Fatty Acid Composition, Oxidative Stability, and Metabolomic Changes in Hickory Nut Oil During Accelerated Oxidation
Abstract
1. Introduction
2. Materials and Methods
2.1. Materials and Reagents
2.2. Experimental Methods
2.2.1. Preparation of Hickory Oil
2.2.2. Accelerated Oxidation Experiment
2.2.3. Determination of Fatty Acid Composition
2.2.4. Determination of Physicochemical Properties During the Oxidation of Hickory Nut Oil
2.3. Oxidative Metabolomics of Hickory Nut Oil
2.3.1. Preparation of Hickory Nut Oil Samples at Various Oxidation Levels
2.3.2. UPLC–MS Analysis
2.4. Statistical Analysis
3. Results
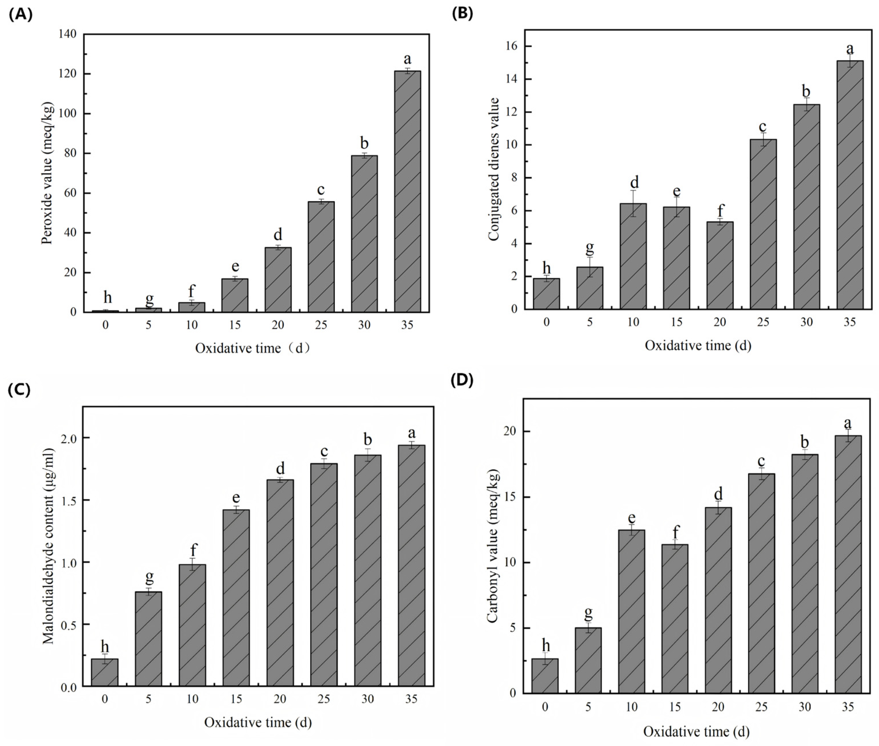
3.1. Changes in the Physicochemical Properties of Hickory Nut Oil During Oxidation
3.2. Fatty Acid Dynamics in Hickory Nut Oil During Oxidation
3.3. Dual-Ionization Metabolomics Reveals Comprehensive Chemical Dynamics During Hickory Nut Oil Oxidation
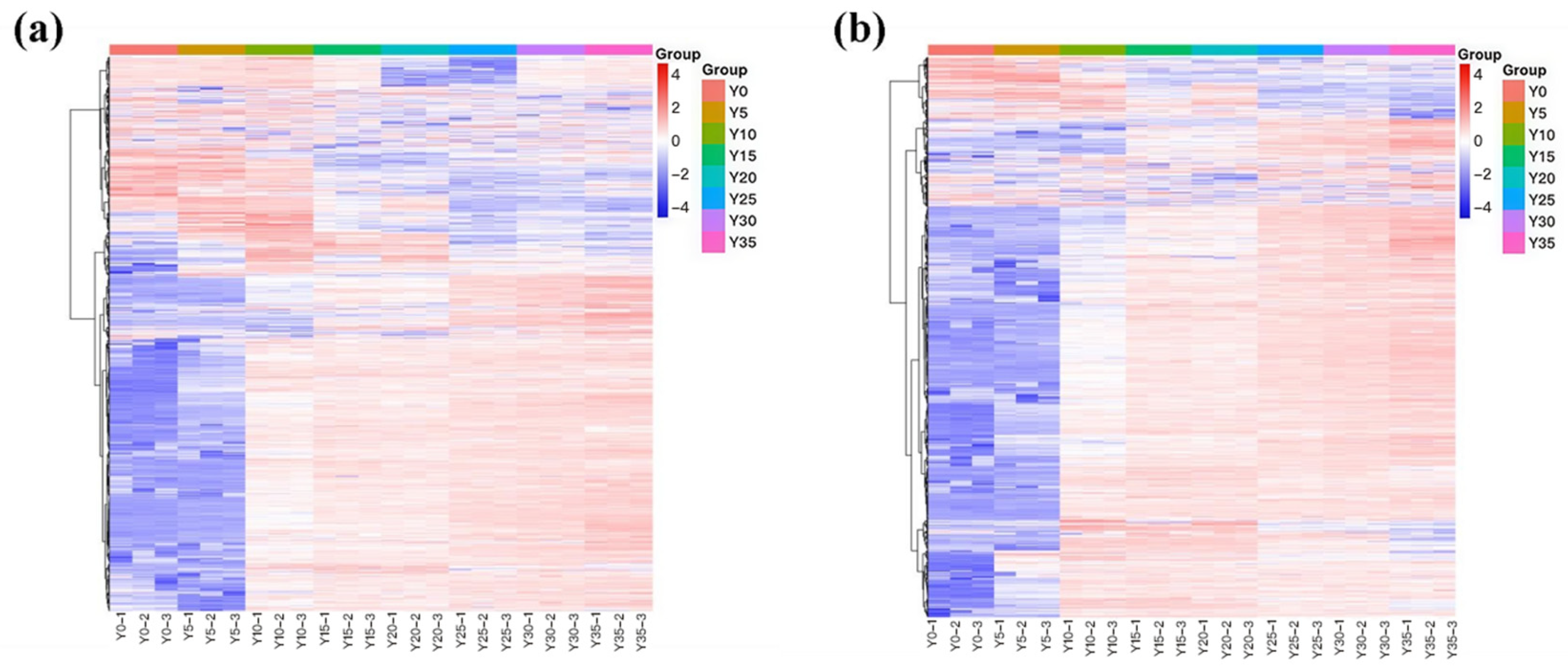
3.4. Unsupervised Multivariate Discrimination and Metabolomic Profiling of Hickory Nut Oil
3.5. Analysis of Differential Metabolites During Hickory Nut Oil Oxidation
3.6. Screening of Differential Intermediate Metabolites in Hickory Nut Oil During Oxidation
3.7. Pathway Enrichment Profiling of Hickory Nut Oil Across Oxidation Stages
4. Discussion
5. Conclusions
Author Contributions
Funding
Institutional Review Board Statement
Informed Consent Statement
Data Availability Statement
Conflicts of Interest
Abbreviations
| POV | Peroxide value |
| MDA | Malondialdehyde |
| CDV | Conjugated diene value |
| COV | Carbonyl value |
| PBN | N-tert-butyl-α-phenylnitrone |
| GC | Gas chromatography |
| GC–MS | Gas chromatography–mass spectrometry |
| EI | Electron impact |
| QC | Quality control |
| UPLC | Ultra-performance liquid chromatography |
| ESI | Electrospray ionization |
| PUFAs | Polyunsaturated fatty acids |
| UFAs | Unsaturated fatty acids |
| MUFAs | Monounsaturated fatty acids |
| SFAs | Saturated fatty acids |
| BPC | Base peak chromatogram |
| PCA | Principal component analysis |
| HCA | Hierarchical cluster analysis |
| FC | Fold change |
| OPLS-DA | Orthogonal partial least squares–discriminant analysis |
| VIP | Variable importance in projection |
| TBA | Thiobarbituric acid |
| TEP | 1,1,3,3-Tetraethoxypropane |
| DNPH | 2,4-Dinitrophenylhydrazine |
