Effect of Addition of Natural Antioxidants on the Shelf-Life of “Chorizo”, a Spanish Dry-Cured Sausage
Abstract
:1. Introduction
2. Experimental Section
2.1. Extraction of Natural Antioxidants
2.2. Determination of Antioxidant Capacity
2.2.1. Determination of Total Phenolic Content
2.2.2. Trolox Equivalent Antioxidant Capacity (TEAC)
2.2.3. β-Carotene Bleaching Assay
2.2.4. α,α-Diphenyl-β-Picrylhydrazyl (DPPH) Radical Scavenging Activity
2.3. Manufacture of Dry-Cured Sausages
2.4. Determination of pH, Moisture Content, Water Activity and Color Parameters
2.5. Determination of Lipid Oxidation
2.6. Determination of Texture Profile Analysis
2.7. Analysis of Free Fatty Acid Content
2.8. Microbial Analysis
2.9. Statistical Analysis
3. Results and Discussion
3.1. Antioxidant Activity of the Extracts
3.2. Effect of Antioxidants on Physicochemical Parameters during the Manufacturing Process and Vacuum Packaging

| Days | CON | BHT | TEA | CHE | GRA | BER | p-Value | SEM | |||||||||
|---|---|---|---|---|---|---|---|---|---|---|---|---|---|---|---|---|---|
| 200 | 50 | 200 | 1000 | 50 | 200 | 1000 | 50 | 200 | 1000 | 50 | 200 | 1000 | |||||
| L* | 4 | 43.30 e | 44.86 e | 43.79 d | 43.04 c | 42.52 c | 43.94 b | 42.51 b | 43.22 c | 44.61 d | 45.09 d | 42.55 c | 42.34 c | 42.33 c | 43.40 d | 0.186 | 0.23 |
| 19 | 34.30 d,1 | 40.05 d,3 | 41.88 d,3,4 | 43.19 c,4 | 41.16 c,3,4 | 42.49 b,4 | 42.60 b,4 | 41.62 c,3,4 | 42.58 c,d,4 | 41.85 d,3,4 | 35.70 b,1,2 | 36.49 b,2 | 37.11 b,2 | 37.21 c,2 | 0.000 | 0.58 | |
| 48 | 30.46 c,1 | 35.34 c,2–4 | 38.98 c,4 | 36.54 b,3,4 | 32.03 a,b,1,2 | 35.51 a,2–4 | 34.88 a,2,3 | 36.24 b,3,4 | 36.96 a,b,3,4 | 37.36c,34 | 34.70 b,2,3 | 33.47 a,1–3 | 32.13 a,1,2 | 34.56 b,2,3 | 0.008 | 0.49 | |
| 60 | 29.00 b,c,1,2 | 31.68 a,3,4 | 38.32 c,8 | 39.23 b,c,8 | 33.59 b,4,5 | 34.48 a,5,6 | 33.57 a,4,5 | 34.60 a,b,5,6 | 37.55 a,b,7,8 | 35.94 b,c,6,7 | 28.39 a,1 | 31.81 a,3,4 | 31.08 a,2,3 | 29.24 a,1,2 | 0.000 | 0.66 | |
| 120 | 28.63 b,1 | 34.49 b,c,3–5 | 35.58 b,5,6 | 38.40 b,6,7 | 32.93 b,2–5 | 33.54 a,2–5 | 35.06 a,4,5 | 35.01 a,b,4,5 | 39.68 b,c,7 | 33.29 a,b,2–5 | 30.81 a,1,2 | 31.09 a,1–3 | 31.64 a,1–4 | 31.89 a,1–4 | 0.000 | 0.59 | |
| 210 | 26.80 a,1 | 32.84 a,b,2,3 | 31.85 a,2,3 | 31.41 a,2 | 30.38 a,2 | 31.78 a,2,3 | 34.86 a,3 | 32.34 a,2,3 | 34.71 a,3 | 30.52 a,2 | 30.24 a,2 | 31.08 a,2 | 32.04 a,2,3 | 30.04 a,2 | 0.003 | 0.41 | |
| p-value | 0.000 | 0.000 | 0.000 | 0.005 | 0.000 | 0.001 | 0.005 | 0.001 | 0.001 | 0.001 | 0.000 | 0.000 | 0.000 | 0.000 | |||
| SEM | 1.82 | 1.39 | 1.20 | 1.27 | 1.41 | 1.43 | 1.20 | 1.22 | 1.05 | 1.52 | 1.43 | 1.24 | 1.24 | 1.48 | |||
| a* | 4 | 26.17 c,d,2–5 | 27.30 a,b,5 | 26.57 a,3–5 | 25.82 a,1–5 | 24.90 b,c,1,2 | 26.07a,2345 | 25.44 a,1–4 | 24.43 a,b,1 | 26.60 a,3–5 | 26.94 a,4,5 | 24.53 1 | 26.24 2–5 | 25.26 1–3 | 26.17 2–5 | 0.007 | 0.18 |
| 19 | 23.58 a–c,1 | 28.43 b,c,3,4 | 29.43 b,c,4,5 | 29.21 b,4,5 | 26.90 c,2,3 | 29.15 b,4,5 | 29.09 b,c,4,5 | 27.02 b,c,2,3 | 30.51 b,c,5 | 29.80 b,4,5 | 24.37 1 | 26.97 2,3 | 26.80 2,3 | 26.69 2 | 0.000 | 0.39 | |
| 48 | 21.20 a,1 | 25.44 a,b,2–6 | 28.18 a,b,6 | 24.82 a,2–6 | 22.23 a,b,1,2 | 25.93 a,3–6 | 25.46 a,2–6 | 24.27 a,b,1–5 | 27.67 a,b,5,6 | 27.28 a,4–6 | 23.71 1–4 | 24.87 2–6 | 22.73 1–3 | 24.44 1–5 | 0.010 | 0.43 | |
| 60 | 22.61 a,b,1 | 26.57 a,b,3 | 31.88 c,5 | 32.25 c,5 | 26.06 c,2,3 | 26.77 a,b,3 | 26.79 a–c,3 | 25.54 a–c,2,3 | 29.59 a–c,4 | 29.53 b,4 | 23.02 1 | 25.89 2,3 | 26.97 3 | 24.22 1,2 | 0.000 | 0.56 | |
| 120 | 23.94 a–c,1 | 30.42 c,4,5 | 30.73 b,c,4 5 | 32.33 c,5 | 26.07 c,1–3 | 29.16 b,3–5 | 29.90 c,4,5 | 28.07 c,2–4 | 31.91 c,5 | 26.06 a,1–3 | 23.11 1 | 24.60 1 | 24.88 1,2 | 25.23 1,2 | 0.000 | 0.61 | |
| 210 | 24.93 b–d | 24.93 a | 26.17 a | 25.07 a | 20.85 a | 25.00 a | 25.85 a,b | 22.86 a | 27.83 a,b | 26.23 a | 22.80 | 23.59 | 25.12 | 25.25 | 0.066 | 0.39 | |
| p-value | 0.007 | 0.030 | 0.010 | 0.001 | 0.016 | 0.033 | 0.051 | 0.046 | 0.026 | 0.005 | 0.805 | 0.229 | 0.126 | 0.117 | |||
| SEM | 0.59 | 0.62 | 0.67 | 0.99 | 0.72 | 0.54 | 0.60 | 0.59 | 0.60 | 0.47 | 0.39 | 0.43 | 0.51 | 0.32 | |||
| b* | 4 | 32.50 c | 35.10 e | 35.28 c | 33.95 b | 33.93 c | 34.11 c | 34.22 b | 32.84 c | 35.85 c | 37.01 d | 33.15 c | 34.04 d | 33.13 c | 33.92 d | 0.249 | 0.30 |
| 19 | 21.59 b,1 | 30.22 d,3 | 30.91 b,c,3 | 33.06 b,3 | 31.13 c,3 | 32.40 c,3 | 33.77 b,3 | 31.89 c,3 | 33.43 c,3 | 32.99 c,3 | 23.36 b,1,2 | 25.22 c,2 | 26.13 b,2 | 25.06 c,2 | 0.000 | 0.80 | |
| 48 | 19.62 a,b,1 | 23.71 c,1–4 | 30.73 b,c,5 | 23.01 a,1–4 | 20.55 b,1,2 | 25.15 b,1–5 | 26.28 a,2–5 | 25.73 b,2–5 | 28.50 b,4,5 | 27.52 b,3–5 | 24.02 b,1–4 | 22.31 b,c,1–3 | 21.86 a,1–3 | 23.30 b,c,1–4 | 0.014 | 0.66 | |
| 60 | 17.09 a,1,2 | 20.17 a,b,2–4 | 27.84 b,7,8 | 30.03 b,8 | 21.57 b,3–5 | 22.32 a,b,4–6 | 21.64 a,3–5 | 21.88 a,b,3–5 | 25.28 a,b,6,7 | 24.10 a,5,6 | 16.69 a,1 | 18.81 a,b,1–3 | 19.97 a,2–4 | 16.68 a,1 | 0.000 | 0.77 | |
