Abstract
The aim of this study was to evaluate the effects of lactic acid and glyceryl lactate on growth performance, antioxidant capacity, and intestinal health in piglets. This study included 240 castrated male piglets (initial body weight: 7.50 ± 0.54 kg) assigned to four groups: CON (basal diet), LA (basal diet + 0.5% lactic acid), GL (basal diet + 0.5% glyceryl lactate), and LG (basal diet + 0.5% lactic acid + 0.5% glyceryl lactate). Each group had six replicates of 10 piglets. The trial lasted 28 days. Compared with the control group, the GL and LG groups showed enhanced growth performance and reduced diarrhea rate in piglets. The LA and LG groups showed decreased intestinal chyme pH and increased digestive enzyme activities. Moreover, the GL and LG groups displayed elevated jejunal mRNA levels of the tight junction protein occludin and mucin MUC2, enhanced expression levels of Nrf2 signaling pathway genes, increased activities of the antioxidant enzymes GPX and CAT, and reduced MDA content. Acidifier supplementation also modulated cecal bacterial abundance and short-chain fatty acid (SCFA) content. Genera such as Faecalibaculum, Nocardiopsis, Collinsella, CAG269, Allobaculum, and Enterococcus were affected. In conclusion, glyceryl lactate and its combination with lactic acid improved piglet growth performance by enhancing intestinal barrier function, antioxidant capacity, microbial community structure, and SCFA production.
1. Introduction
In the contemporary high-density cultivation industry, segregated early weaning is often implemented to enhance the reproductive capacity of sows and mitigate the spread of diseases, thereby increasing the output and financial profitability of swine production [1]. However, the physiological and psychological responses triggered by isolation and environmental changes during the weaning period can result in early weaning stress syndrome. This condition frequently presents as abnormal intestinal morphology and function, decreased digestion and absorption, compromised intestinal barriers, and a range of issues including reduced feed intake and increased diarrhea [2]. These deleterious symptoms are associated with inflammatory responses, oxidative stress, and imbalances in intestinal microflora, making the development of effective strategies to improve the health status of weaned piglets critical.
Traditionally, antibiotics have been successfully utilized to alleviate weaning stress and enhance performance [3]. Nevertheless, the excessive application of antibiotics can result in high levels of residue, potentially fostering the emergence of antibiotic resistance in animals and humans alike, thereby endangering human health [4]. With the global ban on antibiotics, various alternatives have been explored to replace antibiotics in animal production while maintaining performance and animal health. Among these alternatives, acidifiers are regarded as one of the most promising options for replacing antibiotics in the diets of weaned piglets.
The incorporation of feed acidifiers can lower the pH in the gastrointestinal tract, enhance digestive enzyme activity, inhibit the growth of harmful bacteria, reduce the frequency of diarrhea, and improve the growth performance of animals [5,6]. Lactic acid, an organic acid, effectively reduces the pH in the stomach and foregut, enhances digestion and absorption processes, and inhibits the proliferation of key microbial pathogens [7,8]. Glyceryl lactate, classified as a short-chain fatty acid (SCFA) ester, decomposes gradually into lactic acid and glycerol within the gastrointestinal tract. This decomposition provides a substantial amount of lactic acid to the hindgut, which is advantageous for enhancing antioxidant capacity and energy metabolism in animals [9,10].
We hypothesize that lactic acid and glyceryl lactate can jointly maintain gastric and overall intestinal pH levels to improve intestinal health issues in weaned piglets. Accordingly, the aim of this study is to systematically evaluate the effects of lactic acid and glyceryl lactate on the growth performance, antioxidant capacity, and intestinal health of piglets.
2. Materials and Methods
2.1. Animal Ethics Statement
All experimental protocols in this study were reviewed and approved by the Animal Ethics Committee of Henan Agricultural University (protocol code HNND2024031234).
2.2. Experimental Animals and Experimental Design
Lactic acid and glyceryl lactate were procured from Henan Jindan Lactic Acid Technology Co., Ltd. (Zhoukou, China). Two hundred and forty healthy, 21-day-old piglets (Duroc × Landrace × Large White) with an initial body weight of (7.50 ± 0.54 kg) were selected for the trial immediately after weaning. The piglets were randomly divided into four treatments, with six replicates per treatment and 10 piglets per replicate. A single-factor experimental design was employed, which included the CON group (basal diet), LA group (basal diet with 0.5% lactic acid), GL group (basal diet with 0.5% glyceryl lactate), and LG group (basal diet with 0.5% lactic acid and 0.5% glyceryl lactate). The trial period lasted for 28 days. During the trial, the piglets were provided with unlimited access to feed and water, and they underwent standard rearing and vaccination practices. The basal diet was prepared in accordance with the nutritional guidelines for weaned piglets suggested by NRC 2012 [11]. The composition and nutritional levels of the basal diet are detailed in Table S1. The gross energy, crude protein, Ca, lysine, methionine, and threonine levels in the diets were determined according to ISO 9831:1998 [12], GB/T 6432-2018 [13], GB/T 13885-2017 [14], and GB/T 18246-2019 [15], respectively [16].
