomedicine 2013, 20, 1088–1094. [Google Scholar] [CrossRef] [PubMed]
- Czerwin’ska, M.E.; Kiss, K.A.; Naruszewicz, M. Inhibition of human neutrophils NEP activity, CD11b/CD18 expression and elastase release by 3, 4-dihydroxyphenylethanol-elenolic acid dialdehyde, oleacein. Food Chem. 2014, 153, 1–8. [Google Scholar] [CrossRef] [PubMed]
- Nardi, M.; Bonacci, S.; De Luca, G.; Maiuolo, J.; Oliverio, M.; Sindona, G.; Procopio, A. Biomimetic synthesis and antioxidant evaluation of 3,4-DHPEA-EDA [2-(3,4-hydroxyphenyl) ethyl (3S,4E)-4-formyl-3-(2-oxoethyl)hex-4-enoate]. Food Chem. 2014, 124, 89–93. [Google Scholar] [CrossRef] [PubMed]
- Costanzo, P.; Bonacci, S.; Cariati, L.; Nardi, M.; Oliverio, M.; Procopio, A. Simple and efficient sustainable semi-synthesis of oleacein [2-(3,4-hydroxyphenyl) ethyl (3S,4E)-4-formyl-3-(2-oxoethyl)hex-4-enoate] as potential additive for edible oils. Food Chem. 2018, 245, 410–414. [Google Scholar] [CrossRef] [PubMed]
- Lozano-Castellón, J.; López-Yerena, A.; Rinaldi de Alvarenga, J.F.; Romero del Castillo-Alba, J.; Vallverdú-Queralta, A.; Escribano-Ferrer, E.; Lamuela-Raventósa, R.M. Health-promoting properties of oleocanthal and oleacein: Two secoiridoids from extra-virgin olive oil. Crit. Rev. Food Sci. Nutr. 2019, 1–17. [Google Scholar] [CrossRef]
- Pang, K.-L.; Chin, K.-Y. The Biological Activities of Oleocanthal from a Molecular Perspective. Nutrients 2018, 10, 570. [Google Scholar] [CrossRef] [PubMed]
- Ryan, D.; Robards, K.; Lavee, S. Changes in phenolic content of olive during maturation. Int. J. Food Sci. Tech. 1999, 34, 265–274. [Google Scholar] [CrossRef]
- Smith, A.B.; Han, Q.; Breslin, P.A.S.; Beauchamp, G.K. Synthesis and assignment of absolute configuration of (−)-oleocanthal: A potent, naturally occurring non-steroidal anti-inflammatory and anti-oxidant agent derived from extra virgin olive oils. Org. Lett. 2005, 7, 5075–5078. [Google Scholar] [CrossRef] [PubMed]
- Smith, A.B.; Sperry, J.B.; Han, Q. Syntheses of (−)-oleocanthal, a natural NSAID found in extra virgin olive oil, the (−)-deacetoxy-oleuropein aglycone, and related analogues. J. Org. Chem. 2007, 72, 6891–6900. [Google Scholar] [CrossRef] [PubMed]
- English, B.J.; Williams, R.M. Synthesis of (+/−)-oleocanthal via a tandem intramolecular Michael cyclization-HWE olefination. Tetrahedron Lett. 2009, 50, 2703–2840. [Google Scholar] [CrossRef] [PubMed][Green Version]
- Takahashi, K.; Morita, H.; Honda, T. Formal synthesis of (−)-oleocanthal by means of a SmI2-promoted intramolecular coupling of bromoalkyne with α,β-unsaturated ester. Tetrahedron Lett. 2012, 53, 3342–3345. [Google Scholar] [CrossRef]
- Ross, K.; Beta, T.; Arntfield, S. A comparative study on the phenolic acids identified and quantified in dry beans using HPLC as affected by different extraction and hydrolysis methods. Food Chem. 2009, 113, 336–344. [Google Scholar] [CrossRef]