| 120 | 17.82 a,b,1 | 23.45 b,c,2,3 | 26.36 b,3,4 | 28.91 b,4 | 22.37 b,1–3 | 23.58 b,2,3 | 26.30 a,3,4 | 25.45 b,3,4 | 28.97 b,4 | 21.45 a,1–3 | 17.73 a,1 | 19.28 a,b,1,2 | 20.23 a,1,2 | 20.19 a,b,1,2 | 0.001 | 0.76 | |
| 210 | 17.81 a,b | 17.11 a | 19.75 a | 19.87 a | 15.43 a | 18.98 a | 20.62 a | 17.76 a | 21.48 a | 21.73 a | 17.21 a | 16.76 a | 19.38 a | 18.73 a | 0.072 | 0.42 | |
| p-value | 0.000 | 0.000 | 0.003 | 0.002 | 0.000 | 0.000 | 0.013 | 0.003 | 0.002 | 0.000 | 0.000 | 0.000 | 0.001 | 0.000 | |||
| SEM | 1.55 | 1.84 | 1.51 | 1.60 | 1.96 | 1.66 | 1.72 | 1.65 | 1.49 | 1.77 | 1.77 | 1.76 | 1.51 | 1.73 | |||
3.3. Effect of Antioxidants on TPA Analysis during the Manufacturing Process and Vacuum Packaging
| Days | CON | BHT | TEA | CHE | GRA | BER | p-Value | SEM | |||||||||
|---|---|---|---|---|---|---|---|---|---|---|---|---|---|---|---|---|---|
| 200 | 50 | 200 | 1000 | 50 | 200 | 1000 | 50 | 200 | 1000 | 50 | 200 | 1000 | |||||
| Hardness (kg) | 4 | 2.59 a,2–4 | 2.10 a,1–3 | 2.47 a,2,3 | 1.49 a,1 | 2.01 a,1–3 | 1.78 a,1,2 | 2.10 a,1–3 | 1.96 a,1–3 | 2.70 a,3–5 | 2.27 a,1–3 | 3.98 a,6 | 3.36 a,4–6 | 3.46 a,,56 | 3.69 a,6 | 0.000 | 0.15 |
| 19 | 8.66 b,7 | 7.77 b,6,7 | 4.27 b,1–4 | 5.61 b,3–6 | 5.35 b,2–5 | 3.97 b,1–3 | 2.76 a,1 | 2.49 a,1 | 3.12 a,1,2 | 3.51 a,1–3 | 8.73 b,7 | 6.29 a,4–6 | 5.08 a,2–5 | 7.20 b,5–7 | 0.000 | 0.42 | |
| 48 | 17.50 d,7 | 9.84 b,3–5 | 6.89 c,1 | 6.56 b,1 | 8.60 c,2,3 | 7.01 c,1 | 6.97 b,1 | 7.59 b,1,2 | 7.47 b,1,2 | 8.91 b,c,2–4 | 10.30 c,4,5 | 10.30 b,4,5 | 12.00 b,c,6 | 10.52 b,c,5 | 0.000 | 0.55 | |
| 60 | 15.77 c,5 | 9.98 b,3 | 7.78 c,1,2 | 6.82 b,1 | 8.52 c,2 | 7.37 c,1,2 | 7.60 b,1,2 | 7.68 b,1,2 | 7.78 b,1,2 | 7.89 b,1,2 | 11.17 c,3 | 10.91 b,3 | 13.93 c,4 | 10.24 b,3 | 0.000 | 0.50 | |
| 120 | 16.07 c,d,7 | 9.36 b,3–6 | 10.70 d,5,6 | 6.30 b,1 | 8.74 c,2–5 | 7.45 c,1–3 | 8.21 b,1–4 | 7.30 b,1–3 | 7.12 b,1,2 | 9.81 c,4–6 | 11.23 c,6 | 11.29 b,6 | 10.22 b,4–6 | 9.78 b,4–6 | 0.000 | 0.47 | |
| 210 | 16.07 c,d,5 | 9.01 b,12 | 11.27 d,2,3 | 8.58 c,1,2 | 9.57 c,1,2 | 9.22 d,1,2 | 7.78 b,1 | 8.24 b,1 | 9.55 c,1,2 | 9.66 c,1,2 | 12.83 d,3,4 | 14.44 c,4,5 | 13.64 c,3–5 | 13.84 c,3–5 | 0.000 | 0.52 | |
| p-value | 0.000 | 0.001 | 0.000 | 0.000 | 0.005 | 0.000 | 0.000 | 0.000 | 0.000 | 0.000 | 0.000 | 0.001 | 0.000 | 0.005 | |||
| SEM | 1.73 | 0.85 | 0.96 | 0.67 | 0.84 | 0.75 | 0.77 | 0.79 | 0.76 | 0.91 | 0.86 | 1.12 | 1.24 | 0.99 | |||
| Springiness (mm) | 4 | 0.42 b,4 | 0.38 b,3,4 | 0.34 1–3 | 0.36 2,3 | 0.29 1 | 0.33 1,2 | 0.36 d,2,3 | 0.31 1,2 | 0.31 1,2 | 0.30 1,2 | 0.30 1 | 0.30 1,2 | 0.31 1,2 | 0.29 1 | 0.001 | 0.01 |
| 19 | 0.31 a | 0.35 b | 0.28 | 0.31 | 0.30 | 0.33 | 0.32 b,c | 0.33 | 0.32 | 0.31 | 0.35 | 0.32 | 0.32 | 0.36 | 0.390 | 0.01 | |
| 48 | 0.31 a | 0.28 a | 0.31 | 0.29 | 0.27 | 0.28 | 0.29 a,b | 0.30 | 0.29 | 0.34 | 0.30 | 0.35 | 0.33 | 0.32 | 0.246 | 0.01 | |
| 60 | 0.30 a,1–4 | 0.27 a,1,2 | 0.32 2–5 | 0.31 2–5 | 0.26 1 | 0.28 1–3 | 0.28 a,1–3 | 0.34 4,5 | 0.30 1–4 | 0.31 2–5 | 0.291234 | 0.31 2–5 | 0.36 5 | 0.33 3–5 | 0.016 | 0.01 | |
| 120 | 0.31 a | 0.29 a | 0.31 | 0.30 | 0.30 | 0.27 | 0.31 b,c | 0.30 | 0.30 | 0.30 | 0.30 | 0.29 | 0.29 | 0.28 | 0.666 | 0.01 | |
| 210 | 0.31 a,1–3 | 0.29 a,1 | 0.29 1 | 0.29 1 | 0.30 1,2 | 0.32 1–4 | 0.33 c,d,1–4 | 0.31 1–3 | 0.32 1–3 | 0.31 1–3 | 0.33 1–4 | 0.35 2–4 | 0.37 4 | 0.36 3,4 | 0.035 | 0.01 | |
| p-value | 0.000 | 0.001 | 0.074 | 0.318 | 0.190 | 0.376 | 0.007 | 0.410 | 0.625 | 0.649 | 0.218 | 0.424 | 0.130 | 0.069 | |||
| SEM | 0.01 | 0.01 | 0.01 | 0.01 | 0.01 | 0.01 | 0.01 | 0.01 | 0.01 | 0.01 | 0.01 | 0.01 | 0.01 | 0.01 | |||
| Chewiness (kg × mm) | 4 | 0.25 a,3 | 0.14 a,1,2 | 0.14 a,1,2 | 0.18 a,1 | 0.10 a,1 | 0.10 a,1 | 0.15 a,1,2 | 0.09 a,1 | 0.12 a,1,2 | 0.09 a,1 | 0.20 a,2,3 | 0.16 a,1,2 | 0.19 a,2,3 | 0.17 a,1–3 | 0.009 | 0.01 |
| 19 | 0.97 b,4 | 0.62 b,3 | 0.19 a,1 | 0.17 a,b,1,2 | 0.31 a,b,1,2 | 0.22 a,1,2 | 0.21 a,1,2 | 0.18 a,1 | 0.20 a,1,2 | 0.24 a,1,2 | 0.86 b,4 | 0.43 b,2,3 | 0.33 a,b,1,2 | 0.63 b,3 | 0.000 | 0.05 | |
| 48 | 1.29 c,6 | 0.74 b,2,3 | 0.65 b,1,2 | 0.27 b,c,1 | 0.64 b,c,1,2 | 0.53 b,1 | 0.55 b,1 | 0.66 b,1,2 | 0.63 b,1,2 | 0.97 b,4,5 | 0.88 b,3,4 | 1.08 d,5 | 1.04 c,d,4,5 | 0.89 b,3–5 | 0.000 | 0.05 | |
| 60 | 1.11 b,c,5 | 0.65 b,1,2 | 0.75 b,c,1–3 | 0.30 c,,12 | 0.56 a–c,1 | 0.61 b,1,2 | 0.58 b,c,1 | 0.85 c,2–4 | 0.69 b,1,2 | 0.79 b,1–4 | 0.85 b,2–4 | 1.02 d,4,5 | 1.41 d,e,6 | 0.97 b,3–5 | 0.000 | 0.05 | |
| 120 | 1.29 c,4 | 0.75 b,1–3 | 1.01 d,3 | 0.32 c,1,2 | 0.80 c,1–3 | 0.51 b,1 | 0.76 b,c,1–3 | 0.62 b,1,2 | 0.66 b,1,2 | 0.83 b,2,3 | 0.86 b,2,3 | 0.83 c,2,3 | 0.81 b,c,1–3 | 0.77 b,1–3 | 0.003 | 0.04 | |
| 210 | 1.16 b,c,1–3 | 0.72 b,1 | 0.84 c,1,2 | 0.27 c,1 | 0.84 c,1,2 | 0.87 c,1,2 | 0.82 c,1,2 | 0.73 b,1 | 0.98 c,1–3 | 0.87 b,1,2 | 1.33 c,2–4 | 1.48 e,3,4 | 1.69 e,4 | 1.47 c,3,4 | 0.005 | 0.07 | |
| p-value | 0.000 | 0.004 | 0.000 | 0.018 | 0.037 | 0.001 | 0.002 | 0.000 | 0.002 | 0.006 | 0.000 | 0.000 | 0.004 | 0.001 | |||
