Specific Activity of Superoxide Dismutase in Stallion Seminal Plasma Is Related to Sperm Cryotolerance
Abstract
1. Introduction
2. Materials and Methods
2.1. Experimental Design
2.2. Semen Collection
2.3. Seminal Plasma Collection
2.4. Determination of Enzyme Activities
2.5. Sperm Cryopreservation
2.6. Evaluation of Sperm Concentration
2.7. Evaluation of Sperm Motility
2.8. Evaluation of Sperm Viability
2.9. Statistical Analyses.
3. Results
3.1. Classification of Ejaculates into Good (GFE) or Poor Freezability (PFE)
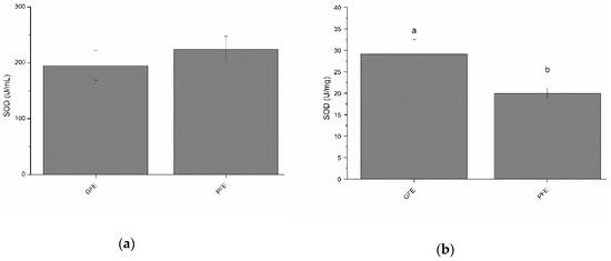
3.2. Activity of Superoxide Dismutase in Seminal Plasma of Good and Poor Freezability Ejaculates
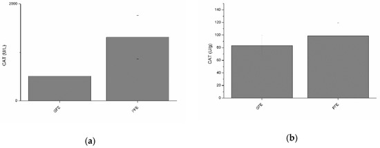
3.3. Activity of Catalase in Seminal Plasma of Good and Poor Freezability Ejaculates
3.4. Activity of Glutathione Peroxidase in Seminal Plasma of Good and Poor Freezability Ejaculates
3.5. Activity of Glutathione Reductase in Seminal Plasma of Good and Poor Freezability Ejaculates
4. Discussion
5. Conclusions
Author Contributions
Funding
Acknowledgments
Conflicts of Interest
References
- Alvarenga, M.A.; Papa, F.O.; Neto, C.R. Advances in stallion semen cryopreservation. Vet. Clin. N. Am. Equine Pract. 2016, 32, 521–530. [Google Scholar] [CrossRef] [PubMed]
- Aitken, R.J.; De Iuliis, G.N.; Drevet, J.R. Role of oxidative stress in the etiology of male infertility and the potential therapeutic value of antioxidants. In Oxidants, Antioxidants and Impact of the Oxidative Status in Male Reproduction; Henkel, R., Samanta, L., Agarwal, A., Eds.; Elsevier Inc.: London, UK, 2019; pp. 91–100. [Google Scholar]
- Sieme, H.; Oldenhof, H.; Wolkers, W.F. Sperm membrane behaviour during cooling and cryopreservation. Reprod. Domest. Anim. 2015, 50, 20–26. [Google Scholar] [CrossRef] [PubMed]
- Loomis, P.R.; Graham, J.K. Commercial semen freezing: Individual male variation in cryosurvival and the response of stallion sperm to customized freezing protocols. Anim. Reprod. Sci. 2008, 105, 119–128. [Google Scholar] [CrossRef]
- Amann, R.P.; Pickett, B.W. Principles of cryopreservation and a review of cryopreservation of stallion spermatozoa. J. Equine Vet. Sci. 1987, 7, 145–173. [Google Scholar] [CrossRef]
- Aurich, J.E.; Kühne, A.; Hoppe, H.; Aurich, C. Seminal plasma affects membrane integrity and motility of equine spermatozoa after cryopreservation. Theriogenology 1996, 46, 791–797. [Google Scholar] [CrossRef]
- Kareskoski, M.; Reilas, T.; Andersson, M.; Katila, T. Motility and plasma membrane integrity of spermatozoa in fractionated stallion ejaculates after storage. Reprod. Domest. Anim. 2006, 41, 33–38. [Google Scholar] [CrossRef]
- Neuhauser, S.; Gösele, P.; Handler, J. Postthaw addition of autologous seminal plasma improves sperm motion characteristics in fair and poor freezer stallions. J. Equine Vet. Sci. 2019, 72, 117–123. [Google Scholar] [CrossRef]