- Cravotto, G.; Abert Vian, M.; Chemat, F. Green Extraction of Natural Products: Concept and Principles. Int. J. Mol. Sci. 2012, 13, 8615–8627. [Google Scholar]
- Chemat, F.; Vian, M.A.; Fabiano-Tixier, A.S.; Nutrizio, M.; Jambrak, A.R.; Munekata, P.E.S.; Lorenzo, J.M.; Barba, F.J.; Binelloe, A.; Cravotto, G. A review of sustainable and intensified techniques for extraction of food and natural products. Green Chem. 2020, 22, 2325. [Google Scholar] [CrossRef]
- Cvjetko Bubalo, M.; Vidović, S.; Radojčić Redovniković, I.; Jokić, S. Green solvents for green technologies. J. Chem. Technol. Biotechnol. 2015, 90, 1631–1639. [Google Scholar] [CrossRef]
- Paiva, P.; Craveiro, R.; Aroso, I.; Martins, M.; Reis, R.L.; Duarte, A.R.C. Natural deep eutectic solvents–solvents for the 21st century. Acs Sustain. Chem. Eng. 2014, 2, 1063–1071. [Google Scholar] [CrossRef]
- Di Gioia, M.L.; Cassano, R.; Costanzo, P.; Herrera Cano, N.; Maiuolo, L.; Nardi, M.; Nicoletta, F.P.; Oliverio, M.; Procopio, A. Green Synthesis of Privileged Benzimidazole Scaffolds Using Active Deep Eutectic Solvent. Molecules 2019, 24, 2885. [Google Scholar] [CrossRef] [PubMed]
- Di Gioia, M.L.; Nardi, M.; Costanzo, P.; De Nino, A.; Maiuolo, L.; Oliverio, M.; Procopio, A. Biorenewable deep eutectic solvent for selective and scalable conversion of furfural into cyclopentenone derivatives. Molecules 2018, 23, 1891. [Google Scholar] [CrossRef] [PubMed]
- Di Gioia, M.L.; Costanzo, P.; De Nino, A.; Maiuolo, L.; Nardi, M.; Olivito, F.; Procopio, A. Simple and efficient Fmoc removal in ionic liquid. RSC Adv. 2017, 7, 36482–36491. [Google Scholar] [CrossRef]
- Perna, F.M.; Vitale, P.; Capriati, V. Deep eutectic solvents and their applications as green solvents. Curr. Opin. Green Sustain. Chem. 2020, 21, 27–33. [Google Scholar] [CrossRef]
- Gertrudes, A.; Craveiro, R.; Eltayari, Z.; Reis, R.L.; Paiva, A.; Duarte, A.R.C. How Do Animals Survive Extreme Temperature Amplitudes? The Role of Natural Deep Eutectic Solvents. ACS Sustain. Chem. Eng. 2017, 5, 9542–9553. [Google Scholar] [CrossRef]
- Radošević, K.; Ćurko, N.; Srček, V.G.; Bubalo, M.C.; Tomašević, M.; Ganić, K.K.; Redovniković, I.R. Natural deep eutectic solvents as beneficial extractants for enhancement of plant extracts bioactivity. LWT Food Sci. Technol. 2016, 73, 45. [Google Scholar] [CrossRef]
- Young, H.C.; van Spronsen, J.; Dai, Y.; Verberne, M.; Hollmann, F.; Arends Isabel, W.C.E.; Verpoorte, R. Are natural deep eutectic solvents the missing link in understanding cellular metabolism and physiology? Plant Physiol. 2011, 156, 1701–1705. [Google Scholar]
- Francisco, M.; Van den Bruinhorst, A.; Kroon, M. Low-Transition-Temperature Mixtures (LTTMs): A New Generation of Designer Solvents. Angew. Chem. Int. Edit. 2013, 52, 3074–3085. [Google Scholar] [CrossRef] [PubMed]