| SEM | 0.13 | 0.07 | 0.10 | 0.02 | 0.09 | 0.08 | 0.08 | 0.09 | 0.09 | 0.11 | 0.10 | 0.13 | 0.17 | 0.12 | |||
| Gumminess (kg) | 4 | 0.58 a,3–5 | 0.35 a,1–3 | 0.39 a,1–4 | 0.27 a,1 | 0.35 a,1–3 | 0.30 a,1,2 | 0.43 a,1–5 | 0.28 a,1 | 0.41 a,1–4 | 0.30 a,1,2 | 0.67 a,5 | 0.54 a,2–5 | 0.61 a,4,5 | 0.59 a,3–5 | 0.013 | 0.03 |
| 19 | 3.00 b,5 | 1.80 b,3,4 | 0.66 a,1,2 | 0.77 a,1,2 | 1.04 a,b,1,2 | 0.69 a,1,2 | 0.68 a,1,2 | 0.54 a,1 | 0.58 a,1 | 0.78 a,1,2 | 2.41 b,4,5 | 1.33 a,2,3 | 1.05 a,1,2 | 1.85 b,3,4 | 0.000 | 0.15 | |
| 48 | 4.26 c,6 | 2.62 c,3–5 | 2.07 b,1–3 | 1.68 b,1 | 2.34 c,2–4 | 1.87 b,1,2 | 1.89 b,1,2 | 2.19 b,c,1–3 | 2.16 b,1–3 | 2.86 b,4,5 | 2.93 c,5 | 3.14 b,5 | 3.15 b,c,5 | 2.84 b,c,4,5 | 0.000 | 0.13 | |
| 60 | 3.79 c,5 | 2.44 c,1,2 | 2.35 b,1 | 2.05 b,1 | 2.21 b,c,1 | 2.12 b,1 | 2.11 b,1 | 2.52 d,1–3 | 2.30 b,1 | 2.48 b,1,2 | 2.93 c,2–4 | 3.26 b,4 | 3.93 c,d,5 | 3.01 c,3,4 | 0.000 | 0.12 | |
| 120 | 4.23 c,6 | 2.60 c,1–5 | 3.30 d,5 | 2.01 b,1,2 | 2.69 c,2–5 | 1.93 b,1 | 2.46 b,1–4 | 2.08 b,1,2 | 2.20 b,1–3 | 2.83 b,3–5 | 2.94 c,4,5 | 2.95 b,4,5 | 2.82 b,3–5 | 2.81 b,c,3–5 | 0.000 | 0.12 | |
| 210 | 3.76 c,3–5 | 2.47 c,1 | 2.92 c,1–3 | 2.25 b,1 | 2.70 c,1,2 | 2.66 c,1,2 | 2.48 b,1 | 2.36 c,d,1 | 3.09 c,1–4 | 2.74 b,1,2 | 3.98 d,3–5 | 4.28 c,5 | 4.52 d,5 | 4.14 d,4,5 | 0.001 | 0.16 | |
| p-value | 0.000 | 0.000 | 0.000 | 0.002 | 0.012 | 0.000 | 0.001 | 0.000 | 0.000 | 0.000 | 0.000 | 0.000 | 0.000 | 0.002 | |||
| SEM | 0.44 | 0.25 | 0.33 | 0.23 | 0.29 | 0.25 | 0.25 | 0.27 | 0.30 | 0.32 | 0.30 | 0.39 | 0.44 | 0.34 | |||
| Cohesiveness | 4 | 0.23 a,b | 0.17 a | 0.16 a | 0.10 a | 0.18 a | 0.17 a | 0.21 a | 0.16 a | 0.15 a | 0.14 a | 0.17 a | 0.16 a | 0.17 a | 0.16 a | 0.256 | 0.01 |
| 19 | 0.34 c,5 | 0.23 b,2–4 | 0.18 a,1,2 | 0.23 a,1 | 0.20 a,1,2 | 0.18 a,1,2 | 0.22 a,1– | 0.22 b,1–4 | 0.19 a,1,2 | 0.20 a,1,2 | 0.27 b,4 | 0.22 b,1–4 | 0.21 a,1–3 | 0.26 b,3,4 | 0.000 | 0.01 | |
| 48 | 0.24 b | 0.27 b | 0.30 c | 0.48 b | 0.28 b | 0.27 b | 0.28 a,b | 0.30 c | 0.29 b | 0.32 b | 0.29 b | 0.30 c | 0.26 b | 0.27 b | 0.260 | 0.01 | |
| 60 | 0.24 b,1 | 0.25 b,1 | 0.30 c,3–5 | 0.64 b,3–5 | 0.26 b,1,2 | 0.29 b,2–4 | 0.28 a,b,1–3 | 0.33 d,5 | 0.30 b,2–5 | 0.32 b,4,5 | 0.26 b,1,2 | 0.30 c,3–5 | 0.29 b,2–4 | 0.30 b,2–5 | 0.001 | 0.01 | |
| 120 | 0.27 b | 0.28 b | 0.31 c | 0.61 b | 0.31 b | 0.26 b | 0.30 b | 0.29 c | 0.31 b | 0.29 b | 0.26 b | 0.27 c | 0.28 b | 0.29 b | 0.102 | 0.01 | |
| 210 | 0.23 a,b,1 | 0.28 b,1–4 | 0.26 b,1,2 | 0.66 b,1–3 | 0.28 b,1–4 | 0.29 b,2–5 | 0.32 b,4,5 | 0.29 c,2–5 | 0.33 b,5 | 0.29 b,2–5 | 0.31 b,3–5 | 0.30 c,2–5 | 0.33 c,5 | 0.30 b,2–5 | 0.006 | 0.01 | |
| p-value | 0.002 | 0.027 | 0.000 | 0.003 | 0.003 | 0.002 | 0.030 | 0.000 | 0.000 | 0.006 | 0.010 | 0.001 | 0.001 | 0.002 | |||
| SEM | 0.01 | 0.01 | 0.02 | 0.07 | 0.02 | 0.02 | 0.01 | 0.02 | 0.02 | 0.02 | 0.02 | 0.02 | 0.02 | 0.02 | |||
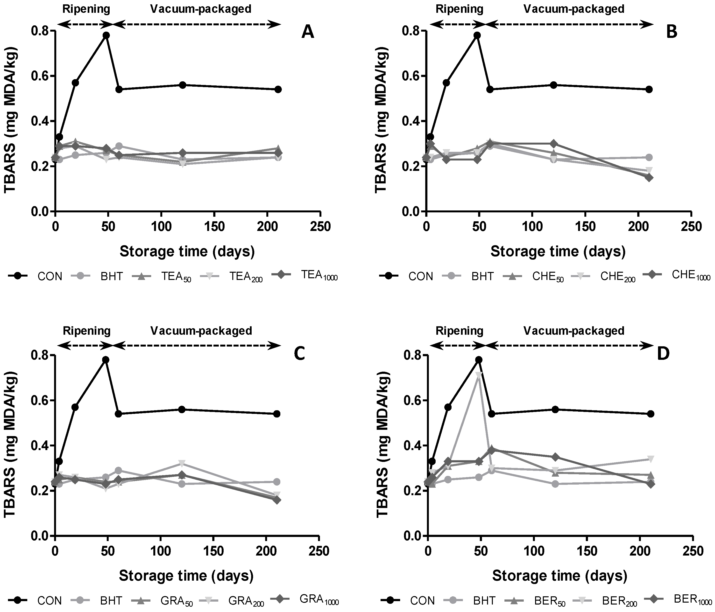
3.4. Effect of Antioxidants on Oxidative Stability during the Manufacturing Process and Vacuum Packaging

3.5. Effect of Antioxidants on Microbial Counts during the Manufacturing Process and Vacuum Packaging
| Days | CON | BHT | TEA | CHE | GRA | BER | p-Value | SEM | |||||||||
|---|---|---|---|---|---|---|---|---|---|---|---|---|---|---|---|---|---|
| 200 | 50 | 200 | 1000 | 50 | 200 | 1000 | 50 | 200 | 1000 | 50 | 200 | 1000 | |||||
| TVC | 4 | 6.35 a,8 | 6.06 a,4,5 | 6.34 a,8 | 5.88 a,2 | 6.12 a,5,6 | 6.11 a,5,6 | 5.97 a,3 | 5.94 a,3 | 6.14 a,6,7 | 6.09 a,4–6 | 6.18 a,7 | 6.12 a,5,6 | 5.72 a,1 | 6.04 a,4 | 0.000 | 0.03 |
| 19 | 8.62 e,8 | 8.38 e,4 | 8.42 d,4,5 | 8.59 c,7,8 | 8.51 d,6 | 8.55 f,6,7 | 8.46 d,5 | 8.22 d,2 | 8.19 c,1,2 | 8.32 e,3 | 8.31 e,3 | 8.21 d,2 | 8.16 c,1 | 8.58 e,7,8 | 0.000 | 0.03 | |
| 48 | 8.55 d,8 | 8.12 c,5–7 | 8.06 b,4 | 7.97 b,3 | 8.08 c,4,5 | 8.10 d,4–6 | 7.88 c,1 | 8.72 f,9 | 8.14 c,6,7 | 8.15 d,7 | 7.91 c,1,2 | 8.10 c,4–6 | 7.95 b,2,3 | 7.99 c,3 | 0.000 | 0.04 | |
| 60 | 9.07 f,8 | 8.24 d,2 | 8.30 c,2 | 8.70d,6 | 8.55 d,4 | 8.28 e,2 | 8.84 e,7 | 8.62 e,5 | 8.43 d,3 | 8.65 f,5,6 | 8.27 e,2 | 8.48 e,3 | 8.46 d,3 | 8.15 d,1 | 0.000 | 0.05 | |
| 120 | 7.61 c,1 | 7.92 b,3 | 8.00 b,4 | 7.90 b,3 | 7.99 c,4 | 7.99 c,4 | 7.87 c,3 | 7.80 b,2 | 7.91 b,3 | 7.61 b,1 | 8.12 d,6 | 8.06 c,5 | 8.13 c,6 | 7.92 b,3 | 0.000 | 0.03 | |
| 210 | 7.47 b,1 | 8.15 c,5 | 9.92 e,6 | 7.91 b,3,4 | 7.88 b,3,4 | 7.92 b,3,4 | 7.73 b,2 | 8.15 c,5 | 7.93 b,4 | 7.81 c,2,3 | 7.85 b,3,4 | 7.86 b,3,4 | 7.93 b,4 | 7.93 b,4 | 0.000 | 0.11 | |
| p-value | 0.000 | 0.000 | 0.000 | 0.000 | 0.000 | 0.000 | 0.000 | 0.000 | 0.000 | 0.000 | 0.000 | 0.000 | 0.000 | 0.000 | |||
| SEM | 0.37 | 0.24 | 0.32 | 0.28 | 0.25 | 0.24 | 0.27 | 0.28 | 0.23 | 0.25 | 0.22 | 0.23 | 0.28 | 0.24 | |||
| LAB | 4 | 6.62 a,2 | 6.91 a,6 | 6.87 a,6 | 6.62 a,2,3 | 7.07 a,7 | 7.11 a,7 | 6.54 a,1 | 6.71 a,4 | 6.78 a,5 | 6.89 a,6 | 6.88 a,6 | 6.55 a,1 | 6.67 a,3,4 | 6.78 a,5 | 0.000 | 0.03 |