During the formal experiment, acidifiers were mixed into the basal diet every morning and added in measured quantities to the feeders of each treatment group to ensure ad libitum feeding, with the amount of feed adjusted daily based on consumption. The pigpens were cleaned of excrement and urine regularly, and health conditions were monitored and documented, with any unwell pigs promptly segregated. The room temperature was maintained at approximately 25 °C, with humidity levels ranging from 65% to 70% throughout the experiment. Daily feed intake was recorded, and the piglets were monitored for diarrhea in each pen, documenting the count of affected piglets in each treatment replicate.
2.3. Growth Performance
The incidence of piglet diarrhea was monitored throughout the trial for each replicate, and daily feed consumption and leftovers were meticulously tracked to determine the ADG, ADFI, and feed conversion ratio (feed intake to body weight gain ratio [F:G]) for each replicate. Fecal scoring of the piglets was conducted daily (criteria are presented in Table S2), with scores of 2 or higher indicating the occurrence of diarrhea.
The diarrhea rate (%) was calculated as follows: (Number of diarrhea episodes during the trial/(Total number of piglets in the trial × Number of days of the trial)) × 100%.
2.4. Sampling
On day 29, a piglet (49 days old) per replicate, with weight around the mean, was chosen, administered pentobarbital sodium (50 mg/kg BW) for sedation, and subsequently euthanized. The jejunal samples were rapidly extracted. A 4 cm long portion was immersed in 4% paraformaldehyde for histological processing, while the remainder of the samples were dispensed into 2 mL vials, snap-frozen in liquid nitrogen, and stored. Samples from the cecum and jejunum were collected, with the jejunal chyme’s pH measured using a PBS-3C pH meter from Leici, China. The leftover samples were preserved in 5 mL cryogenic vials at −80 °C for subsequent analysis.
2.5. Digestive Enzyme Activities of Jejunum Digesta
Jejunum samples were blended in ice-chilled physiological saline at a 1:9 (w/v) ratio for 5 min. After blending and centrifugation for 10 min, supernatants were obtained and assayed for α-amylase, lipase, and neutral protease activities using kits from Shanghai Enzyme-Link.
2.6. Intestinal Morphology
Jejunum samples were taken out of the fixative, dehydrated, and then embedded in paraffin. After each jejunum sample was sectioned to a thickness of 5 μm, they were stained with hematoxylin and eosin. Representative microscopic photographs were captured using a Leica DMI3000B microscope (Leica, Wetzlar, Germany). Each section was subjected to 10 repeated measurements, and the average values were taken for statistical analysis [17].
2.7. Expression Level of Jejunum Gene in Piglets
The frozen jejunum samples were placed in a mortar, and liquid nitrogen was added for grinding. We weighed out 0.05 g of the ground sample into a 1.5 mL centrifuge tube and quickly added 1 mL of TRIzol reagent (TaKaRa, Beijing, China) to homogenize and extract total RNA. The sample concentration was measured using a spectrophotometer and the Nano-Drop 2000 software, calibrated with RNase-free water to zero, and 1 μL was used to determine the sample concentration. Reverse transcription was performed following the protocol from a Takara kit (Kyoto, Japan) to yield cDNA. This cDNA was diluted 10-fold using RNase-free water and stored at −20 °C for subsequent applications. Gene-specific amplicons were verified using melting curve analysis, and a 10 μL quantitative PCR (qPCR) protocol was implemented. The mRNA expression levels of the target genes were normalized using the endogenous reference gene β-actin, based on the 2−ΔΔCt method. The primer sequences for the intestinal barrier and function genes (ZO-1, occludin, claudin-1, MUC2, and JAM2) and the antioxidant pathway genes (Nrf2, HO-1, NQO1, GPX1, SOD1, and CAT) used in q-PCR are presented in Table S3.
2.8. Determination of Antioxidant Indexes in Jejunum
Assessment of the antioxidant indexes in jejunal tissues was conducted following the instructions provided with the kit assay from Nanjing Jiancheng Biological Company (Nanjing, China).
2.9. Gut Microbes
Total DNA was isolated from intestinal contents using a DNA extraction kit according to previous studies, after which DNA quality and concentration were examined. The V3-V4a fragments of 16S rDNA were amplified using a 20 μL PCR reaction solution, with DNA from intestinal contents serving as the template. The resulting PCR products were resolved and purified, and then libraries were constructed and sequenced according to the protocols of the Illumina MiSeq platform in Shanghai, China. The α diversity index and β diversity index were generated by Pasono Biotech (Shanghai, China) [18].
2.10. SCFAs
Following the method outlined by Liu et al. [19], a gram of cecal material was mixed with 15 mL of distilled water and spun at 5000 revolutions per minute for a duration of 10 min. Following this, 1 mL of the supernatant liquid was collected and mixed with 0.2 mL of a 25% metaphosphoric acid solution. Subsequently, the solution was centrifuged at 12,000 rpm for 10 min. The supernatant was gathered and filtered using a 0.22-micron membrane. The concentration of SCFAs in the supernatant was measured using high-performance ion chromatography (Thermo Scientific Dionex Ics-5000+, Waltham, MA, USA).
