Antioxidant Activity of Thyme Waste Extract in O/W Emulsions
Abstract
1. Introduction
2. Material and Methods
2.1. Materials
2.2. Plant Extract
2.3. Chemical Composition of Thyme Waste Extract
2.4. Total Phenolics, Flavones, Flavonols, Flavanones, and Dihydroflavonols Content Determination in Thyme Extract
2.5. Antioxidant Activity Determination of Thyme Waste Extract
2.6. Preparation and Storage of O/W Emulsion
2.7. Viscosity Studies
2.8. Peroxide Content Determination
2.9. Lipid Oxidation Products in Formulated Emulsions
2.10. Experimental Design and Statistical Analysis
3. Results and Discussion
3.1. GC–MS Analysis of Thyme Waste Extract
3.2. Polyphenol Contents and Antioxidant Activity
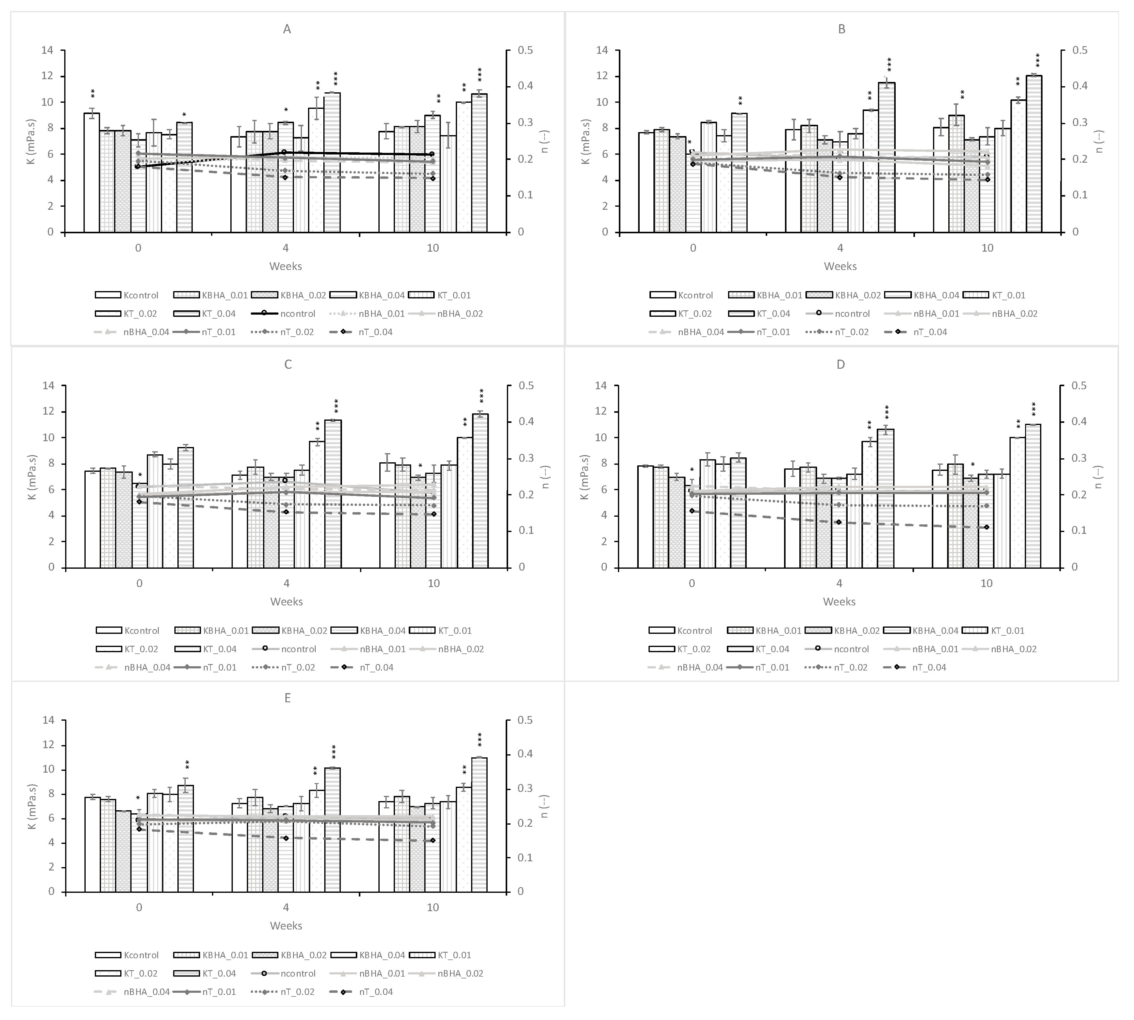
3.3. Viscosity of O/W Emulsion
3.4. Peroxide Content Determination
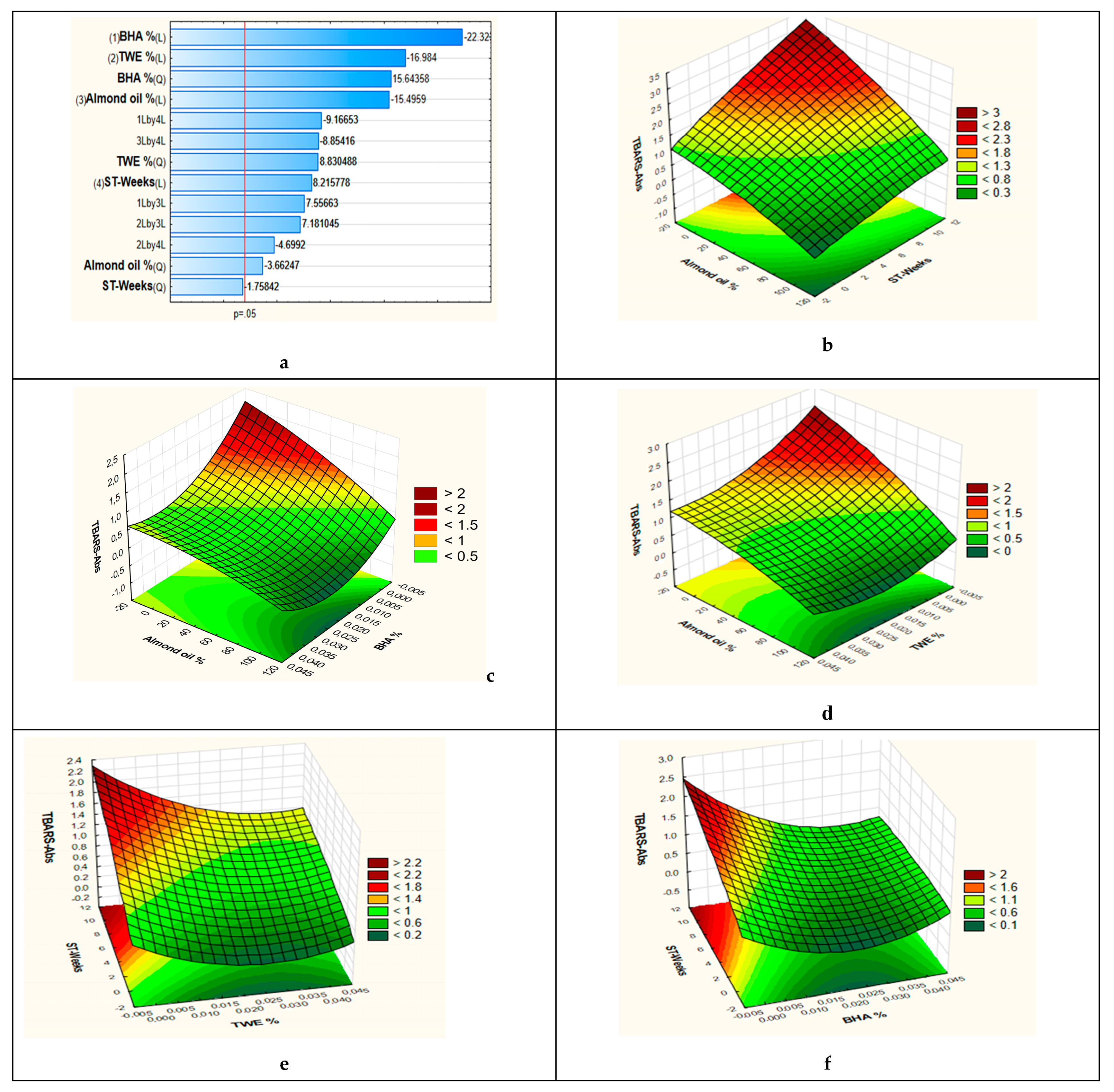
3.5. Secondary Lipid Oxidation Products in Formulated Emulsions
4. Conclusions
Supplementary Materials
Author Contributions
Funding
Acknowledgments
Conflicts of Interest
References
- Serdaroğlu, M.; Öztürk, B.; Kara, A. An overview of food emulsions of food emulsions: Description, classification and recent potential applications. Turk. J. Agric. Food Sci. Technol. 2015, 3, 430–438. [Google Scholar] [CrossRef][Green Version]
- Linke, C.; Drusch, S. Pickering emulsions in foods–opportunities and limitations. Crit. Rev. Food Sci. Nutr. 2018, 58, 1971–1985. [Google Scholar] [CrossRef] [PubMed]
- Berton-Carabin, C.C.; Ropers, M.H.; Genot, C. Lipid oxidation in oil-in-water emulsions: Involvement of the interfacial layer. Compr. Rev. Food Sci. Food Saf. 2014, 13, 945–977. [Google Scholar] [CrossRef]
- Decker, E.A.; McClements, D.J.; Bourlieu-Lacanal, C.; Durand, E.; Figueroa-Espinoza, M.C.; Lecomte, J.; Villeneuve, P. Hurdles in predicting antioxidant efficacy in oil-in water emulsions. Trends Food Sci. Technol. 2017, 67, 183–194. [Google Scholar] [CrossRef]
- Seppanen, C.M.; Song, Q.; Csallany, S.A. The antioxidant functions of tocopherol and tocotrienol homologues in oils, fats, and food systems. J. Am. Oil Chem. Soc. 2010, 87, 469–481. [Google Scholar] [CrossRef]