| MSI | Metabolomics standards initiative |
| FDR | False discovery rate |
References
- Dedebaş, T. Determination of the effect of bitter gourd (Momordica charantia L.) seed oil on the oxidative stability of sunflower oil. Int. J. Food Eng. 2024, 20, 161–172. [Google Scholar] [CrossRef]
- Weschenfelder, C.; Gottschall, C.B.; Markoski, M.M.; Portal, V.L.; de Quadros, A.S.; Bersch-Ferreira, Â.C.; Marcadenti, A. Effects of supplementing a healthy diet with pecan nuts or extra-virgin olive oil on inflammatory profile of patients with stable coronary artery disease: A randomised clinical trial. Br. J. Nutr. 2022, 127, 862–871. [Google Scholar] [CrossRef] [PubMed]
- Zhu, J.; Li, Z.; Wang, Y.; Mu, Z.; Lv, X.; Wang, Z.; Dong, A.; Fan, Z.; Zhang, H. A Review on Improving the Oxidative Stability of Pine Nut Oil in Extraction, Storage, and Encapsulation. Antioxidants 2025, 14, 716. [Google Scholar] [CrossRef] [PubMed]
- Rahmania, H.; Nakanishi, T.; Oi, S.; Onishi, R.; Yamagami, E.; Yamane, K.; Otoki, Y.; Kato, S.; Nakagawa, K. Effects of Different Manufacturing Processes on Thermal and Photo-oxidative Stability of Sesame Oil. J. Oleo Sci. 2024, 73, 1267–1276. [Google Scholar] [CrossRef]
- Zhao, M.; Liu, Z.; Zhang, W.; Xia, G.; Li, C.; Rakariyatham, K.; Zhou, D. Advance in aldehydes derived from lipid oxidation: A review of the formation mechanism, attributable food thermal processing technology, analytical method and toxicological effect. Food Res. Int. 2025, 203, 115811. [Google Scholar] [CrossRef] [PubMed]
- Singh, M.; Botosoa, E.; Karoui, R. Monitoring of Antioxidant Efficacy of Mangrove-Derived Polyphenols in Linseed Oil by Physicochemical and Fluorescence Methods. Antioxidants 2025, 14, 192. [Google Scholar] [CrossRef]
- Rani, H.; Whitcomb, S.J. Integrative LC-MS and GC-MS metabolic profiling unveils dynamic changes during barley malting. Food Chem. 2025, 463, 141480. [Google Scholar] [CrossRef]
- Saleh, B.; Yang, X.; Koidis, A.; Xu, Z.; Wang, H.; Wei, X.; Lei, H. Unraveling the metabolomics mysteries in camellia oil: From cognition to application. Crit. Rev. Anal. Chem. 2026, 56, 356–373. [Google Scholar] [CrossRef]
- López, P.L.; Marchesino, M.A.; Grosso, N.R.; Olmedo, R.H. Comparative study of accelerated assays for determination of equivalent days in the shelf life of roasted high oleic peanuts: Chemical and volatile oxidation indicators in accelerated and room temperature conditions. Food Chem. 2022, 373, 131479. [Google Scholar] [CrossRef]