2.11. Statistical Analysis
Statistical analysis was performed using SPSS 23.0 software, with data expressed as the mean ± SEM. All data were assessed for normality and homogeneity of variance. If the assumptions were met, one-way ANOVA was performed, followed by Duncan’s test for comparisons. In cases where the assumptions were not met, non-parametric tests were utilized (Kruskal–Wallis test followed by Dunn’s post hoc test) [20]. Spearman’s correlation analysis was employed to assess the correlation between differential bacterial genera and SCFAs. The data were considered significant at a p-value threshold of less than 0.05. Histograms were plotted with GraphPad Prism version 8.
3. Results
3.1. Effects of Lactic Acid and Glyceryl Lactate on Growth Performance of Piglets
As shown in Table 1, the final body weight and ADG of piglets in both the GL and LG groups were notably greater than those in the control group (p < 0.05). Conversely, the GL and LG groups exhibited a notably reduced F:G ratio and diarrhea incidence as opposed to the control group. Furthermore, supplementing the diet with lactic acid notably decreased the diarrhea rate among piglets (p < 0.05), yet it did not significantly impact their final body weight, ADG, ADFI, or the F:G ratio.
Table 1.
Effects of lactic acid and glyceryl lactate on the growth performance of piglets.
3.2. Effects of Lactic Acid and Glyceryl Lactate on pH and Digestive Enzyme Activities of Digesta of Piglets
Figure 1 illustrates that the intestinal chyme pH was significantly lower in the LA and LG groups compared to the control group. Concurrently, the enzymatic activities of lipase, neutral protease, and α-amylase were substantially elevated in these groups (p < 0.05). Additionally, the incorporation of glyceryl lactate significantly increased the activities of lipase and neutral protease (p < 0.05).
Figure 1.
Effects of acidifiers on the pH and digestive enzyme activities of jejunal digesta. Values are mean ± SEM, n = 6. a, b, c: means without common letters differ at p < 0.05. CON = basal diet; LA = basal diet with 0.5% lactic acid; GL = basal diet with 0.5% glyceryl lactate; LG = basal diet with 0.5% lactic acid and 0.5% glyceryl lactate.
3.3. Effects of Lactic Acid and Glyceryl Lactate Jejunum Morphology of Piglets
Figure 2 shows that histopathological analysis revealed ruptured villi and mild vacuolar degeneration of epithelial cells in both the CON and LA groups. In contrast, no corresponding pathological changes were detected in the GL and LG groups. The LA, LG, and GL groups demonstrated significantly elevated villus crypt ratios when compared to the control group (p < 0.05).
Figure 2.
Effects of acidifiers on the morphology and histopathology of the jejunum in weaned piglets. (A) Histopathological sections of the jejunum on day 28; (B) morphological changes, including villus height, crypt depth, and villus height-to-crypt depth ratio, on day 28. Results are presented as mean ± SEM, n = 6. a, b: means without common letters differ at p < 0.05. CON = basal diet; LA = basal diet with 0.5% lactic acid; GL = basal diet with 0.5% glyceryl lactate; LG = basal diet with 0.5% lactic acid and 0.5% glyceryl lactate.
3.4. Effect of Lactic Acid and Glyceryl Lactate on Jejunal Tight Junction Proteins and Mucins in Piglets
Figure 3 shows that the inclusion of glyceryl lactate and mixed acids led to a significant increase in the expression of the occludin and MUC2 genes (p < 0.05). Furthermore, glyceryl lactate notably stimulated the expression of the ZO-1 gene, whereas the addition of mixed acids considerably enhanced the expression of the JAM2 gene (p < 0.05).
Figure 3.
Effects of acidifiers on the relative mRNA abundance of tight junction genes in the jejunum of piglets. Values are expressed as mean ± SEM, n = 6. a, b, c: means without common letters differ at p < 0.05. CON = basal diet; LA = basal diet with 0.5% lactic acid; GL = basal diet with 0.5% glyceryl lactate; LG = basal diet with 0.5% lactic acid and 0.5% glyceryl lactate.
3.5. Effects of Lactic Acid and Glyceryl Lactate Jejunum Antioxidant Markers in Piglets
Table 2 indicates that, across all groups, the jejunum of piglets exhibited significantly elevated levels of GPX and CAT (p < 0.05). Moreover, the addition of a mixture of 0.5% lactic acid and 0.5% glyceryl lactate significantly increased jejunal SOD levels in piglets (p < 0.05). Simultaneously, the incorporation of lactic acid and mixed acids led to a notable decrease in malondialdehyde (MDA) levels (p < 0.05).
Table 2.
Effects of lactic acid and glyceryl lactate jejunum antioxidant markers in piglets.