- Sharangi, A.B.; Guha, S. Wonders of leafy spices: Medicinal properties ensuring human health. Sci. Int. 2013, 1, 312–317. [Google Scholar] [CrossRef][Green Version]
- Komaki, A.; Hoseini, F.; Shahidi, S.; Baharlouei, N. Study of the effect of extract of Thymus vulgaris on anxiety in male rats. J. Tradit. Complement. Med. 2016, 6, 257–261. [Google Scholar] [CrossRef]
- Pavlić, B.; Bera, O.; Teslić, N.; Vidović, S.; Parpinello, G.; Zeković, Z. Chemical profile and antioxidant activity of sage herbal dust extracts obtained by supercritical fluid extraction. Ind. Crop. Prod. 2018, 120, 305–312. [Google Scholar] [CrossRef]
- Gavarić, N.; Kladar, N.; Mišan, A.; Nikolić, A.; Samojlik, I.; Mimica-Dulić, N.; Božin, B. Postdistillation waste material of thyme (Thymus vulgaris L., Lamiaceae) as a potential source of biologically active compounds. Ind. Crop. Prod. 2015, 74, 457–464. [Google Scholar] [CrossRef]
- Pogačar, M.Š.; Klančnik, A.; Bucar, F.; Langerholc, T.; Možina, S.S. Anti-adhesion activity of thyme (Thymus vulgaris L.) extract, thyme post-distillation waste, and olive (Olea europea L.) leaf extract against Campylobacter jejuni on polystyrene and intestine epithelial cells. J. Sci. Food Agric. 2016, 96, 2723–2730. [Google Scholar] [CrossRef]
- El-Guendouz, S.; Aazza, S.; Lyoussi, B.; Antunes, M.D.; Faleiro, M.L.; Miguel, M.G. Anti-acetylcholinesterase, antidiabetic, anti-inflammatory, antityrosinase and antixanthine oxidase activities of Moroccan propolis. Int. J. Food Sci. Technol. 2016, 51, 1762–1773. [Google Scholar] [CrossRef]
- El-Guendouz, S.; Al-Waili, N.; Aazza, S.; Elamine, Y.; Zizi, S.; Al-Waili, T.; Al-Waili, A.; Lyoussi, B. Antioxidant and diuretic activity of co-administration of Capparis spinosa honey and propolis in comparison to furosemide. Asian Pac. J. Trop. Med. 2017, 10, 974–980. [Google Scholar] [CrossRef] [PubMed]
- Aazza, S.; Lyoussi, B.; Miguel, M.G. Antioxidant activity of some Morrocan hydrosols. J. Med. Plants Res. 2011, 5, 6688–6696. [Google Scholar]