| 19 | 7.97 c,6,7 | 7.90 b,c,3,4 | 7.95 c,5,6 | 7.93 b,c,4,5 | 8.00 b,7–9 | 8.00 b,7–9 | 7.95 d,5,6 | 7.84 b,2 | 8.01 b,c,8,9 | 7.90 c,3,4 | 7.86 a,b,2,3 | 7.97 b,6–8 | 7.76 b,1 | 8.03 c,9 | 0.000 | 0.04 | |
| 48 | 8.12 d,6,7 | 8.07 d,5,6 | 8.01 c,4,5 | 8.02 c,d,45 | 8.18 c,7 | 7.97 b,3,4 | 7.80 c,d,2 | 8.57 c,8 | 7.93 b,3 | 7.96 c,3,4 | 7.70 a,b,1 | 8.16 b,7 | 8.03 b,4,5 | 7.84 b,2 | 0.000 | 0.04 | |
| 60 | 11.08 f,8 | 7.96 c,d,1,2 | 7.91 c,1 | 8.06 d,3 | 8.00 b,2,3 | 8.20 b,4,5 | 8.51 e,6 | 8.72 c,7 | 8.23 c,5 | 8.49 d,6 | 8.14 b,4 | 8.05 b,3 | 8.44 c,6 | 8.18 d,4,5 | 0.000 | 0.15 | |
| 120 | 8.32 e,2–4 | 8.32 e,2–4 | 7.95 c,1–4 | 7.85 b,1–3 | 8.51 d,3,4 | 8.50 b,3,4 | 7.34 b,1 | 8.00 b,1–4 | 9.71 d,6 | 7.58 b,c,1,2 | 8.66 b,4,5 | 8.03 b,1–4 | 8.00 b,1–4 | 9.28 e,5,6 | 0.000 | 0.13 | |
| 210 | 7.45 b | 7.75 b | 7.54 b | 7.90 b | 8.22 c | 7.87 b | 7.73 c | 7.94 b | 8.09 b,c | 7.32 a,b | 7.68 a,b | 7.69 b | 8.11 b,c | 7.95 b,c | 0.104 | 0.06 | |
| p-value | 0.000 | 0.000 | 0.001 | 0.000 | 0.000 | 0.038 | 0.000 | 0.000 | 0.000 | 0.002 | 0.042 | 0.003 | 0.000 | 0.000 | |||
| SEM | 0.50 | 0.13 | 0.13 | 0.15 | 0.14 | 0.14 | 0.18 | 0.20 | 0.26 | 0.16 | 0.18 | 0.17 | 0.17 | 0.22 | |||
| Mold/Yeast | 4 | 6.09 d,6 | 5.78 a,3 | 5.86 d,3,4 | 5.67 b,2 | 5.80 b,3 | 6.00 c,5 | 6.44 c,7 | 5.56 c,1 | 5.89 d,4 | 5.89 e,4 | 6.48 e,7 | 5.78 b,3 | 5.94 c,4,5 | 6.13 d,6 | 0.000 | 0.05 |
| 19 | 7.74 e,4 | 7.10 b,1,2 | 7.69 e,3,4 | 7.52 c,2–4 | 7.16 c,1,2 | 7.10 d,1,2 | 7.60 d,3,4 | 7.28 d,1–3 | 7.31 e,1–4 | 7.07 f,1 | 7.38 f,1–4 | 7.05 c,1 | 7.75 e,4 | 7.67 e,3,4 | 0.006 | 0.06 | |
| 48 | 6.17 d,6 | 5.61 a,1 | 5.91 d,4 | 5.71 b,2 | 5.96 b,4 | 5.81 c,3 | 5.91 b,c,4 | 5.73 c,2 | 5.79 d,3 | 5.61 c,1 | 6.19 d,6 | 6.12 b,5 | 6.15 d,5,6 | 6.24 d,7 | 0.000 | 0.04 | |
| 60 | 5.92 c,9 | 5.58 a,6 | 5.20 c,3 | 5.78 b,7,8 | 5.51 b,5 | 5.28 a,b,4 | 5.23 b,3 | 5.31 b,4 | 5.08 b,2 | 4.93 a,1 | 5.78 c,7,8 | 5.89 b,9 | 5.74 b,7 | 5.82 c,8 | 0.000 | 0.06 | |
| 120 | 5.58 b,5 | 5.21 a,3–5 | 4.53 b,1,2 | 5.05 a,b,2–5 | 5.08 b,2–5 | 5.50 b,4,5 | 4.37 a,1 | 4.60 a,1–3 | 4.89 a,1–4 | 5.15 b,2–5 | 5.43 a,4,5 | 5.23 a,3–5 | 5.58 b,5 | 5.53 b,4,5 | 0.004 | 0.08 | |
| 210 | 4.49 a,2 | 5.12 a,2,3 | 2.79 a,1 | 4.66 a,2,3 | 3.25 a,1 | 5.04 a,2,3 | 4.48 a,2 | 4.74 a,2,3 | 5.32 c,2,3 | 5.48 c,2,3 | 5.57 b,3 | 5.23 a,2,3 | 4.67 a,2,3 | 5.23 a,2,3 | 0.000 | 0.16 | |
| p-value | 0.000 | 0.043 | 0.000 | 0.003 | 0.000 | 0.000 | 0.000 | 0.000 | 0.000 | 0.000 | 0.000 | 0.001 | 0.000 | 0.000 | |||
| SEM | 0.36 | 0.22 | 0.45 | 0.28 | 0.36 | 0.20 | 0.35 | 0.27 | 0.24 | 0.21 | 0.20 | 0.19 | 0.28 | 0.24 | |||
3.6. Effect of Antioxidants on Free Fatty Acid Content during the Manufacturing Process and Vacuum Packaging
| Days | CON | BHT | TEA | CHE | GRA | BER | p-Value | SEM | |||||||||
|---|---|---|---|---|---|---|---|---|---|---|---|---|---|---|---|---|---|
| 200 | 50 | 200 | 1000 | 50 | 200 | 1000 | 50 | 200 | 1000 | 50 | 200 | 1000 | |||||
| C16:0 | 4 | 274.05 a,b | 119.86 a | 280.66 a | 233.36 a | 219.68 a | 207.05 a | 247.90 a | 159.44 a | 250.42 a | 215.51 a | 223.47 a | 244.31 | 194.55 | 167.68 | 0.711 | 13.10 |
| 19 | 166.96 a | 393.41 b | 350.09 a | 289.73 a | 281.74 a | 324.98 a,b | 414.83 a | 227.25 a | 227.42 a | 210.42 a | 303.13 a | 271.75 | 288.36 | 297.27 | 0.227 | 16.63 | |
| 48 | 169.33 a,1 | 353.28 b,3,4 | 375.84 a,4 | 322.48 a,2–4 | 507.68 b,5 | 331.06 a,b,2–4 | 341.90 a,2–4 | 396.63 b,4 | 317.90 a,2–4 | 373.45 a,4 | 270.06 a,2,3 | 330.28 2–4 | 255.06 2 | 314.01 2–4 | 0.000 | 15.12 | |
| 210 | 426.16 b | 700.61 c | 743.92 b | 1227.20 b | 689.07 c | 801.26 b | 936.76 b | 820.64 c | 749.68 b | 1006.20 b | 691.26 b | 600.02 | 594.27 | 673.13 | 0.082 | 44.54 | |
| p-value | 0.052 | 0.002 | 0.056 | 0.004 | 0.002 | 0.083 | 0.056 | 0.000 | 0.006 | 0.009 | 0.012 | 0.090 | 0.060 | 0.079 | |||
| SEM | 43.88 | 79.57 | 75.17 | 158.85 | 71.85 | 97.41 | 111.39 | 97.54 | 82.71 | 128.05 | 73.48 | 60.72 | 64.69 | 80.04 | |||
| C16:1 | 4 | 29.32 a | 1.64 a | 27.99 a | 23.72 a | 14.56 a | 26.28 a | 26.27 a | 11.72 a | 26.66 a | 13.88 a | 16.66 a | 18.07 a | 17.05 a | 8.47 a | 0.438 | 2.17 |
| 19 | 14.16 a | 53.91 b | 39.91 a | 34.66 a | 32.77 a | 35.07 a | 50.31 a | 23.83 a | 26.46 a | 21.55 a | 35.22 a | 29.97 a | 34.88 a | 37.55 a | 0.081 | 2.39 | |
| 48 | 19.26 a,1 | 49.30 b,2,3 | 54.19 a,3 | 43.30 a,2,3 | 89.21 b,4 | 48.80 a,2,3 | 43.91 a,2,3 | 55.45 b,3 | 46.49 a,2,3 | 57.41 b,3 | 38.35 a,2 | 47.80 a,2,3 | 36.01 a,2 | 43.39 a,2,3 | 0.000 | 2.95 | |
| 210 | 76.10 b,1 | 103.16 c,1,2 | 106.19 b,1,2 | 167.12 b,3 | 112.31 b,1,2 | 102.71 b,1,2 | 123.62 b,1–3 | 109.10 c,1,2 | 116.46 b,1,2 | 149.79 c,2,3 | 97.67 b,1 | 91.46 b,1 | 97.90 b,1 | 103.37 b,1,2 | 0.038 | 5.09 | |
| p-value | 0.009 | 0.003 | 0.010 | 0.001 | 0.001 | 0.006 | 0.030 | 0.000 | 0.013 | 0.000 | 0.009 | 0.019 | 0.032 | 0.026 | |||
| SEM | 9.60 | 13.85 | 11.72 | 22.18 | 15.27 | 11.56 | 15.07 | 14.33 | 14.60 | 20.50 | 11.92 | 11.11 | 12.45 | 13.90 | |||