- Idrissi, Z.L.; Amakhmakh, M.; El Moudden, H.; El Guezzane, C.; Ullah, R.; Bari, A.; Bouyahya, A.; Lee, L.-H.; Harhar, H.; Tabyaoui, M. Thermal oxidative stability and kinetics of lipophilic bioactive compounds degradation during accelerated storage of unroasted and roasted peanut oil. J. Food Compos. Anal. 2024, 131, 106239. [Google Scholar] [CrossRef]
- Mojsak, P.; Maliszewska, K.; Klimaszewska, P.; Miniewska, K.; Godzien, J.; Sieminska, J.; Kretowski, A.; Ciborowski, M. Optimization of a GC-MS method for the profiling of microbiota-dependent metabolites in blood samples: An application to type 2 diabetes and prediabetes. Front. Mol. Biosci. 2022, 9, 982672. [Google Scholar] [CrossRef]
- Sabolová, M.; Zeman, V.; Lebedová, G.; Doležal, M.; Soukup, J.; Réblová, Z. Relationship between the fat and oil composition and their initial oxidation rate during storage. Czech J. Food Sci. 2020, 38, 404–409. [Google Scholar] [CrossRef]
- Liu, X.; Wang, S.; Masui, E.; Tamogami, S.; Chen, J.; Zhang, H. Real-time model for carbonyl value as a function of total polar compounds in oil during frying. Anal. Lett. 2021, 54, 2813–2825. [Google Scholar] [CrossRef]
- Zamora, R.; Alcon, E.; Hidalgo, F.J. Addition of olivetol to crackers decreases malondialdehyde content and produces malondialdehyde-olivetol adducts. Food Chem. 2024, 432, 137046. [Google Scholar] [CrossRef] [PubMed]
- Nguyen, K.A.; Hennebelle, M.; van Duynhoven, J.P.; Dubbelboer, A.; Boerkamp, V.J.; Wierenga, P.A. Mechanistic kinetic modelling of lipid oxidation in vegetable oils to estimate shelf-life. Food Chem. 2024, 433, 137266. [Google Scholar] [CrossRef]
- Alsufiani, H.; Ashour, W. Effectiveness of the natural antioxidant 2, 4, 4′-Trihydroxychalcone on the oxidation of sunflower oil during storage. Molecules 2021, 26, 1630. [Google Scholar] [CrossRef]
- Kavran, P.; Yücel, T.; Bakkalbaşı, E.; GÜLEÇ, H.; Cavidoğlu, İ. Evaluation the kinetic of peroxide and hexanal formation in ascorbyl palmitate incorporated sunflower oil during accelerated oxidation. Grasas Aceites 2024, 75, e536. [Google Scholar] [CrossRef]
- Sun, L.; Wang, G.; Xiong, L.; Yang, Z.; Ma, Y.; Qi, Y.; Li, Y. Characterization of volatile organic compounds in walnut oil with various oxidation levels using olfactory analysis and HS-SPME-GC/MS. Curr. Res. Food Sci. 2024, 9, 100848. [Google Scholar] [CrossRef]