- Henni, V.; Dai, Y.; Wilson, E.G.; Verpoorte, R.; Choi, Y.H.; Verpoorte, R. Green solvents from ionic liquids and deep eutectic solvents to natural deep eutectic solvents. C. R. Chim. 2018, 21, 628–638. [Google Scholar]
- Chemat, F.; Abert Vian, M.; Ravi, H.K.; Khadhraoui, B.; Hilali, S.; Perino, S.; Fabiano, A.S.T. Review of Alternative Solvents for Green Extraction of Food and Natural Products: Panorama, Principles, Applications and Prospects. Molecules 2019, 24, 3007. [Google Scholar] [CrossRef] [PubMed]
- Daia, Y.; van Spronsenb, J.; Witkamp, G.J.; Verpoorte, R.; Choia, Y.H. Natural deep eutectic solvents as new potential media for green Technology. Anal. Chim. Acta 2013, 766, 61–68. [Google Scholar] [CrossRef] [PubMed]
- Lakka, A.; Grigorakis, S.; Karageorgou, I.; Batra, G.; Kaltsa, O.; Bozinou, E.; Lalas, S.; Makris, D.P. Saffron Processing Wastes as a Bioresource of High-Value Added Compounds: Development of a Green Extraction Process for Polyphenol Recovery Using a Natural Deep Eutectic Solvent. Antioxidants 2019, 8, 586. [Google Scholar] [CrossRef] [PubMed]
- García, A.; Rodríguez-Juan, E.; Rodríguez-Gutiérrez, G.; Rios, J.J.; Fernández-Bolaños, J. Extraction of phenolic compounds from virgin olive oil by deep eutectic solvents (DESs). Food Chem. 2016, 197, 554–561. [Google Scholar]
- Ruesgas-Ramón, M.; Figueroa-Espinoza, M.C.; Durand, E. Application of Deep Eutectic Solvents (DES) for Phenolic Compounds Extraction: Overview, Challenges, and Opportunities. J. Agric. Food Chem. 2017, 65, 3591–3601. [Google Scholar] [CrossRef] [PubMed]
- Gu, T.; Zhang, M.; Tan, T.; Chen, J.; Li, Z.; Zhang, Q.; Qiu, H. Deep eutectic solvents as novel extraction media for phenolic compounds from model oil. Chem. Commun. 2014, 50, 11749–11752. [Google Scholar] [CrossRef] [PubMed]
- Rafiee, Z.; Jafari, S.M.; Alami, M.; Khomeiri, M. Microwave-assisted extraction of phenolic compounds from olive leaves; a comparison with maceration. J. Anim. Plant Sci. 2011, 21, 738–745. [Google Scholar]
- Li, H.; Yao, W.; Liu, Q.; Xu, J.; Bao, B.; Shan, M.; Cao, Y.; Cheng, F.; Ding, A.; Zhang, L. Application of UHPLC-ESI-Q-TOF-MS to identify multiple constituents in processed products of the herbal medicine Ligustri Lucidi Fructus. Molecules 2017, 22, 689. [Google Scholar] [CrossRef] [PubMed]
- Tzima, K.; Brunton, N.P.; Rai, D.K. Qualitative and quantitative analysis of polyphenols in Lamiaceae plants—A Review. Plants 2018, 7, 25. [Google Scholar] [CrossRef] [PubMed]
- Abu-Reidah, I.M.; Arráez-Román, D.; Quirantes-Piné, R.; Fernández-Arroyo, S.; Segura-Carretero, A.; Fernández-Gutiérrez, A. HPLC–ESI-Q-TOF-MS for a comprehensive characterization of bioactive phenolic compounds in cucumber whole fruit extract. Food Res. Int. 2012, 46, 108–117. [Google Scholar] [CrossRef]