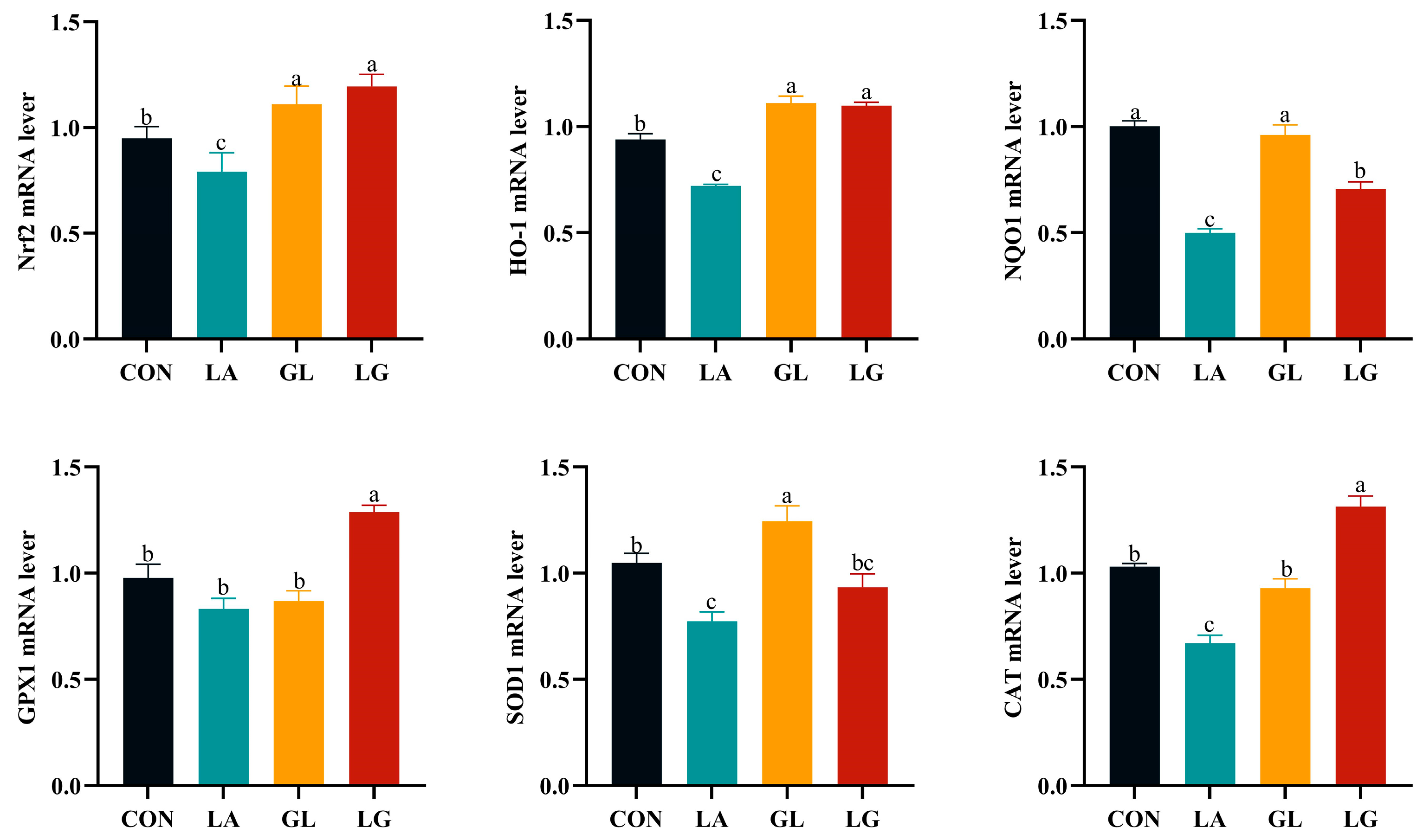
3.6. Effects of Lactic Acid and Glyceryl Lactate on mRNA Relative Expression of Nrf2 Signaling Pathway in Jejunum of Piglets
Referencing Figure 4, it was evident that the incorporation of glyceryl lactate led to a marked elevation in the relative expression of the genes Nrf2, HO-1, and SOD1 (p < 0.05). The addition of mixed acids significantly increased the relative expression levels of the Nrf2, HO-1, GPX1, and CAT genes (p < 0.05).
Figure 4.
Effects of acidifiers on the relative mRNA abundance of antioxidant genes in the jejunum of weaned piglets. Results are expressed as mean ± SEM. n = 6. a, b, c: means without common letters differ at p < 0.05. CON = basal diet; LA = basal diet with 0.5% lactic acid; GL = basal diet with 0.5% glyceryl lactate; LG = basal diet with 0.5% lactic acid and 0.5% glyceryl lactate.