- Elsebaie, E.M.; Kassem, M.M.; Mousa, M.M.; Basuony, M.A.M.; Zeima, N.M.; Essa, R.Y. Cod liver oil’s encapsulation into sodium alginate/lupin protein beads and its application in functional meatballs’ preparation. Foods 2022, 11, 1328. [Google Scholar] [CrossRef]
- Amft, J.; Meissner, P.M.; Steffen-Heins, A.; Hasler, M.; Stöckmann, H.; Meynier, A.; Birault, L.; Velasco, J.; Vermoesen, A.; Perez-Portabella, I.; et al. Interlaboratory study on lipid oxidation during accelerated storage trials with rapeseed and sunflower oil analyzed by conjugated dienes as primary oxidation products. Eur. J. Lipid Sci. Technol. 2023, 125, 2300067. [Google Scholar] [CrossRef]
- Ma, L.; Liu, G.; Liu, X. Amounts of malondialdehyde do not accurately represent the real oxidative level of all vegetable oils: A kinetic study of malondialdehyde formation. Int. J. Food Sci. Technol. 2019, 54, 412–423. [Google Scholar] [CrossRef]
- Domínguez, R.; Pateiro, M.; Gagaoua, M.; Barba, F.J.; Zhang, W.; Lorenzo, J.M. A comprehensive review on lipid oxidation in meat and meat products. Antioxidants 2019, 8, 429. [Google Scholar] [CrossRef] [PubMed]
- Ma, X.; Zheng, C.; Zhou, Q.; Huang, C.; Wang, W.; Huang, Y.; Liu, C. Comparison evaluation pretreatments on the quality characteristics, oxidative stability, and volatile flavor of walnut oil. Food Chem. 2024, 448, 139124. [Google Scholar] [CrossRef]
- Grebenteuch, S.; Kroh, L.W.; Drusch, S.; Rohn, S. Formation of secondary and tertiary volatile compounds resulting from the lipid oxidation of rapeseed oil. Foods 2021, 10, 2417. [Google Scholar] [CrossRef] [PubMed]
- Kazuo, M. Prevention of fish oil oxidation. J. Oleo Sci. 2019, 68, 1–11. [Google Scholar] [CrossRef]
- El Bernoussi, S.; Boujemaa, I.; Harhar, H.; Belmaghraoui, W.; Matthäus, B.; Tabyaoui, M. Evaluation of oxidative stability of sweet and bitter almond oils under accelerated storage conditions. J. Stored Prod. Res. 2020, 88, 101662. [Google Scholar] [CrossRef]
- Liang, Z.; Pham, T.M.; Zhang, P.; Fang, Z. Effect of cooking temperature and time on the quality and safety of hemp seed oil. Food Res. Int. 2025, 202, 115765. [Google Scholar] [CrossRef]