| C18:0 | 4 | 143.67 | 89.44 a | 143.01 | 114.11 a | 104.97 a | 107.01 | 130.30 | 91.68 a | 121.10 a | 129.85 a | 124.49 a,b | 135.63 | 111.36 | 102.55 | 0.900 | 5.87 |
| 19 | 92.34 | 179.57 b | 166.29 | 139.56 a | 142.81 a,b | 166.92 | 203.95 | 130.09 a | 124.16 a | 122.16 a | 154.38 a,b | 142.90 | 157.77 | 167.49 | 0.269 | 6.87 | |
| 48 | 69.20 1 | 116.22 a,1,2 | 123.21 2 | 96.85 a,1,2 | 176.92 b,3 | 101.52 1,2 | 106.23 1,2 | 133.60 a,2,3 | 115.99 a,1,2 | 144.12 a,2,3 | 104.71 a,1,2 | 137.68 2,3 | 99.33 1,2 | 126.71 2 | 0.021 | 5.54 | |
| 210 | 149.17 | 223.33 b | 259.89 | 461.58 b | 240.33 c | 345.60 | 351.84 | 280.00 b | 232.18 b | 395.92 b | 245.44 b | 215.10 | 211.30 | 321.35 | 0.552 | 22.98 | |
| p-value | 0.262 | 0.006 | 0.254 | 0.055 | 0.014 | 0.296 | 0.226 | 0.003 | 0.015 | 0.067 | 0.109 | 0.269 | 0.131 | 0.256 | |||
| SEM | 16.60 | 20.44 | 25.51 | 62.53 | 19.71 | 49.61 | 45.73 | 27.68 | 19.22 | 48.29 | 23.56 | 16.33 | 19.62 | 41.52 | |||
| C18:1n9c | 4 | 529.15 a | 213.02 a | 468.86 a | 443.31 a | 338.88 a | 438.33 | 459.15 | 339.35 a | 511.66 a | 409.07 a | 452.25 a | 491.65 a | 400.20 a | 344.88 a | 0.465 | 22.37 |
| 19 | 432.85 a,1 | 973.25 b,3,4 | 853.91 a,2–4 | 733.01 a,1–4 | 688.11 b,1–3 | 799.28 2–4 | 1043.61 4 | 624.51 a,b,1,2 | 645.37 a,b,1,2 | 551.32 a,b,1,2 | 671.73 a,1–3 | 682.09 a,1–3 | 696.65 b,1–3 | 784.79 b,2–4 | 0.029 | 34.50 | |
| 48 | 405.56 a,1 | 1030.46 b,4 | 855.82 a,2–4 | 875.07 a,2–4 | 1278.56 c,5 | 858.61 2–4 | 784.46 2,3 | 991.82 b,3,4 | 916.95 b,2–4 | 1072.72 b,4 | 803.00 a,b,2,3 | 952.68 b,2–4 | 732.70 b,2 | 894.76 b,2–4 | 0.000 | 38.41 | |
| 210 | 899.38 b | 1350.71 c | 1523.51 b | 2341.58 b | 1577.73 c | 1580.00 | 1791.42 | 1480.70 c | 1381.90 c | 2130.29 c | 1368.17 b | 1222.02 c | 1306.35 c | 1378.62 c | 0.126 | 85.05 | |
| p-value | 0.050 | 0.002 | 0.033 | 0.007 | 0.002 | 0.087 | 0.144 | 0.007 | 0.009 | 0.004 | 0.066 | 0.004 | 0.004 | 0.007 | |||
| SEM | 81.83 | 160.15 | 154.33 | 286.77 | 186.32 | 177.77 | 220.87 | 166.56 | 130.48 | 261.70 | 142.51 | 106.83 | 126.83 | 143.54 | |||
| C18:2n6c | 4 | 305.74 b,5 | 150.08 a,1 | 270.91 3–5 | 230.20 a,1–5 | 186.19 a,1–3 | 256.88 3–5 | 273.12 4,5 | 162.99 a,1,2 | 226.89 a,1–5 | 187.06 a,1–3 | 246.44 2–5 | 243.37 a,2–5 | 194.95 a,1–4 | 185.99 a,1–3 | 0.015 | 9.79 |
| 19 | 257.29 a,b,1 | 397.66 b,3,4 | 363.86 2–4 | 351.91 b,1–4 | 286.12 a,b,1,2 | 340.63 1–4 | 421.13 4 | 301.49 b,1–3 | 326.34 b,1–4 | 261.83 a,b,1 | 366.47 2–4 | 373.61 b,2–4 | 330.43 b,1–4 | 372.16 b,2–4 | 0.038 | 10.72 | |
| 48 | 174.46 a,1 | 311.35 b,3,4 | 250.16 2,3 | 236.18 a,1–3 | 427.53 b,c,5 | 252.14 2,3 | 205.00 1,2 | 344.28 b,c,4 | 302.38 a,b,3,4 | 339.05 b,4 | 311.37 3,4 | 352.47 b,4 | 308.50 b,3,4 | 335.79 b,4 | 0.000 | 13.06 | |
| 210 | 338.14 b | 335.41 b | 401.34 | 544.78 c | 438.75 c | 355.56 | 424.95 | 418.13 c | 367.91 b | 543.81 c | 364.37 | 404.98 b | 426.23 c | 464.93 b | 0.299 | 16.58 | |
| p-value | 0.056 | 0.005 | 0.176 | 0.003 | 0.022 | 0.351 | 0.256 | 0.004 | 0.048 | 0.001 | 0.240 | 0.042 | 0.010 | 0.019 | |||
| SEM | 25.70 | 35.50 | 28.96 | 49.16 | 41.94 | 24.62 | 46.38 | 35.96 | 21.22 | 50.99 | 23.61 | 24.99 | 32.28 | 40.08 | |||
| C18:3n3 | 4 | 15.81 b,3 | 0.00 a,1 | 10.18 a,b,2 | 10.15 2 | 0.00 a,1 | 0.00 1 | 9.512 | 0.00 a,1 | 3.80 a,1 | 2.73 a,1 | 0.00 1 | 0.00 a,1 | 0.00 a,1 | 1.72 a,1 | 0.000 | 1.03 |
| 19 | 6.51 a | 17.06 b | 19.17 b | 13.94 | 11.99 a,b | 21.82 | 22.62 | 11.58 b | 11.91 b | 9.77 a,b | 23.90 | 14.21 b,c | 11.21 a,b | 16.73 b,c | 0.125 | 1.21 | |
| 48 | 0.00 a,1 | 10.98 a,b,2 | 5.52 a,1,2 | 4.22 1,2 | 20.54 b,3 | 7.43 1,2 | 6.13 1,2 | 12.84 b,2,3 | 8.32 a,b,1,2 | 11.40 b,2 | 8.07 1,2 | 10.55 b,2 | 6.10 a,1,2 | 10.01 a,b,2 | 0.024 | 1.03 | |
| 210 | 19.08 b | 22.13 b | 21.78 c | 30.41 | 22.83 b | 20.52 | 20.43 | 33.65 c | 22.22 c | 28.63 c | 22.37 | 21.06 c | 22.97 b | 22.60 c | 0.806 | 1.29 | |
| p-value | 0.009 | 0.055 | 0.184 | 0.001 | 0.054 | 0.161 | 0.217 | 0.001 | 0.009 | 0.002 | 0.092 | 0.006 | 0.026 | 0.022 | |||
| SEM | 2.96 | 3.44 | 3.05 | 3.72 | 3.73 | 4.16 | 3.32 | 4.64 | 2.66 | 3.66 | 4.30 | 2.96 | 3.40 | 3.11 | |||
| C20:4n6 | 4 | 9.54 a,b,1–3 | 0.00 a,1 | 17.79 3 | 0.00 1 | 8.36 a,1–3 | 0.95 1 | 16.32 2,3 | 0.00 a,1 | 0.00 a,1 | 2.31 1 | 0.00 a,1 | 4.01 1,2 | 0.00 a,1 | 0.00 a,1 | 0.035 | 1.38 |
| 19 | 12.65 a,b | 20.26 b | 15.85 | 14.24 | 9.99 a,b | 15.12 | 19.53 | 8.93 a | 14.12 b | 8.81 | 23.98 c | 14.91 | 24.90 c | 18.77 b,c | 0.247 | 1.25 | |
| 48 | 0.00 a | 9.75 ab | 16.90 | 7.01 | 29.31 c | 9.28 | 9.52 | 6.23 a | 9.85 b | 8.98 | 12.27 b | 13.65 | 10.56 b | 11.27 a,b | 0.081 | 1.48 | |
| 210 | 21.43 b | 10.64 a,b | 13.57 | 15.63 | 19.21 b | 7.98 | 7.71 | 23.62 b | 14.31 b | 17.65 | 12.72 b | 19.12 | 23.29 c | 28.56 c | 0.062 | 1.38 | |
| p-value | 0.167 | 0.084 | 0.989 | 0.068 | 0.012 | 0.126 | 0.254 | 0.026 | 0.003 | 0.232 | 0.019 | 0.082 | 0.000 | 0.035 | |||