- Yao, X.-H.; Zhang, D.-Y.; Duan, M.-H.; Cui, Q.; Xu, W.-J.; Luo, M.; Li, C.-Y.; Zu, Y.-G.; Fu, Y.-J. Preparation and determination of phenolic coumpounds from Pyrola Incarnata Fisch. with a green polyols based-deep eutectic solvent. Sep. Purif. Technol. 2015, 149, 116–123. [Google Scholar] [CrossRef]
- Chanioti, S.; Tzia, C. Extraction of phenolic compounds from olive pomace by using natural deep eutectic solvents and innovative extraction techniques. Innov. Food Sci. Emerg. 2018, 48, 228–239. [Google Scholar] [CrossRef]
- Dai, Y.; Witkamp, G.J.; Verpoorte, R.; Choi, Y.T. Tailoring properties of natural deep eutectic solvents with water to facilitate their applications. Food Chem. 2015, 187, 14–19. [Google Scholar] [CrossRef] [PubMed]



| Composition HBA: HBD | Molar Ratio | Water Addition (%) | Acronym | Physical Aspect Color |
|---|---|---|---|---|
| ChCl: Urea | 1:2 | 0 | NADES-1 | Colorless transparent oil |
| ChCl: Urea | 1:2 | 20 | NADES-1-W | Colorless transparent oil |
| ChCl: Glycerol | 1:1 | 0 | NADES-2 | Colorless transparent oil |
| ChCl: Glycerol | 1:1 | 20 | NADES-2-W | Colorless transparent oil |
| ChCl: Lactic acid | 1:1 | 0 | NADES-3 | Colorless transparent oil |
| ChCl: Lactic acid | 1:1 | 20 | NADES-3-W | Colorless transparent oil |
| ChCl: Ethylene glycol | 1:1 | 0 | NADES-4 | Colorless transparent oil |
| ChCl: Ethylene glycol | 1:1 | 20 | NADES-4-W | Colorless transparent oil |
| ChCl: Citric acid | 1:1 | 0 | NADES-5 | Pale yellow semisolid |
| ChCl: Citric acid | 1:1 | 20 | NADES-5-W | Pale yellow oil |
| Compound | Htytrosol | Tyrosol | Demethyloleuropein | Oleuropein | 3,4-DHPEA-EDA | Isomer Oleuropein | 3,4-DHPEA-EA |
|---|---|---|---|---|---|---|---|
![]() | ![]() | ![]() | ![]() | ![]() | ![]() | ![]() | |
| r.t. min | 2.47 | 2.95 | 3.36 | 3.89 | 3.97 | 4.03 | 5.10 |
| Formula | C8H10O3 | C8H10O2 | C24H30O13 | C25H32O13 | C17H20O6 | C25H32O13 | C19H22O8 |
| Theorical m/z | 154.0630 | 138.0681 | 526.1686 | 540.1843 | 320.1260 | 540.1843 | 378.1315 |
| Measured m/z | 154.0634 | 138.0673 | 526.1670 | 540.1828 | 320.1253 | 540.1833 | 378.1309 |
| MS spectrum peak list | 177.0511 (M+Na)+ | 139.0744 (M+H)+ 161.0576 (M+Na)+ | 527.1760 (M+H)+ 549.1557 (M+Na)+ | 563.1726 (M+Na)+ | 343.1138 (M+H)+ | 563.1727 (M+Na)+ | 401.1200 (M+Na)+ |
| Fresh Leaves | NADES-4, NADES-5 | NADES-3, NADES-4, NADES-5 | NADES-1 | NADES-1, NADES-2, NADES-3, NADES-4 | NADES-3, NADES-4, NADES-5 | NADES-1, NADES-2, NADES-3, NADES-4 | NADES-2, NADES-3, NADES-4, NADES-5 |
| Dried Leaves | NADES-2, NADES-4, NADES-5 | NADES-2, NADES-3 | NADES-4 | NADES-2, NADES-3, NADES-4 | NADES-2, NADES-3, NADES-4 | NADES-2 |
| Solvent | Oleuropein [ppm] b | |
|---|---|---|
| NADES-1 | Fresh Leaves | ND |
| Dried Leaves | ND | |
| NADES-2 | Fresh Leaves | 333.73 ± 0.17 |
| Dried Leaves | 416.08 ± 0.15 | |
| NADES-3 | Fresh Leaves | 86.30 ± 1.12 |
| Dried Leaves | 126.51 ± 0.10 | |