3.7. Effects of Lactic Acid and Glyceryl Lactate on α and β Diversity of Cecum Microorganisms in Piglets
Sequencing data revealed a total of 520 shared variant sequences among the four groups, with respective counts of 2622 for the control group, 3514 for the LA group, 3219 for the GL group, and 2405 for the LG group (Figure 5A). The α-diversity index indicated that the addition of glyceryl lactate and mixed acids significantly elevated the Chao1 index and the number of observed OTUs (p < 0.05). Although the Simpson index did not exhibit significant variation, the Shannon index showed a significant increase in the three experimental groups (p < 0.05) (Figure 5B–E). Principal coordinate analysis showed that the addition of glycerol lactate and mixed acids significantly altered the cecum microbiota (p < 0.05) (Figure 5F,G).
Figure 5.
Effects of acidifiers on α and β diversity in the cecum of piglets. (A) Venn diagram showing unique and shared ASVs among the four treatment groups. The numbers represent the number of common elements between different sets or the unique elements within a specific set. (B–E) Comparison of alpha diversity indices, including Chao1 index, observed OTUs, Simpson index, and Shannon index. (F,G) Weighted UniFrac distance matrix analysis visualized by NMDS and PCoA, where each point represents a sample, and colors indicate different groups. The results are expressed as mean ± SEM. n = 4, a, b, c: means without common letters differ at p < 0.05. CON = basal diet; LA = basal diet with 0.5% lactic acid; GL = basal diet with 0.5% glyceryl lactate; LG = basal diet with 0.5% lactic acid and 0.5% glyceryl lactate.
3.8. Effects of Lactic Acid and Glyceryl Lactate on Phylum Level and Genus Level in Cecum of Piglets
At the phylum level, the cecum was predominantly inhabited by Firmicutes, Bacteroidetes, Proteobacteria, Actinobacteria, and Spirochaetota (Figure 6A). At the genus level, the seven predominant bacterial genera identified in the cecal microbiota included Prevotella, Alloprevotella, SFHR01, Lactobacillus, Streptococcus, Eubacterium, and Phascolarctobacterium, which likely play a crucial role in cecal function (Figure 6B). Analysis utilizing linear discriminant analysis effect size (LDA) scores greater than 2, as determined by LEfSe analysis, identified distinct microbial communities among the four groups. A total of 24 distinct microbial taxa were observed throughout the study, distributed as follows: 10 in the control group, 1 in the lactic acid-treated group, 3 in the glyceryl lactate group, and 10 in the mixed-acids group (Figure 6C). The incorporation of glycerol lactate notably enhanced the comparative prevalence of Faecalibaculum and Nocardiopsis; the addition of mixed acids significantly elevated the relative abundance of Faecalibaculum, Collinsella, and CAG269 (p < 0.05). Meanwhile, Allobaculum and Enterococcus in both the GL and LG groups were significantly decreased (p < 0.05) (Figure 6D–I).
Figure 6.
Composition of the microbial community at the phylum and genus levels. (A,B) Colored bar charts show the relative abundance of microbial taxa. (C) LEfSe analysis identifies differentially abundant taxa in the cecal chyme microbiota community, showing only taxonomies with LDA scores > 2. (D–I) Relative abundances of Faecalibaculum, Nocardiopsis, Collinsella, CAG269, Allobaculum, and Enterococcus across the four groups. Results are expressed as mean ± SEM, n = 4. a, b: means without common letters differ at p < 0.05. CON = basal diet; LA = basal diet with 0.5% lactic acid; GL = basal diet with 0.5% glyceryl lactate; LG = basal diet with 0.5% lactic acid and 0.5% glyceryl lactate.
3.9. Effects of Lactic Acid and Glyceryl Lactate on the Concentration of SCFAs in the Cecum of Piglets
Table 3 shows that the levels of acetic acid in the three experimental groups were significantly higher than those in the control group (p < 0.05). The addition of 0.5% glyceryl lactate alone and a mixture of 0.5% lactic acid with 0.5% glyceryl lactate both significantly increased the butyric acid content (p < 0.05).
Table 3.
Effects of lactic acid and glyceryl lactate on the concentration of SCFAs in the cecum of piglets.
3.10. Correlation Analysis Between Differential Bacteria and SCFAs
Spearman correlation analysis was conducted to assess the associations between differential bacteria and SCFAs (Figure 7). The results indicated that Faecalibaculum exhibited positive associations with acetic, propionic, and butyric acids. Furthermore, Nocardiopsis demonstrated a positive correlation with propionic acid. Collinsella was positively correlated with acetic and butyric acids, whereas Allobaculum displayed negative correlations with both acetic and butyric acids.
Figure 7.
Spearman correlation analysis between differential bacteria and SCFAs. * p < 0.05, ** p < 0.01.