- Al-Essawe, E.; Wallgren, M.; Wulf, M.; Aurich, C.; Macías-García, B.; Sjunnesson, Y.; Morrell, J. Seminal plasma influences the fertilizing potential of cryopreserved stallion sperm. Theriogenology 2018, 115, 99–107. [Google Scholar] [CrossRef]
- Rodríguez-Martínez, H.; Kvist, U.; Ernerudh, J.; Sanz, L.; Calvete, J.J. Seminal plasma proteins: What tole do they play? Am. J. Reprod. Immunol. 2011, 66, 11–22. [Google Scholar] [CrossRef]
- Katila, T.; Kareskoski, M. Components of stallion seminal plasma and their influence on spermatozoa. Anim. Reprod. Sci. 2006, 107, 249–256. [Google Scholar] [CrossRef]
- Moore, A.I.; Squires, E.L.; Graham, J.K. Effect of seminal plasma on the cryopreservation of equine spermatozoa. Theriogenology 2005, 63, 2372–2381. [Google Scholar] [CrossRef] [PubMed]
- Chatterjee, S.; Gagnon, C. Production of reactive oxygen species by spermatozoa undergoing cooling, freezing, and thawing. Mol. Reprod. Dev. 2001, 59, 451–458. [Google Scholar] [CrossRef] [PubMed]
- Papas, M.; Arroyo, L.; Bassols, A.; Catalán, J.; Bonilla-Correal, S.; Gacem, S.; Yeste, M.; Miró, J. Activities of antioxidant seminal plasma enzymes (SOD, CAT, GPX and GSR) are higher in jackasses than in stallion and are correlated with sperm motility in jackasses. Theriogenology 2019, 140, 180–187. [Google Scholar] [CrossRef] [PubMed]
- Gebauer, M.R.; Pickett, B.W.; Faulkner, L.C.; Remmenga, E.E.; Berndtson, W.E. Reproductive physiology of the stallion. VII: Chemical characyeristics of seminal plasma and spermatozoa. J. Anim. Sci. 1976, 43, 626–632. [Google Scholar] [CrossRef] [PubMed]
- Kareskoski, M.; Katila, T. Components of stallion seminal plasma and the effects of seminal plasma on sperm longevity. Anim. Reprod. Sci. 2008, 107, 249–256. [Google Scholar] [CrossRef]
- Maehly, A.C.; Chance, B. The assays of catalases and peroxidases. In Methods of Biochemical Analysis; Glick, D., Ed.; Intersciences Publishers, Inc.: New York, NY, USA, 1954; Volume 1, pp. 362–379. [Google Scholar]
- Aebi, H.E. Catalase. In Methods of Enzymatic Analysis, 3rd ed.; Bergmeyer, H.U., Ed.; Verlag Chemie: Weinhem, Germany, 1978; Volume 3, p. 273. [Google Scholar]
- Robinson, P. Enzymes: Principles and biotechnological applications. Essays Biochem. 2015, 59, 1–41. [Google Scholar] [CrossRef]
- Mann, T.; Lutwak_Mann, L. Male reproductive function and semen. In Themes and Trends in Physiology, Biochemistry, and Investigative Andrology; Mann, T., Lutwak_Mann, L., Eds.; Springer: Berlin, Germany, 1981; pp. 1–37. [Google Scholar]
- Baumber, J.; Ball, B.A. Determination of glutathione peroxidase and superoxide dismutase-like activities in equine spermatozoa, seminal plasma, and reproductive tissues. Am. J. Vet. Res. 2005, 66, 1415–1419. [Google Scholar] [CrossRef]
- Ighodaro, O.M.; Akinloye, O.A. First line defence antioxidants-superoxide dismutase (SOD), catalase (CAT) and glutathione peroxidase (GPX): Their Fundamental role in the entire antioxidant defence grid. Alex. J. Med. 2017, 54, 287–293. [Google Scholar] [CrossRef]