- Gharby, S.; Asbbane, A.; Ahmed, M.N.; Gagour, J.; Hallouch, O.; Oubannin, S.; Bijla, L.; Goh, K.W.; Bouyahya, A.; Ibourki, M. Vegetable oil oxidation: Mechanisms, impacts on quality, and approaches to enhance shelf life. Food Chem. X 2025, 28, 102541. [Google Scholar] [CrossRef]
- Spickett, C.M. Formation of oxidatively modified lipids as the basis for a cellular epilipidome. Front. Endocrinol. 2020, 11, 602771. [Google Scholar] [CrossRef]
- Weinbrenner, T.; Fito, M.; De La Torre, R.; Saez, G.T.; Rijken, P.; Tormos, C.; Coolen, S.; Albaladejo, M.F.; Abanades, S.; Schroder, H.; et al. Olive oils high in phenolic compounds modulate oxidative/antioxidative status in men. J. Nutr. 2004, 134, 2314–2321. [Google Scholar] [CrossRef]
- Cui, F.; Liu, M.; Li, X.; Wang, D.; Ma, F.; Yu, L.; Hu, C.; Li, P.; Zhang, L. Gas chromatography ion mobility spectroscopy: A rapid and effective tool for monitoring oil oxidation. Food Res. Int. 2024, 176, 113842. [Google Scholar] [CrossRef]
- Hu, Q.; Zhang, J.; He, L.; Wei, L.; Xing, R.; Yu, N.; Huang, W.; Chen, Y. Revealing oxidative degradation of lipids and screening potential markers of four vegetable oils during thermal processing by pseudotargeted oxidative lipidomics. Food Res. Int. 2024, 175, 113725. [Google Scholar] [CrossRef]
- Shahidi, F.; Ambigaipalan, P. Phenolics and polyphenolics in foods, beverages and spices: Antioxidant activity and health effects–A review. J. Funct. Foods 2015, 18, 820–897. [Google Scholar] [CrossRef]
- Palanisamy, S.; Singh, A.; Zhang, B.; Zhao, Q.; Benjakul, S. Effects of different phenolic compounds on the redox state of myoglobin and prevention of discoloration, lipid and protein oxidation of refrigerated longtail tuna (Thunnus tonggol) slices. Foods 2024, 13, 1238. [Google Scholar] [CrossRef]








| Fatty Acids/(%) | Oxidation Time (d) | |||||||
|---|---|---|---|---|---|---|---|---|
| 0 | 5 | 10 | 15 | 20 | 25 | 30 | 35 | |
| C16:0 | 3.94 ± 0.01 h | 3.98 ± 0.02 g | 4.02 ± 0.04 f | 4.05 ± 0.02 e | 4.08 ± 0.01 d | 4.11 ± 0.02 c | 4.14 ± 0.02 b | 4.16 ± 0.02 a |
| C18:0 | 2.98 ± 0.01 e | 3.21 ± 0.01 d | 3.62 ± 0.02 c | 3.68 ± 0.01 b | 3.72 ± 0.02 a | 3.73 ± 0.01 a | 3.72 ± 0.01 a | 3.72 ± 0.01 a |
| C18:1 | 63.16 ± 0.08 a | 63.12 ± 0.03 c | 63.14 ± 0.06 b | 62.88 ± 0.08 d | 62.74 ± 0.04 e | 62.31 ± 0.05 f | 61.97 ± 0.04 g | 61.76 ± 0.05 h |