4. Discussion
When piglets are weaned, dietary and environmental changes can induce weaning stress. The transition from easily digestible liquid milk to more complex solid diets, which are more difficult to digest, places significant stress on the gastrointestinal system. This often results in digestive issues and diarrhea, which adversely affects growth and performance [21]. This research has shown that 0.5% glyceryl lactate alone and a mixture of 0.5% lactic acid with 0.5% glyceryl lactate significantly enhance the growth performance of piglets, while both supplements and the mixture effectively reduce the incidence of diarrhea. Furthermore, the research of Xu et al. [22] demonstrated that the addition of acidifiers to drinking water led to enhanced growth performance and survival rates in weaned piglets. Additionally, Li et al. [23] found that incorporating 2000 mg/kg of a complex organic acid mixture—comprised of at least 23.9% formic acid, 14.5% lactic acid, and 4.0% citric acid—into the diets of piglets significantly improved daily weight gain and reduced the frequency of diarrhea. Research has consistently indicated that organic acids, whether utilized individually or in combinations, can enhance growth and health outcomes in young pigs [24], broiler chickens [25], and quail [26]. Consistent with our study, pH is a critical factor in an animal’s digestive environment and directly influences digestion and nutrient absorption. The gastrointestinal systems of recently weaned piglets are immature, characterized by weak gastric acid secretion, low lactic acid production, and a gastrointestinal pH that is highly susceptible to external influences. Full-priced feeds contain many acid-buffering substances, such as calcium hydrogen phosphate and stone powder, which can raise intestinal pH compared to levels prior to weaning. An increase in pH can inhibit the function of digestive enzymes and alter the intestinal microbiota, thereby compromising the digestive environment, reducing the surface area available for digestion and absorption, causing damage to the intestinal mucosal barrier, and lowering immunity [27]. In this experiment, we observed that both 0.5% lactic acid and a mixture of 0.5% lactic acid and 0.5% glyceryl lactate significantly lowered intestinal cecal pH while enhancing digestive enzyme activity. The study found that incorporating organic acids in feed reduces gastrointestinal pH, curbs the proliferation of harmful bacteria, and increases protease activity, thereby facilitating nutrient digestion [7]. Hoseini et al. [28] further disclosed that dietary supplementation with lactic acid boosted the intestinal enzymatic activities of trypsin, lipase, and amylase in carp. In summary, the addition of acidifiers to diets not only boosts piglet growth performance but also maintains optimal intestinal pH, positioning lactic acid and glyceryl lactate as promising options for improving piglet growth performance.
The dimensions of intestinal villi and crypts, as well as their ratio, are crucial for assessing the health and functionality of the intestines [29]. Weaning piglets at an early age leads to a reduction in the size of intestinal villi and an extension of crypts. This results in a diminished absorptive surface area within the small intestine, consequently lowering the efficiency of nutrient absorption [30]. The intestinal structure of weaned piglets was found to be enhanced by 0.5% lactic acid, 0.5% glyceryl lactate, and a mixture of 0.5% lactic acid and 0.5% glyceryl lactate, according to the study’s results. Abd El-Ghany [31] demonstrated that dietary supplementation with 0.5% and 1.0% formic acid significantly increased intestinal villus height. Additionally, acidifier supplementation has been shown to enhance gut morphology in Coturnix japonica [26], which aligns with our findings. SCFAs enhance the integrity of the intestinal mechanical barrier by strengthening the tight junctions between intestinal epithelial cells [32]. Proteins forming tight junctions are essential for the physical barrier of the intestines. This barrier, predominantly composed of membrane protein complexes such as junctional adhesion molecules (JAM), occludin, and claudins, acts as the first line of defense against harmful substances [33]. Modifications to the structure and function of tight junctions can potentially undermine the completeness of the intestinal barrier. Mucins (MUC) are key components of the intestinal mucosal barrier, secreted by goblet cells, forming the initial defense within the mucosal barrier, inhibiting pathogen adhesion, and preserving the intestinal environment’s homeostasis [34]. In our experiment, we observed that both 0.5% glyceryl lactate and a mixture of 0.5% lactic acid and 0.5% glyceryl lactate significantly increased the relative gene expression of the tight junction protein occludin, as well as the mucin MUC2. Research by Ma et al. [35] indicated that feeding with microencapsulated essential oils and organic acids led to an upregulation of mRNA levels for occludin, claudin-1, and MUC2 in the ileum of piglets. These findings suggest that incorporating an acidifier can enhance both the morphological structure and the barrier functionality of the intestines in piglets.
The practice of early weaning in animal production has been observed to induce a significant increase in reactive oxygen species (ROS) production in piglets, which has been identified as a primary contributor to induced oxidative stress [36]. Antioxidant enzyme levels, along with MDA and hydrogen peroxide (H2O2), are commonly used indicators to evaluate the state of oxidative stress within the body [37]. Research findings indicate significant increases in the levels of antioxidant enzymes such as GPX and CAT, coupled with a notable decrease in MDA levels within the GL and LG groups. Additionally, Xu et al. [22] found that the administration of acidifiers in drinking water enhanced serum catalase levels and T-AOC while concurrently reducing MDA concentrations in weaned piglets. These results align with our findings. SCFAs exhibit antioxidant effects as modulators of Nrf2 redox signaling, with many studies focusing primarily on butyrate [38]. A wealth of research has demonstrated that antioxidant enzymes, including SOD and GSH, are under the regulatory control of the Nrf2 signaling pathway. The study showed that acidifying agents protect cells from ROS damage by activating the Nrf2 signaling pathway, increasing SOD and GSH enzyme activities and decreasing MDA levels [39,40]. In our experiment, we observed a significant increase in the relative expression of the Nrf2 and HO-1 genes in the Nrf2 signaling pathway among the GL and LG groups, as well as elevated levels of SOD1 in the GL group and the GPX1 and CAT genes in the LG group. Chen et al. [41] reported that chlorogenic acid enhances the antioxidant defenses in piglets by inhibiting the TLR4/NF-κB pathway and activating the Nrf2 pathway, which leads to increased levels of jejunal glutathione peroxidase and catalase, alongside reduced levels of MDA. Moreover, Xiao et al. [42] documented that the incorporation of ellagic acid in the diet enhanced the expression of Nrf2 protein, which in turn increased the concentrations of HO-1 and NQO1 proteins in the mucosa of the small intestine. In summary, lactic acid and glyceryl lactate enhance intestinal oxidative stress levels, potentially through the activation of the Nrf2/HO-1 signaling pathway.