- Macías-García, B.; González-Fernández, L.; Gallardo-Bolaños, J.M.; Peña, F.J.; Johannisson, A.; Morrell, J.M. Androcoll-E large selects a subset of live stallion spermatozoa capable of producing ROS. Anim. Reprod. Sci. 2012, 132, 74–82. [Google Scholar] [CrossRef]
- Morell, J.M.; Kumaresan, A.; Johannisson, A. Practical implications of sperm selection techniques for improving reproduction. Anim. Reprod. 2017, 14, 572–580. [Google Scholar] [CrossRef]
- Barranco, I.; Padilla, L.; Tvarijonaviciute, A.; Parrilla, I.; Martínez, E.A.; Rodriguez-martinez, H.; Yeste, M.; Roca, J. Levels of activity of superoxide dismutase in seminal plasma do not predict fertility of pig AI-semen doses. Theriogenology 2019, 140, 18–24. [Google Scholar] [CrossRef] [PubMed]
- Alvarez, J.G.; Storey, B.T. Evidence for increased lipid peroxidative damage and loss of superoxide dismutase activity as a mode of sublethal cryodamage to human sperm during cryopreservation. J. Androl. 1992, 13, 232–241. [Google Scholar] [PubMed]
- Buffone, M.G.; Calamera, J.C.; Brugo-Olmedo, S.; De Vincentiis, S.; Calamera, M.M.; Storey, B.T.; Doncel, G.F.; Alvarez, J.G. Superoxide dismutase content in sperm correlates with motility recovery after thawing of cryopreserved human spermatozoa. Fertil. Steril. 2012, 97, 293–298. [Google Scholar] [CrossRef] [PubMed]
- Lasso, J.M.; Noiles, E.E.; Alvarez, J.G.; Storey, B.T. Mechanism of superoxide dismutase from human sperm cells during cryopreservation. J. Androl. 1994, 15, 255–265. [Google Scholar]
- Heise, A.; Kähn, W.; Volkmann, D.H.; Thompson, P.N.; Gerber, D. Influence of seminal plasma on fertility of fresh and frozen-thawed stallion epididymal spermatozoa. Anim. Reprod. Sci. 2010, 118, 48–53. [Google Scholar] [CrossRef]
- Ball, B.A.; Gravance, C.G.; Medina, V.; Baumber, J.; Liu, I.K.M. Catalase activity in equine semen. Am. J. Vet. Res. 2000, 61, 1026–1030. [Google Scholar] [CrossRef]
- Aitken, R.J.; Buckingham, D.; Harkiss, D. Use of xanthine oxidase free radical generating system to investigate the cytotoxic effects of reactive species on human spermatozoa. Reproduction 1993, 93, 441–450. [Google Scholar] [CrossRef]
- Baiardi, G.; Ruiz, R.D.; Fiol de Cuneo, M.; Ponce, A.A.; Lacuara, J.L.; Vicent, L. Differential effects of pharmacologically generated reactive oxygen species upon functional activity of epididymal mouse spermatozoa. Can. J. Physiol. Pharmacol. 1997, 75, 173–178. [Google Scholar] [CrossRef]
- Guthrie, H.D.; Welch, G.R. Determination of intracellular reactive oxygen species and high mitochondrial membrane potential in Percoll-treated viable boar sperm using fluorescence-activated flow cytometry. J. Anim. Sci. 2006, 84, 2089–2100. [Google Scholar] [CrossRef]
- Baumber, J.; Ball, B.A.; Gravance, C.G.; Medina, V.; Davies-Morel, M.C.G. The effect of reactive oxygen species on equine sperm motility, viability, acrosomal integrity, mitochondrial membrane potential, and membrane lipid peroxidation. J. Androl. 2000, 21, 895–902. [Google Scholar]