| C18:2 | 21.34 ± 0.04 e | 21.32 ± 0.01 d | 21.28 ± 0.05 c | 21.22 ± 0.04 b | 21.21 ± 0.07 ab | 21.22 ± 0.04 ab | 21.20 ± 0.03 a | 21.20 ± 0.06 a |
| C18:3 | 7.66 ± 0.03 a | 7.62 ± 0.01 b | 7.59 ± 0.02 c | 7.54 ± 0.01 d | 7.51 ± 0.02 e | 7.47 ± 0.01 f | 7.43 ± 0.03 g | 7.41 ± 0.02 h |
| C20:1 | 0.36 ± 0.01 a | 0.35 ± 0.02 a | 0.34 ± 0.01 a | 0.33 ± 0.01 a | 0.32 ± 0.02 a | 0.30 ± 0.01 a | 0.28 ± 0.01 a | 0.28 ± 0.01 a |
| SFA | 6.92 ± 0.02 c | 7.19 ± 0.03 b | 7.64 ± 0.06 a | 7.73 ± 0.03 a | 7.80 ± 0.03 a | 7.84 ± 0.03 a | 7.86 ± 0.03 a | 7.88 ± 0.03 a |
| UFA | 92.52 ± 0.16 | 92.41 ± 0.07 | 92.35 ± 0.14 | 91.97 ± 0.14 | 91.78 ± 0.15 | 91.30 ± 0.11 | 90.88 ± 0.11 | 90.65 ± 0.14 |
| MUFA | 21.7 ± 0.05 | 21.67 ± 0.03 | 21.62 ± 0.06 | 21.55 ± 0.05 | 21.53 ± 0.09 | 21.52 ± 0.05 | 21.48 ± 0.04 | 21.48 ± 0.07 |
| PUFA | 70.82 ± 0.11 | 70.74 ± 0.04 | 70.73 ± 0.08 | 70.42 ± 0.09 | 70.25 ± 0.06 | 69.78 ± 0.06 | 69.40 ± 0.07 | 69.17 ± 0.07 |
| Metabolite Type | Y5d vs. Y0d | Y10d vs. Y5d | Y15d vs. Y10d | Y20d vs. Y15d | Y25d vs. Y20d | Y30d vs. Y25d | Y35d vs. Y30d | |
|---|---|---|---|---|---|---|---|---|
| Fatty acyl | Up | 5 | 7 | 4 | 7 | 4 | 7 | 5 |
| Down | 1 | - | 3 | 2 | 3 | 1 | 2 | |
| Benzene and its derivatives | Up | 8 | 11 | 6 | 6 | 3 | 4 | 4 |
| Down | 4 | 1 | 4 | 1 | 5 | 2 | 4 | |
| Organic compound | Up | 5 | 5 | - | 4 | - | 4 | 1 |
| Down | - | 1 | 2 | - | 5 | - | 2 | |
| Carboxylic acid and its derivatives | Up | 3 | 4 | 4 | 5 | 9 | 9 | 7 |
| Down | 7 | 2 | 5 | 2 | 2 | 1 | 1 | |
| Isopentenol lipids | Up | 1 | 1 | 3 | - | - | - | - |
| Down | - | - | 1 | 3 | - | - | - | |
| Organic nitrogen compound | Up | 3 | 2 | - | 3 | - | - | 2 |
| Down | - | 2 | 1 | - | 2 | - | - | |
| Phenylpropanoid | Up | 2 | 1 | 2 | 1 | 1 | 1 | 1 |
| Down | - | - | - | 3 | 2 | 1 | - | |
| Keto acids and their derivatives | Up | - | 1 | - | - | - | - | - |
| Down | - | - | 1 | - | - | - | - | |
| Else | Up | 9 | 10 | 8 | 7 | 2 | 11 | 6 |
| Down | 1 | - | 5 | 3 | 10 | 4 | 8 | |
| Alkaloid | Up | 1 | - | - | 1 | 1 | - | - |
| Down | - | - | 1 | 2 | - | - | - | |
| Organic phosphoric acid and its derivatives | Up | - | 2 | - | - | - | 2 | 4 |
| Down | - | - | - | - | - | 1 | 1 | |
| Terpenoid | Up | - | - | - | - | - | 2 | - |
| Down | - | - | - | - | 1 | - | 1 | |
| Group | Metabolite | Classification | FC | Type |
|---|---|---|---|---|
| Y5 vs. Y0 | 2-Hydroxybenzyl alcohol | Benzene and its derivatives | 12.59 | Up |