Gut microbes also contribute actively to the preservation of gut health in weaned piglets [43]. SCFAs are the end products of microbial fermentation of carbohydrates, and fermentation occurs primarily in the hindgut of the animal intestine. Acetate, propionate, and butyrate constitute the primary SCFAs, with their molar proportions being 12:5:3 [7]. No single bacterium is capable of breaking down all nutrient substrates or producing all three SCFAs via carbohydrate fermentation. Consequently, the diversity and distribution of SCFAs in the gut reflect metabolic collaboration among various microorganisms [32]. In this study, Faecalibaculum demonstrated a significant increase, whereas Allobaculum and Enterococcus showed significant decreases in the GL and LG groups. Additionally, there was a notable increase in Nocardiopsis in the GL group and in Collinsella and CAG269 in the LG group. Faecalibaculum is recognized for its ability to produce butyrate, contributing to the regulation of homeostasis in intestinal epithelial cells [44]. Collinsella has antioxidant and anti-apoptotic effects [45]. Although Collinsella is not a major SCFA-producing bacterium, it has been suggested that Collinsella may be indirectly involved in regulating the production of SCFAs by influencing the endocannabinoid system [46]. Thus, the elevation of butyric acid levels in the GL and LG groups may be attributed to the increased presence of both Faecalibaculum and Collinsella, facilitating reduced jejunal oxidative stress through the Nrf2 signaling pathway. Although Allobaculum and Enterococcus are known to generate SCFAs and support intestinal barrier function, their levels were reduced in the GL and LG groups. This reduction may stem from the intestinal microbiota’s limited capacity to efficiently metabolize these organic acids, leading to slower growth rates for these genera [47]. Furthermore, Nocardiopsis was capable of producing a variety of active substances, such as surfactant, anti-cancer substances, etc. [48], and CAG269 has been associated with fat accumulation in the liver [49]. This study did not elucidate the reasons behind the observed changes in the populations of these two genera within the gut, warranting further investigation to understand their potential implications for intestinal health.
5. Conclusions
In summary, our findings indicate that the addition of 0.5% glyceryl lactate, either alone or in combination with 0.5% lactic acid, positively influences the growth performance and intestinal health of weaned piglets. The mechanisms underlying these benefits may be associated with enhanced intestinal antioxidant capacity, alterations in gut microbiota composition, and increased SCFA levels.
Supplementary Materials
The following supporting information can be downloaded at: https://www.mdpi.com/article/10.3390/antiox14040391/s1, Table S1: Basal diet composition and nutrient level; Table S2: Diarrhea index score; Table S3: List of primers used for Q-PCR analysis.
Author Contributions
S.G.: Writing—review and editing, Writing—original draft, Visualization, Methodology, Investigation, Formal analysis, and Conceptualization. H.C.: Visualization, Methodology, and Investigation. B.P.: Methodology and Investigation. J.N.: Methodology and Investigation. X.Y.: Methodology and Investigation. Y.G.: Visualization, Investigation, and Conceptualization. Z.W.: Writing—review and editing, Visualization, Validation and Conceptualization. W.Z.: Writing—review and editing, Visualization, Validation, and Conceptualization. All authors have read and agreed to the published version of the manuscript.
Funding
Funding for this research was provided by a grant from the Postgraduate Education Reform and Quality Improvement Project of Henan Province, with the grant number 24JX0098.
Institutional Review Board Statement
The animal study protocol was approved by the Animal Ethics Committee of Henan Agricultural University (protocol code HNND2024031234; date of approval: 11 March 2024).
Informed Consent Statement
Informed consent was obtained from all subjects involved in the study.
Data Availability Statement
Data are contained within the article.
Acknowledgments
The authors would like to thank Guang Guo for his assistance with the experiments.
Conflicts of Interest
The authors declare no conflict of interest.