- Jeulin, C.; Soufir, J.C.; Weber, P.; Laval-Martin, D.; Calvayrac, R. Catalase activity in human spermatozoa and seminal plasma. Gamete Res. 1989, 24, 185–196. [Google Scholar] [CrossRef] [PubMed]
- Waheed, M.M.; El-Bahr, S.M.; Al-haider, A.K. Influence of seminal plasma antioxidants and osteopontin on fertility of the Arabian horse. J. Equine Vet. Sci. 2013, 33, 705–709. [Google Scholar] [CrossRef]
- Bustamante-Filho, I.C.; Pederzolli, C.D.; Sgaravatti, A.M.; Mattos, R.C.; Dutra-Filho, C.S.; Jobim, M.I.M. Activity of glutathione peroxidase and catalase in stallion semen during cryopreservation. Anim. Reprod. Sci. 2006, 94, 70–73. [Google Scholar]
- Makarova, N.P.; Romanov, Y.A.; Dolgushina, N.V.; Parker, M.M.; Krasnyi, A.M. Comparative analysis of the expression of glutathione peroxidase and glutathione reductase genes in human sperm after cryopreservation. Bull. Exp. Biol. Med. 2018, 165, 166–170. [Google Scholar] [CrossRef] [PubMed]
- Li, J.; Barranco, I.; Tvarijonaviciute, A.; Molina, M.F.; Martinez, A.A.; Rodriguez-Martinez, H.; Parrilla, I.; Roca, J. Seminal plasma antioxidants are directly involved in boar sperm cryotolerance. Theriogenology 2018, 107, 27–35. [Google Scholar] [CrossRef] [PubMed]
- Zura Zaja, I.; Samardzija, M.; Vince, S.; Sluganovi, A.; Strelec, S.; Suran, J.; DelVechio, I.; Duricic, D.; Ostovi, M.; Valpotic, H.; et al. Antioxidant protection and lipid peroxidation in testes and different parts of epididymis in boars. Theriogenology 2016, 86, 2194–2201. [Google Scholar] [CrossRef] [PubMed]
- Ball, B.A.; Vo, A.T.; Baumber, J. Generation of reactive oxygen species by equine spermatozoa. Am. J. Vet. Res. 2001, 62, 508–515. [Google Scholar] [CrossRef]
- Ortega-Ferrusola, C.; Sotillo-Galán, Y.; Varela-Fernández, E.; Gallardo-Bolaños, J.M.; Muriel, A.; González-Fernández, L.; Tapia, J.A.; Peña, F.J. Detection of ‘apoptosis-like’ changes during the cryopreservation process in equine sperm. J. Androl. 2008, 29, 213–221. [Google Scholar] [CrossRef]
- Yeste, M.; Estrada, E.; Rocha, L.G.; Marín, H.; Rodríguez-Gil, J.E.; Miró, J. Cryotolerance of stallion spermatozoa is related to ROS production and mitochondrial membrane potential rather than to the integrity of sperm nucleus. Andrology 2015, 3, 395–407. [Google Scholar] [CrossRef]
- Recuero, S.; Fernandez-Fuertes, B.; Bonet, S.; Barranco, I.; Yeste, M. Potential of seminal plasma to improve the fertility of frozen-thawed boar spermatozoa. Theriogenology 2019, 137, 36–42. [Google Scholar] [CrossRef]
- Bucci, D.; Giaretta, E.; Spinaci, M.; Rizzato, G.; Isani, G.; Mislei, B.; Mari, G.; Tamanini, C.; Galeati, G. Characterization of alkaline phosphatase activity in seminal plasma and in fresh and frozen-thawed stallion spermatozoa. Theriogenology 2016, 85, 288–295. [Google Scholar] [CrossRef] [PubMed]




| Fresh | Frozen-Thawed | |||
|---|---|---|---|---|
| GFE | PFE | GFE | PFE | |
| PMOT | 45.2 ± 2.9 | 52.3 ± 1.2 | 35.1 ± 1.9 ** | 18.4 ± 1.0 ** |
| TMOT | 81.9 ± 3.8 | 85.6 ± 3.5 | 58.6 ± 2.1 ** | 42.0 ± 1.4 ** |