- El-Guendouz, S.; Aazza, S.; Lyoussi, B.; Majdoub, N.; Bankova, V.; Popova, M.; Raposo, S.; Dulce, A.; Miguel, M.G. Effect of poplar-type propolis on oxidative stability and rheological properties of O/W emulsions. Saudi Pharm. J. 2018, 26, 1073–1082. [Google Scholar] [CrossRef] [PubMed]
- Mărculescu, A.; Vlase, L.; Hanganu, D.; Drăgulescu, C.; Iuliana, A.; Neli-Kinga, O. Polyphenols analyses from Thymus species. J. Proc. Rom. Acad. Series B 2007, 3, 117–121. [Google Scholar]
- Köksal, E.; Bursal, E.; Gülçin, İ.; Korkmaz, M.; Çağlayan, C.; Gören, A.C.; Alwasel, S.H. Antioxidant activity and polyphenol content of Turkish thyme (Thymus vulgaris) monitored by liquid chromatography and tandem mass spectrometry. Int. J. Food Prop. 2017, 20, 514–525. [Google Scholar] [CrossRef]
- Sökmen, A.; Gulluce, M.; Akpulat, H.A.; Daferera, D.; Tepe, B.; Polissiou, M.; Sokmen, M.; Sahin, F. The in vitro antimicrobial and antioxidant activities of the essential oils and methanol extracts of endemic Thymus spathulifolius. Food Control 2004, 15, 627–634. [Google Scholar] [CrossRef]
- Gülçin, İ.; Bursal, E.; Şehitoğlu, H.M.; Bilsel, M.; Gören, A.C. Polyphenol contents and antioxidant activity of lyophilized aqueous extract of propolis from Erzurum, Turkey. Food Chem. Toxicol. 2010, 48, 2227–2238. [Google Scholar] [CrossRef] [PubMed]
- Abdul Qadir, M.; Shahzadi, S.K.; Bashir, A.; Munir, A.; Shahzad, S. Evaluation of phenolic compounds and antioxidant and antimicrobial activities of some common herbs. Int. J. Anal. Chem. 2017, 2017, 6. [Google Scholar] [CrossRef]
- Desplanques, S.; Renou, F.; Grisel, M.; Malhiac, C. Impact of chemical composition of xanthan and acacia gums on the emulsification and stability of oil-in-water emulsions. Food Hydrocoll. 2012, 27, 401–410. [Google Scholar] [CrossRef]
- Tirnaksiz, F.; Kalsin, O. Topical w/o/w multiple emulsions prepared with Tetronic 908 as a hydrophilic surfactant: Formulation, characterization and release study. J. Pharm. Pharm. Sci. 2005, 8, 299–315. [Google Scholar] [PubMed]
- Mahmood, T.; Akhtar, N.; Khan, B.; Rasul, A.; Khan, S. Fabrication, physicochemical characterization and preliminary efficacy evaluation of a W/O/W multiple emulsion loaded with 5 % green tea extract. Braz. J. Pharm. Sci. 2013, 49, 341–349. [Google Scholar] [CrossRef]