| NADES-4 | Fresh Leaves | ND |
| Dried Leaves | 72.97 ± 0.05 | |
| NADES-5 | Fresh Leaves | ND |
| Dried Leaves | ND | |
| Water | Fresh Leaves | ND |
| Dried Leaves | 174.47 ± 0.42 |
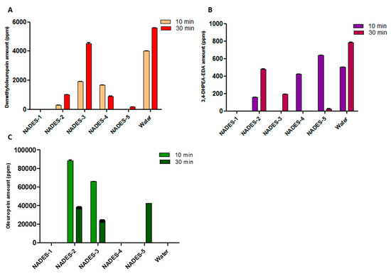
| Solvent | Time (min) | Demethyloleuropein [ppm] b | 3,4-DHPEA-EDA [ppm] b | Oleuropein [ppm] b |
|---|---|---|---|---|
| NADES-1 | 10 | ND | ND | ND |
| 30 | ND | ND | ND | |
| NADES-2 | 10 | 284.67 ± 1.13 | 156.64 ± 1.81 | 88320.90 ± 38.03 |
| 30 | 1019.84 ± 0.53 | 480.60 ± 0.55 | 37602.42 ± 1.21 | |
| NADES-3 | 10 | 1918.761 ± 1.88 | ND | 52643.39 ± 51.7 |
| 30 | 4527.07 ± 18.19 | 193.15 ± 0.55 | 23338.72 ± 10.50 | |
| NADES-4 | 10 | 1655.97 ± 2.03 | 420.92 ± 1.92 | ND |
| 30 | 903.79 ± 2.15 | ND | ND | |
| NADES-5 | 10 | ND | 637.06 ± 1.74 | ND |
| 30 | 174.95 ± 0.93 | 25.69 ± 1.73 | 42534.86 ± 12.12 | |
| Water | 10 | 4000.52 ± 2.15 | 503.05 ± 1.31 | ND |
| 30 | 5602.64 ± 8.72 | 783.25 ± 3.23 | ND |
| Solvent | Time min. | Demethyloleuropein [ppm] b | 3,4-DHPEA-EDA [ppm] b |
|---|---|---|---|
| NADES-1-W | 10 | ND | ND |
| 30 | ND | ND | |
| NADES-2-W | 10 | 1309.518 ± 2.124 | 198.3333 ± 0.994 |
| 30 | 869.8605 ± 3.384 | 254.4684 ± 1.384 | |
| NADES-3-W | 10 | 567.562 ± 1.158 | 469.912 ± 2.143 |
| 30 | 338.0844 ± 2.964 | 438.5344 ± 1.951 | |
| NADES-4-W | 10 | 303.2958 ± 3.121 | 154.5307 ± 1.005 |
| 30 | 241.5935 ± 4.001 | 105.9052± 1.805 | |
| NADES-5-W | 10 | 1303.292 ± 2.021 | ND |
| 30 | 2125.9 ± 1.976 | ND |
© 2020 by the authors. Licensee MDPI, Basel, Switzerland. This article is an open access article distributed under the terms and conditions of the Creative Commons Attribution (CC BY) license (http://creativecommons.org/licenses/by/4.0/).
Share and Cite
Bonacci, S.; Di Gioia, M.L.; Costanzo, P.; Maiuolo, L.; Tallarico, S.; Nardi, M. Natural Deep Eutectic Solvent as Extraction Media for the Main Phenolic Compounds from Olive Oil Processing Wastes. Antioxidants 2020, 9, 513. https://doi.org/10.3390/antiox9060513
Bonacci S, Di Gioia ML, Costanzo P, Maiuolo L, Tallarico S, Nardi M. Natural Deep Eutectic Solvent as Extraction Media for the Main Phenolic Compounds from Olive Oil Processing Wastes. Antioxidants. 2020; 9(6):513. https://doi.org/10.3390/antiox9060513
Chicago/Turabian StyleBonacci, Sonia, Maria Luisa Di Gioia, Paola Costanzo, Loredana Maiuolo, Sofia Tallarico, and Monica Nardi. 2020. "Natural Deep Eutectic Solvent as Extraction Media for the Main Phenolic Compounds from Olive Oil Processing Wastes" Antioxidants 9, no. 6: 513. https://doi.org/10.3390/antiox9060513
APA StyleBonacci, S., Di Gioia, M. L., Costanzo, P., Maiuolo, L., Tallarico, S., & Nardi, M. (2020). Natural Deep Eutectic Solvent as Extraction Media for the Main Phenolic Compounds from Olive Oil Processing Wastes. Antioxidants, 9(6), 513. https://doi.org/10.3390/antiox9060513