| VCL | 102.0 ± 4.1 | 96.2 ± 4.5 | 66.3 ± 1.5 | 63.8 ± 2.4 |
| VSL | 53.5 ± 1.7 | 52.9 ± 2.7 | 34.8 ± 1.2 * | 28.0 ± 1.0 * |
| VAP | 75.1 ± 4.6 | 67.5 ± 4.5 | 43.9 ± 2.0 ** | 35.2 ± 1.3 ** |
| LIN | 53.3 ± 3.0 | 55.0 ± 1.4 | 52.6 ± 0.7 ** | 44.0 ± 0.4 ** |
| STR | 73.5 ± 4.5 | 79.2 ± 1.0 | 79.7 ± 1.1 | 79.6 ± 0.7 |
| WOB | 73.4 ± 2.6 | 69.5 ± 1.9 | 66.0 ± 1.5 ** | 55.2 ± 0.1 ** |
| ALH | 2.8 ± 0.2 ** | 3.6 ± 0.1 ** | 2.7 ± 0.0 ** | 3.3 ± 0.1 ** |
| BCF | 10.0 ± 0.7 ** | 12.1 ± 0.5 ** | 11.7 ± 0.5 | 12.3 ± 0.3 |
| Viability | 79.0 ± 1.3 | 77.9 ± 1.8 | 60.0 ± 0.5** | 51.35 ± 2.1 ** |
| SOD (U/mL) | GPX (U/L) | GSR (U/L) | CAT (U/L) | |
|---|---|---|---|---|
| PMOT | −0.44 * | −0.04 | −0.32 | −0.17 |
| TMOT | −0.22 | −0.38 | −0.09 | −0.11 |
| VCL | −0.32 | −0.50 * | 0.24 | −0.11 |
| VSL | −0.33 | −0.44 | 0.02 | −0.35 |
| VAP | −0.37 | −0.41 | 0.19 | −0.23 |
| LIN | −0.23 | −0.22 | −0.22 | −0.48 * |
| STR | 0.25 | 0.16 | −0.81 ** | −0.49 * |
| WOB | −0.31 | −0.25 | 0.07 | −0.29 |
| ALH | 0.18 | −0.13 | 0.29 | 0.44 |
| BCF | 0.29 | −0.15 | −0.62 ** | −0.32 |
| Viability | −0.02 | −0.30 | −0.47 * | 0.06 |
| SOD (U/mg) | GPX (U/g) | GSR (U/g) | CAT (U/g) | |
|---|---|---|---|---|
| PMOT | 0.05 | 0.33 | 0.38 | 0.13 |
| TMOT | 0.50* | 0.08 | 0.49 * | 0.29 |
| VCL | 0.18 | −0.20 | 0.60 ** | 0.27 |
| VSL | 0.50 * | 0.06 | 0.66 ** | 0.11 |
| VAP | 0.37 | 0.03 | 0.73 ** | 0.24 |
| LIN | 0.62 ** | 0.26 | 0.45 | −0.12 |
| STR | 0.33 | 0.18 | -0.67 ** | −0.75 ** |
| WOB | 0.45 | 0.19 | 0.64 ** | 0.13 |
| ALH | −0.40 | −0.48 * | −0.19 | 0.26 |
| BCF | 0.36 | −0.16 | −0.50 * | −0.50 * |
| Viability | 0.46 * | 0.04 | −0.02 | 0.23 |
© 2019 by the authors. Licensee MDPI, Basel, Switzerland. This article is an open access article distributed under the terms and conditions of the Creative Commons Attribution (CC BY) license (http://creativecommons.org/licenses/by/4.0/).
Share and Cite
Papas, M.; Catalán, J.; Fernandez-Fuertes, B.; Arroyo, L.; Bassols, A.; Miró, J.; Yeste, M. Specific Activity of Superoxide Dismutase in Stallion Seminal Plasma Is Related to Sperm Cryotolerance. Antioxidants 2019, 8, 539. https://doi.org/10.3390/antiox8110539
Papas M, Catalán J, Fernandez-Fuertes B, Arroyo L, Bassols A, Miró J, Yeste M. Specific Activity of Superoxide Dismutase in Stallion Seminal Plasma Is Related to Sperm Cryotolerance. Antioxidants. 2019; 8(11):539. https://doi.org/10.3390/antiox8110539
Chicago/Turabian StylePapas, Marion, Jaime Catalán, Beatriz Fernandez-Fuertes, Laura Arroyo, Anna Bassols, Jordi Miró, and Marc Yeste. 2019. "Specific Activity of Superoxide Dismutase in Stallion Seminal Plasma Is Related to Sperm Cryotolerance" Antioxidants 8, no. 11: 539. https://doi.org/10.3390/antiox8110539
APA StylePapas, M., Catalán, J., Fernandez-Fuertes, B., Arroyo, L., Bassols, A., Miró, J., & Yeste, M. (2019). Specific Activity of Superoxide Dismutase in Stallion Seminal Plasma Is Related to Sperm Cryotolerance. Antioxidants, 8(11), 539. https://doi.org/10.3390/antiox8110539