| SEM | 3.50 | 3.07 | 3.63 | 2.64 | 3.30 | 2.23 | 2.35 | 3.49 | 2.24 | 2.61 | 3.39 | 2.36 | 3.85 | 4.26 | |||
| Days | CON | BHT | TEA | CHE | GRA | BER | p-value | SEM | |||||||||
|---|---|---|---|---|---|---|---|---|---|---|---|---|---|---|---|---|---|
| 200 | 50 | 200 | 1000 | 50 | 200 | 1000 | 50 | 200 | 1000 | 50 | 200 | 1000 | |||||
| SFA | 4 | 417.72 | 209.30 a | 423.68 | 347.47 a | 324.64 a | 314.06 | 378.20 | 251.12 a | 371.51 a | 345.36 a | 347.95 a | 379.94 | 305.91 | 270.24 | 0.780 | 18.54 |
| 19 | 259.29 | 572.99 b | 516.38 | 429.29 a | 424.54 a | 491.91 | 618.78 | 357.33 b | 351.57 a | 332.58 a | 457.51 a | 414.64 | 446.13 | 464.77 | 0.241 | 23.34 | |
| 48 | 238.521 | 469.49 b,2–4 | 499.04 3,4 | 419.32 a,2–4 | 684.60 b,5 | 432.58 2–4 | 448.11 2–4 | 530.23 c,4 | 433.89 a,2–4 | 517.57 a,4 | 374.78 a,2,3 | 467.96 2–4 | 354.39 1,2 | 440.72 2–4 | 0.001 | 20.17 | |
| 210 | 605.07 | 957.29 c | 1039.82 | 1754.88 b | 962.22 c | 1195.06 | 1339.90 | 1152.74 d | 988.29 b | 1452.09 b | 974.31 b | 853.55 | 835.24 | 1032.75 | 0.189 | 68.56 | |
| p-value | 0.079 | 0.003 | 0.072 | 0.008 | 0.003 | 0.123 | 0.076 | 0.000 | 0.007 | 0.015 | 0.023 | 0.130 | 0.083 | 0.131 | |||
| SEM | 62.73 | 103.68 | 103.74 | 229.84 | 95.32 | 152.43 | 162.25 | 132.27 | 102.49 | 183.00 | 102.29 | 84.44 | 89.03 | 127.86 | |||
| MUFA | 4 | 560.24 a | 214.66 a | 496.85 a | 467.03 a | 353.43 a | 464.60 | 485.42 | 351.06 a | 538.32 a | 422.95 a | 468.91 a | 509.72 a | 417.25 a | 353.35 a | 0.432 | 24.10 |
| 19 | 447.01 a,1 | 1027.17 b,3,4 | 893.82 a,2–4 | 767.66 a,1–4 | 720.87 b,1–3 | 834.35 2–4 | 1093.92 4 | 648.35 a,b,1,2 | 671.83 a,b,1,2 | 572.87 a,b,1,2 | 706.95 a,1–3 | 712.06 a,1–3 | 731.53 a,b,1–3 | 822.34 b,2–4 | 0.031 | 36.77 | |
| 48 | 424.81 a,1 | 1079.76 b,4, | 910.00 a,2–4 | 918.37 a,2–4 | 1368.99 c,5 | 907.41 2–4 | 828.37 2,3 | 1047.27 b,3,4 | 963.44 b,2–4 | 1130.13 b,4 | 841.36 a,b,2,3 | 1000.48 b,2–4 | 768.70 b,2 | 938.15 b,2–4 | 0.000 | 41.11 | |
| 210 | 990.17 b | 1469.62 c | 1650.85 b | 2546.22 b | 1712.08 c | 1709.73 | 1941.17 | 1608.25 c | 1522.29 c | 2313.74 c | 1481.89 b | 1327.59 c | 1419.73 c | 1498.93 c | 0.112 | 91.21 | |
| p-value | 0.039 | 0.001 | 0.028 | 0.006 | 0.001 | 0.077 | 0.133 | 0.005 | 0.008 | 0.003 | 0.057 | 0.004 | 0.005 | 0.008 | |||
| SEM | 93.32 | 174.94 | 168.48 | 314.60 | 204.09 | 193.11 | 239.88 | 183.01 | 148.03 | 287.04 | 156.57 | 119.33 | 141.34 | 159.35 | |||
| PUFA | 4 | 331.08 b,5 | 150.08 a.1 | 298.87 4,5 | 240.35 a,1–5 | 194.55 a,1–3 | 257.83 3–5 | 298.93 4,5 | 162.99 a,1,2 | 230.68 a,1–4 | 192.10 a,1–3 | 246.44 2–5 | 247.38 a,2–5 | 194.95 a,1–3 | 187.72 a,1–3 | 0.008 | 11.29 |
| 19 | 276.43 a,b,1 | 434.97 c,4,5 | 398.87 1–5 | 380.08 b,1–5 | 308.09 a,1–3 | 377.57 1–5 | 463.27 5 | 321.99 b,1–4 | 352.37 b,1–5 | 280.42 b,1,2 | 414.35 3–5 | 402.73 b,2–5 | 366.53 b,1–5 | 407.65 b,c,3–5 | 0.050 | 12.55 | |
| 48 | 174.46 a,1 | 332.07 b,3,4 | 272.57 2,3 | 247.41 a,1–3 | 477.38 b,5 | 268.84 2,3 | 220.64 1,2 | 363.35 b,4 | 320.54 a,b,3,4 | 359.42 b,4 | 331.71 3,4 | 376.66 b,4 | 325.15 b,3,4 | 357.07 b,4 | 0.000 | 14.81 | |
| 210 | 386.20 b | 372.15 b,c | 444.05 | 601.60 c | 490.66 b | 394.38 | 460.58 | 480.62 c | 414.98 b | 601.65 c | 403.06 | 451.71 b | 479.32 c | 522.59 c | 0.348 | 18.41 | |
| p-value | 0.050 | 0.005 | 0.226 | 0.002 | 0.019 | 0.284 | 0.256 | 0.002 | 0.030 | 0.001 | 0.169 | 0.030 | 0.008 | 0.018 | |||
| SEM | 32.42 | 41.13 | 33.59 | 56.28 | 49.13 | 30.73 | 51.10 | 43.67 | 26.91 | 58.12 | 30.73 | 30.60 | 39.74 | 48.02 | |||
| P/S | 4 | 0.88 | 0.72 b | 0.74 | 0.72 b,c | 0.62 | 0.86 | 0.83 b | 0.65 b | 0.68 | 0.56 | 0.72 a,b | 0.66 a | 0.66 | 0.72 | 0.961 | 0.03 |
| 19 | 1.07 | 0.77 b | 0.83 | 0.90 c | 0.73 | 0.78 | 0.76 b | 0.91 c | 1.02 | 0.91 | 0.91 b | 0.98 b | 0.83 | 0.91 | 0.597 | 0.03 | |
| 48 | 0.78 2–5 | 0.72 b,1–5 | 0.55 1,2 | 0.60 a,b,1–3 | 0.70 1–5 | 0.62 1–3 | 0.50 a,b,1 | 0.69 b,1–4 | 0.74 2–5 | 0.71 1–5 | 0.89 b,4,5 | 0.81 a,b,3–5 | 0.92 5 | 0.82 3–5 | 0.015 | 0.03 | |
| 210 | 0.64 5 | 0.39 a,1–3 | 0.43 1–4 | 0.35 a,1,2 | 0.51 1–5 | 0.35 1,2 | 0.34 a,1 | 0.42 a,1–4 | 0.42 1–4 | 0.43 1–4 | 0.42 a,1–4 | 0.56 a,3–5 | 0.60 4,5 | 0.54 2–5 | 0.036 | 0.02 | |
| p-value | 0.489 | 0.004 | 0.140 | 0.016 | 0.158 | 0.203 | 0.052 | 0.005 | 0.084 | 0.164 | 0.044 | 0.056 | 0.163 | 0.346 | |||
| SEM | 0.09 | 0.06 | 0.07 | 0.08 | 0.04 | 0.09 | 0.08 | 0.07 | 0.09 | 0.08 | 0.08 | 0.07 | 0.06 | 0.07 | |||
| n6/n3 | 4 | 20.25 b,2 | 0.00 a,1 | 30.45 2,3 | 22.72 b,2 | 0.00 a,1 | 0.00 1 | 37.77 2,3 | 0.00 a,1 | 59.71 b,4 | 46.83 b,3,4 | 0.00 a,1 | 0.00 a,1 | 0.00 a,1 | 0.00 a,1 | 0.000 | 4.00 |
| 19 | 41.49 c,4 | 24.72 b,1–3 | 21.80 1–3 | 26.23 c,1–3 | 25.29 b,1–3 | 19.39 1,2 | 19.59 1,2 | 26.85 c,1–3 | 28.58 a,2,3 | 29.09 a,2,3 | 16.96 b,1 | 27.36 c,1–3 | 31.85 b,3,4 | 23.66 b,1–3 | 0.011 | 1.29 | |
| 48 | 0.00 a | 29.71 b | 48.95 | 41.03 d | 24.48 b | 38.01 | 45.20 | 29.04 c | 43.73 a,b | 31.36 a | 40.16 c | 34.75 d | 53.04 c | 35.76 b | 0.072 | 2.92 | |