- Komaiko, J.; McClements, D.J. Optimization of isothermal low-energy nanoemulsion formation: Hydrocarbon oil, non-ionic surfactant, and water systems. J. Colloid Interface Sci. 2014, 425, 59–66. [Google Scholar] [CrossRef] [PubMed]
- Nićiforović, N.; Abramović, H. Sinapic acid and its derivatives: Natural sources and bioactivity. Compr. Rev. Food Sci. Food Saf. 2014, 13, 34–51. [Google Scholar] [CrossRef]
- Shrestha, H.; Bala, R.; Arora, S. Lipid-based drug delivery systems. J. Pharm. 2014, 1–10. [Google Scholar] [CrossRef] [PubMed]
- Gallego, M.; Skowyra, M.; Gordon, M.; Azman, N.; Almajano, M. Effect of leaves of Caesalpinia decapetala on oxidative stability of oil-in-water emulsions. Antioxidants 2017, 6, 19. [Google Scholar] [CrossRef] [PubMed]
- Poyato, C.; Navarro-Blasco, I.; Calvo, M.I.; Cavero, R.Y.; Astiasarán, I.; Ansorena, D. Oxidative stability of O/W and W/O/W emulsions: Effect of lipid composition and antioxidant polarity. Food Res. Int. 2013, 51, 132–140. [Google Scholar] [CrossRef]
- Banias, C.; Oreopoulou, V.; Thomopoulos, C.D. The effect of primary antioxidants and synergists on the activity of plant extracts in lard. J. Am. Oil Chem. Soc. 1992, 69, 520–524. [Google Scholar] [CrossRef]
- Yun, J.M.; Surh, J.H. Fatty acid composition as a predictor for the oxidation stability of Korean vegetable oils with or without induced oxidative stress. Prev. Nutr. Food Sci. 2012, 17, 158–165. [Google Scholar] [CrossRef]




| No. | Retention Time RT (time) | Relative Area Percent (%) | Compounds | m/z (I) |
|---|---|---|---|---|
| 1 | 7.05 | 40.88 | Benzoic acid | 105(100); 179(93); 77(93); 135(82); 51(22); 180(13); 136(11); 73(8); 106(7); 75(7) |
| 2 | 10.93 | 11.89 | trans-Cinnamic acid (TMS) | 131(100); 205(95); 103(95); 161(85); 77(74); 75(75); 145(45); 102(43); 135(25); 73(24) |
| 3 | 11.83 | 17.18 | 4-Hydroxybenzoic acid (2TMS) | 73(100); 267(72); 223(68); 193(46); 268(16); 224(15); 282(14); 75(12); 126(10); 91(10) |
| 4 | 15.16 | 10.34 | p-Coumaric acid (TMS) | 73(100); 293(43); 219(40); 75(30); 249(30); 308(24); 179(11); 294 (10); 74(10); 220(8) |