| Diethanolamine | Organic Nitrides | 3.57 | Up | |
| 3-Chlorobenzoic acid | Benzene and its derivatives | 2.49 | Up | |
| L-Serine | Carboxylic acid and its derivatives | 2.35 | Up | |
| D-Arabinono-1,4-lactone | Organic compound | 2.22 | Up | |
| Cinnamyl alcohol | Phenylpropanoid | 1.69 | Up | |
| Glutamic acid | Carboxylic acid and its derivatives | 0.2 | Down | |
| Y10 vs. Y5 | 5-Chloro-3-methylcatechol | Else | 52.32 | Up |
| 4-Hydroxyamphetamine | Benzene and its derivatives | 31.47 | Up | |
| 4-Methylbenzyl alcohol | Benzene and its derivatives | 25.32 | Up | |
| 3-Methylxanthine | Fatty acyl | 13.4 | Up | |
| 2-Thiophenecarboxaldehyde | Organic compound | 10.97 | Up | |
| Salicylic acid | Benzene and its derivatives | 6.29 | Up | |
| Aminobutyric acid | Carboxylic acid and its derivatives | 0.28 | Down | |
| 3-methyl-1-butylamine | Organic Nitrides | 0.07 | Down | |
| Y15 vs. Y10 | 3-(4-Methylphenyl)-2-propene | Phenylpropanoid | 11.42 | Up |
| Diethanolamine | Organic Nitrides | 0.22 | Up | |
| Hydroxyisocaproic acid | Fatty acyl | 1.57 | Up | |
| D-Arabinitol | Organic compound | 0.6 | Down | |
| norpsitropine | Alkaloid | 0.53 | Down | |
| L-Serine | Carboxylic acid and its derivatives | 0.62 | Down | |
| Homoserine | Carboxylic acid and its derivatives | 0.32 | Down | |
| Y20 vs. Y15 | 4-Guanidinobutyric acid | Carboxylic acid and its derivatives | 11.89 | Up |
| Pentadecanoic acid | Fatty acyl | 3.6 | Up | |
| Acrylphenol | Benzene and its derivatives | 1.84 | Up | |
| L-Valine | Carboxylic acid and its derivatives | 1.81 | Up | |
| Hydroxyisocaproic acid | Fatty acyl | 0.55 | Down | |
| Rimycin | Else | 0.29 | Down | |
| Acetate | Isopentenol lipids | 0.15 | Down | |
| Y25 vs. Y20 | Myrtenic Acid | Else | 0.66 | Down |
| 1H-Imidazole-1-acetic acid | Carboxylic acid and its derivatives | 0.16 | Down | |
| 4-Methylaminobutyric acid | Else | 0.17 | Down | |
| Methyl 2-hydroxybenzoate | Benzene and its derivatives | 0.24 | Down | |
| 2-Thiophenecarboxaldehyde | Organic compound | 0.39 | Down | |
| Salicylic acid | Benzene and its derivatives | 3.57 | Up | |
| Trihydroxytoluene | Else | 1.64 | Up | |
| Y30 vs. Y25 | Dihydroxyacetone phosphate | Organic compound | 4.75 | Up |
| Diisopropyl phosphate | Organic phosphoric acid and its derivatives | 4.54 | Up | |