| 210 | 18.85 b | 17.29 b | 19.50 | 18.46 a | 20.21 b | 19.06 | 22.21 | 13.16 b | 17.23 a | 19.61 a | 19.28 b | 20.50 b | 20.56 b | 22.05 b | 0.725 | 0.67 | |
| p-value | 0.000 | 0.014 | 0.105 | 0.000 | 0.018 | 0.066 | 0.578 | 0.007 | 0.048 | 0.027 | 0.005 | 0.000 | 0.001 | 0.009 | |||
| SEM | 5.56 | 4.46 | 5.05 | 3.22 | 4.10 | 5.66 | 6.73 | 4.56 | 6.61 | 3.94 | 5.53 | 4.92 | 7.34 | 5.06 | |||

4. Conclusions
Acknowledgment
Author Contributions
Conflicts of Interest
References
- O’Grady, M.N.; Carpenter, R.; Lynch, P.B.; O’Brien, N.M.; Kerry, J.P. Addition of grape seed extract and bearberry to porcine diets: Influence on quality attributes of raw and cooked pork. Meat Sci. 2008, 78, 438–446. [Google Scholar] [CrossRef] [PubMed]
- Jayaprakasha, G.K.; Selvi, T.; Sakariah, K.K. Antibacterial and antioxidant activities of grape (Vitis vinifera) seed extracts. Food Res. Int. 2003, 36, 117–122. [Google Scholar] [CrossRef]
- Lorenzo, J.M.; Sineiro, J.; Amado, I.R.; Franco, D. Influence of natural extracts on the shelf life of modified atmosphere-packaged pork patties. Meat Sci. 2014, 96, 526–534. [Google Scholar] [CrossRef] [PubMed]
- Pateiro, M.; Lorenzo, J.M.; Amado, I.R.; Franco, D. Effect of addition of green tea, chestnut and grape extract on the shelf-life of pig liver pâté. Food Chem. 2014, 147, 386–394. [Google Scholar] [CrossRef] [PubMed]
- Lorenzo, J.M.; González-Rodríguez, R.M.; Sánchez, M.; Amado, I.R.; Franco, D. Effects of natural (grape seed and chestnut extract) and synthetic antioxidants (buthylatedhydroxytoluene, BHT) on the physical, chemical, microbiological and sensory characteristics of dry cured sausage “chorizo”. Food Res. Int. 2013, 54, 611–620. [Google Scholar] [CrossRef]
- Gómez, M.; Lorenzo, J.M. Effect of fat level on physicochemical, volatile compounds and sensory characteristics of dry-ripened “chorizo” from Celta pig breed. Meat Sci. 2013, 95, 658–666. [Google Scholar] [CrossRef] [PubMed]
- Moure, A.; Cruz, J.M.; Franco, D.; Domínguez, J.M.; Sineiro, J.; Domínguez, H.; Núñez, M.J.; Parajó, J.C. Natural antioxidants from residual sources. Food Chem. 2001, 72, 145–171. [Google Scholar] [CrossRef]
- Summo, C.; Caponio, F.; Paradiso, V.M.; Pasqualone, A.; Gomes, T. Vacuum-packed ripened sausages: Evolution of oxidative and hydrolytic degradation of lipid fraction during long-term storage and influence on the sensory properties. Meat Sci. 2010, 84, 147–151. [Google Scholar] [CrossRef] [PubMed]
- Nassu, R.T.; Gonçalves, L.A.G.; da Silva, M.A.A.P.; Beserra, F.J. Oxidative stability of fermented goat meat sausage with different levels of natural antioxidant. Meat Sci. 2003, 63, 43–49. [Google Scholar] [PubMed]
- Tang, S.Z.; Ou, S.Y.; Huang, X.S.; Li, W.; Kerry, J.P.; Buckley, D.J. Effects of added tea catechins on colour stability and lipid oxidation in minced beef patties held under aerobic and modified atmospheric packaging conditions. J. Food Eng. 2006, 77, 248–253. [Google Scholar] [CrossRef]
- Marco, G.J. A rapid method for evaluation of antioxidants. J. Am. Oil Chem. Soc. 1968, 45, 594–598. [Google Scholar] [CrossRef]
- ISO (International Organization for Standardization). Determination of moisture content, ISO 1442:1997 standard. In International Standards of Meat and Meat Products; ISO: Genève, Switzerland, 1997. [Google Scholar]
- Targladis, B.G.; Watts, B.M.; Younathan, M.T.; Duggan, L.R. A distillation method for the quantitative determination of malonaldehyde in rancid foods. J. Am. Oil Chem. Soc. 1960, 37, 44–48. [Google Scholar] [CrossRef]
- Folch, J.; Lees, M.; Sloane-Stanley, G.H. A simple method for the isolation and purification of total lipids from animal tissues. J. Biol. Chem. 1957, 226, 497–509. [Google Scholar] [PubMed]
- García-Regueiro, J.A.; Gilbert, J.; Díaz, I. Determination of neutral lipids from subcutaneous fat cured ham by capillary gas chromatography and liquid chromatography. J. Chromatogr. A 1994, 667, 225–233. [Google Scholar] [CrossRef] [PubMed]
- Carreau, J.P.; Dubacq, J.P. Adaptation of a macro-scale method to the micro-scale for fatty acid methyl transesterification of biological lipid extracts. J. Chromatogr. A 1978, 151, 384–390. [Google Scholar] [CrossRef]
- Lorenzo, J.M.; Franco, D. Fat effect on physico-chemical, microbial and textural changes through the manufactured of dry-cured foal sausage. Lipolysis, proteolysis and sensory properties. Meat Sci. 2012, 92, 704–714. [Google Scholar] [CrossRef] [PubMed]
- Rubilar, M.; Pinelo, M.; Shene, C.; Sineiro, J.; Nunez, M.J. Separation and HPLC-MS identification of phenolic antioxidants from agricultural residues: Almond hulls and grape pomace. J. Agric. Food Chem. 2007, 55, 10101–10109. [Google Scholar] [CrossRef] [PubMed]
- Van der Hooft, J.J.; Akermi, M.; Unlu, F.M.; Mihaleva, V.; Gomez-Roldan, V.; Bino, R.J.; de Vos, R.C.H.; Vervoort, J. Structural annotation and elucidation of conjugated phenolic compounds in black, green, and white tea extracts. J. Agric. Food Chem. 2012, 60, 8841–8850. [Google Scholar] [CrossRef] [PubMed]