| 5 | 16.40 | 2.55 | Ferulic acid (2TMS) | 73(100); 338(45); 323(20); 75(34); 308(34); 249(30); 293(30); 59 (13); 219(13); 339(12) |
| 6 | 16.70 | 8.74 | Caffeic acid (TMS) | 73(100); 219(68); 396(38); 191(16); 381(13); 397 (13); 220(12); 75(11); 74(8); 249(7) |
| 7 | 17.37 | 3.71 | Sinapic acid (2TMS) | 73(100); 338(57); 368(45); 75(34); 353(32); 232(25); 279(15); 339(15); 59(14); 249(12) |
| 8 | 21.91 | 0.90 | Quercetin (5TMS) | 73(100); 647(29); 648(16); 649(9); 559(8); 74(7); 75(6); 560(3); 147(3); 575(2) |
| Total * | 96.19 | |||
| * Only the most abundant peaks were identified. | ||||
| I: intensity | ||||
| Phenols (mg EAG/g) | Flavones (mg EQ/g) | Dihydroflavonols (mg EE/g) | DPPH (IC50 mg/mL) | |
| 97.50 ± 3.82 | 0.13 ± 0.01 | 1.76 ± 0.24 | 0.093 ± 0.01 | |
© 2019 by the authors. Licensee MDPI, Basel, Switzerland. This article is an open access article distributed under the terms and conditions of the Creative Commons Attribution (CC BY) license (http://creativecommons.org/licenses/by/4.0/).
Share and Cite
El-Guendouz, S.; Aazza, S.; Anahi Dandlen, S.; Majdoub, N.; Lyoussi, B.; Raposo, S.; Dulce Antunes, M.; Gomes, V.; Graça Miguel, M. Antioxidant Activity of Thyme Waste Extract in O/W Emulsions. Antioxidants 2019, 8, 243. https://doi.org/10.3390/antiox8080243
El-Guendouz S, Aazza S, Anahi Dandlen S, Majdoub N, Lyoussi B, Raposo S, Dulce Antunes M, Gomes V, Graça Miguel M. Antioxidant Activity of Thyme Waste Extract in O/W Emulsions. Antioxidants. 2019; 8(8):243. https://doi.org/10.3390/antiox8080243
Chicago/Turabian StyleEl-Guendouz, Soukaïna, Smail Aazza, Susana Anahi Dandlen, Nessrine Majdoub, Badiaa Lyoussi, Sara Raposo, Maria Dulce Antunes, Vera Gomes, and Maria Graça Miguel. 2019. "Antioxidant Activity of Thyme Waste Extract in O/W Emulsions" Antioxidants 8, no. 8: 243. https://doi.org/10.3390/antiox8080243
APA StyleEl-Guendouz, S., Aazza, S., Anahi Dandlen, S., Majdoub, N., Lyoussi, B., Raposo, S., Dulce Antunes, M., Gomes, V., & Graça Miguel, M. (2019). Antioxidant Activity of Thyme Waste Extract in O/W Emulsions. Antioxidants, 8(8), 243. https://doi.org/10.3390/antiox8080243