| P-Mentha-1.8-Dien-10-yl | Terpenoid | 2.01 | Up | |
| 3-Hexenyl 2-methylbutyrate | Fatty acyl | 1.59 | Up | |
| 2-Ethylidene aldehyde | Organic compound | 1.80 | Up | |
| 5-Isopropyl-2-2-cyclohexen-1-one | Organic phosphoric acid and its derivatives | 0.52 | Down | |
| 1,2-Dihydroxycyclohexa | Else | 0.62 | Down | |
| Y35 vs. Y30 | Hippuric acid | Benzene and its derivatives | 36.86 | Up |
| Hydroxypyruvic acid phosphate | organic compound | 2.67 | Up | |
| β-Alanine | Carboxylic acid and its derivatives | 0.13 | Down | |
| L-Ornithine | Carboxylic acid and its derivatives | 0.18 | Down | |
| Diphenylamine | Benzene and its derivatives | 0.52 | Down | |
| Ethyl 3-phenylpropionate | Fatty acyl | 0.40 | Down |
Disclaimer/Publisher’s Note: The statements, opinions and data contained in all publications are solely those of the individual author(s) and contributor(s) and not of MDPI and/or the editor(s). MDPI and/or the editor(s) disclaim responsibility for any injury to people or property resulting from any ideas, methods, instructions or products referred to in the content. |
© 2026 by the authors. Licensee MDPI, Basel, Switzerland. This article is an open access article distributed under the terms and conditions of the Creative Commons Attribution (CC BY) license.
Share and Cite
Li, Z.; Liu, J.; Gao, Q.; Zhang, N.; Geng, S.; Bao, Y.; Guo, Q. Fatty Acid Composition, Oxidative Stability, and Metabolomic Changes in Hickory Nut Oil During Accelerated Oxidation. Antioxidants 2026, 15, 336. https://doi.org/10.3390/antiox15030336
Li Z, Liu J, Gao Q, Zhang N, Geng S, Bao Y, Guo Q. Fatty Acid Composition, Oxidative Stability, and Metabolomic Changes in Hickory Nut Oil During Accelerated Oxidation. Antioxidants. 2026; 15(3):336. https://doi.org/10.3390/antiox15030336
Chicago/Turabian StyleLi, Ziyi, Jiahui Liu, Qingqing Gao, Na Zhang, Songyu Geng, Yihong Bao, and Qingqi Guo. 2026. "Fatty Acid Composition, Oxidative Stability, and Metabolomic Changes in Hickory Nut Oil During Accelerated Oxidation" Antioxidants 15, no. 3: 336. https://doi.org/10.3390/antiox15030336
APA StyleLi, Z., Liu, J., Gao, Q., Zhang, N., Geng, S., Bao, Y., & Guo, Q. (2026). Fatty Acid Composition, Oxidative Stability, and Metabolomic Changes in Hickory Nut Oil During Accelerated Oxidation. Antioxidants, 15(3), 336. https://doi.org/10.3390/antiox15030336