- Fontecave, M.; Lepoivre, M.; Elleingand, E.; Gerez, C.; Guittet, O. Resveratrol, a remarkable inhibitor of ribonucleotide reductase. FEBS Lett. 1998, 421, 277–279. [Google Scholar] [CrossRef] [PubMed]
- Lorenzo, J.M.; Gómez, M.; Fonseca, S. Effect of commercial starter cultures on physicochemical characteristics, microbial counts and free fatty acid composition of dry-cured foal sausage. Food Control 2014, 46, 382–389. [Google Scholar] [CrossRef]
- Lorenzo, J.M.; Michinel, M.; López, M.; Carballo, J. Biochemical characteristics of two Spanish traditional dry-cured sausage varieties: Androlla and Botillo. J. Food Compos. Anal. 2000, 13, 809–817. [Google Scholar] [CrossRef]
- Lorenzo, J.M.; Temperán, S.; Bermúdez, R.; Cobas, N.; Purriños, L. Changes in physico-chemical, microbiological, textural and sensory attributes during ripening of dry-cured foal salchichón. Meat Sci. 2012, 90, 194–198. [Google Scholar] [CrossRef] [PubMed]
- Liaros, N.G.; Katsanidis, E.; Bloukas, J.G. Effect of the ripening time under vacuum and packaging film permeability on processing and quality characteristics of low-fat fermented sausages. Meat Sci. 2009, 83, 589–598. [Google Scholar] [CrossRef] [PubMed]
- Jayawardana, B.C.; Hirano, T.; Han, K.; Ishii, H.; Okada, T.; Shibayama, S.; Fukushima, M.; Sekikawa, M.; Shimada, K. Utilization of adzuki bean extract as a natural antioxidante in cured and uncured cooked pork sausages. Meat Sci. 2011, 89, 150–153. [Google Scholar] [CrossRef] [PubMed]
- González-Fernández, C.; Santos, E.M.; Rovira, J.; Jaime, I. The effect of sugar concentration and starter culture on instrumental and sensory textural properties of “chorizo”, Spanish dry-cured sausage. Meat Sci. 2006, 74, 467–475. [Google Scholar] [CrossRef] [PubMed]
- Jongberg, S.; Gislason, N.E.; Lund, M.N.; Skibsted, L.H.; Waterhouse, A.L. Thiol-quinone adduct formation in myofibrillar proteins detected by LC-MS. J. Agric. Food Chem. 2011, 59, 6900–6905. [Google Scholar] [CrossRef] [PubMed]
- Jongberg, S.; Tørngren, M.A.; Gunvig, A.; Skibsted, L.H.; Lund, M.N. Effect of green tea or rosemary extract on protein oxidation in Bologna type sausages prepared from oxidatively stressed pork. Meat Sci. 2013, 93, 538–546. [Google Scholar] [CrossRef] [PubMed]
- Bozkurt, H.; Bayram, M. Colour and textural attributes of sucuk during ripening. Meat Sci. 2006, 73, 344–350. [Google Scholar] [CrossRef] [PubMed]
- Coşkuner, O.; Ertaş, A.H.; Soyer, A. The effect of processing method and storage time on constituents of Turkish sausages (sucuk). J. Food Process. Preserv. 2010, 34, 125–135. [Google Scholar] [CrossRef]
- Greene, B.E.; Cumuze, T.H. Relationship between TBA numbers and inexperienced panelist’s assessments of oxidized-avor in cooked beef. J. Food Sci. 1982, 47, 52–58. [Google Scholar] [CrossRef]
- Hierro, E.; de la Hoz, L.; Ordóñez, J.A. Contribution of microbial and meat endogenous enzymes to the lipolysis of dry fermented sausages. J. Agric. Food Chem. 1997, 45, 2989–2995. [Google Scholar] [CrossRef]
- Qiu, C.; Zhao, M.; Sun, W.; Zhou, F.; Cui, C. Changes in lipid composition, fatty acid profile and lipid oxidative stability during Cantonese sausage processing. Meat Sci. 2013, 93, 525–532. [Google Scholar] [CrossRef] [PubMed]
- Ulbricht, T.L.V.; Southgate, D.A.T. Coronary heart disease: Seven dietary factors. Lancet 1991, 338, 985–992. [Google Scholar] [CrossRef] [PubMed]
- FAO (Food and Agriculture Organization of the United Nations). Fat and fatty acid requirements for adults. In Fats and Fatty Acids in Human Nutrition; FAO: Rome, Italy, 2010; pp. 55–62. [Google Scholar]
© 2015 by the authors; licensee MDPI, Basel, Switzerland. This article is an open access article distributed under the terms and conditions of the Creative Commons Attribution license (http://creativecommons.org/licenses/by/4.0/).
Share and Cite
Pateiro, M.; Bermúdez, R.; Lorenzo, J.M.; Franco, D. Effect of Addition of Natural Antioxidants on the Shelf-Life of “Chorizo”, a Spanish Dry-Cured Sausage. Antioxidants 2015, 4, 42-67. https://doi.org/10.3390/antiox4010042
Pateiro M, Bermúdez R, Lorenzo JM, Franco D. Effect of Addition of Natural Antioxidants on the Shelf-Life of “Chorizo”, a Spanish Dry-Cured Sausage. Antioxidants. 2015; 4(1):42-67. https://doi.org/10.3390/antiox4010042
Chicago/Turabian StylePateiro, Mirian, Roberto Bermúdez, José Manuel Lorenzo, and Daniel Franco. 2015. "Effect of Addition of Natural Antioxidants on the Shelf-Life of “Chorizo”, a Spanish Dry-Cured Sausage" Antioxidants 4, no. 1: 42-67. https://doi.org/10.3390/antiox4010042
APA StylePateiro, M., Bermúdez, R., Lorenzo, J. M., & Franco, D. (2015). Effect of Addition of Natural Antioxidants on the Shelf-Life of “Chorizo”, a Spanish Dry-Cured Sausage. Antioxidants, 4(1), 42-67. https://doi.org/10.3390/antiox4010042