References
- Campbell, J.M.; Crenshaw, J.D.; Polo, J. The biological stress of early weaned piglets. J. Anim. Sci. Biotechnol. 2013, 4, 19. [Google Scholar] [CrossRef]
- Tang, X.; Xiong, K.; Fang, R.; Li, M. Weaning stress and intestinal health of piglets: A review. Front. Immunol. 2022, 13, 1042778. [Google Scholar] [CrossRef] [PubMed]
- Chopra, S.L.; Blackwood, A.C.; Dale, D.G. Enteritis of Early Weaned Pigs: I. Enteropathogenic Escherichia coli. Can. J. Comp. Med. Vet. Sci. 1964, 28, 239–247. [Google Scholar]
- Shao, Y.; Wang, Y.; Yuan, Y.; Xie, Y. A systematic review on antibiotics misuse in livestock and aquaculture and regulation implications in China. Sci. Total Environ. 2021, 798, 149205. [Google Scholar] [CrossRef]
- Ahmed, S.T.; Hwang, J.A.; Hoon, J.; Mun, H.S.; Yang, C.J. Comparison of single and blend acidifiers as alternative to antibiotics on growth performance, fecal microflora, and humoral immunity in weaned piglets. Asian-Australas. J. Anim. Sci. 2014, 27, 93–100. [Google Scholar] [CrossRef]
- Wang, H.; Long, W.; Chadwick, D.; Zhang, X.; Zhang, S.; Piao, X.; Hou, Y. Dietary acidifiers as an alternative to antibiotics for promoting pig growth performance: A systematic review and meta-analysis. Anim. Feed. Sci. Technol. 2022, 289, 115320. [Google Scholar] [CrossRef]
- Tugnoli, B.; Giovagnoni, G.; Piva, A.; Grilli, E. From Acidifiers to Intestinal Health Enhancers: How Organic Acids Can Improve Growth Efficiency of Pigs. Animals 2020, 10, 134. [Google Scholar] [CrossRef]
- Xiang, X.D.; Deng, Z.C.; Wang, Y.W.; Sun, H.; Wang, L.; Han, Y.M.; Wu, Y.Y.; Liu, J.G.; Sun, L.H. Organic Acids Improve Growth Performance with Potential Regulation of Redox Homeostasis, Immunity, and Microflora in Intestines of Weaned Piglets. Antioxidants 2021, 10, 1665. [Google Scholar] [CrossRef]
- Li, H.; Zhang, Y.; Xie, J.; Wang, C.; Yi, D.; Wu, T.; Wang, L.; Zhao, D.; Hou, Y. Dietary Supplementation with Mono-Lactate Glyceride Enhances Intestinal Function of Weaned Piglets. Animals 2023, 13, 1303. [Google Scholar] [CrossRef]
- Wu, T.; Li, K.; Lyu, Y.; Yi, D.; Zhao, D.; Wang, L.; Ding, B.; Hou, Y.; Wu, G. Trilactic glyceride regulates lipid metabolism and improves gut function in piglets. Front. Biosci. Landmark 2020, 25, 1324–1336. [Google Scholar] [CrossRef]
- National Research Council; Division on Earth, Life Studies; Board on Agriculture and Natural Resources; Committee on Nutrient Requirements of Swine. Nutrient Requirements of Swine; The National Academic Press: Washington, DC, USA, 2012. [Google Scholar]
- ISO9831:1998. Available online: https://www.iso.org/standard/17702.html (accessed on 23 March 2025).
- GB/T6432-2018. Available online: https://openstd.samr.gov.cn/bzgk/gb/newGbInfo?hcno=9523E30B3D6AA9362B2BD5CAD8A0633F (accessed on 23 March 2025).
- GB/T13885-2017. Available online: https://openstd.samr.gov.cn/bzgk/gb/std_list?p.p1=0&p.p90=circulation_date&p.p91=desc&p.p2=GB/T%2013885-2017 (accessed on 23 March 2025).
- GB/T18246-2019. Available online: https://openstd.samr.gov.cn/bzgk/gb/std_list?p.p1=0&p.p90=circulation_date&p.p91=desc&p.p2=GB/T%2018246-2019 (accessed on 23 March 2025).
- Gong, L.; Mahmood, T.; Mercier, Y.; Xu, H.; Zhang, X.; Zhao, Y.; Luo, Y.; Guo, Y. Dietary methionine sources and levels modulate the intestinal health status of broiler chickens. Anim. Nutr. 2023, 15, 242–255. [Google Scholar] [CrossRef] [PubMed]
- Shi, Z.; Wang, T.; Kang, J.; Li, Y.; Li, Y.; Xi, L. Effects of Weaning Modes on the Intestinal pH, Activity of Digestive Enzymes, and Intestinal Morphology of Piglets. Animals 2022, 12, 2200. [Google Scholar] [CrossRef] [PubMed]
- Teng, M.; Sun, J.; Zhao, L.; Li, Y.; Zhang, Z.; Zhu, W.; Zhang, Y.; Xu, F.; Xing, S.; Zhao, X.; et al. Effects of BBIBP-CorV vaccine on gut microbiota and short-chain fatty acids in mice exposed to bis (2-ethylhexyl) phthalate and dioctyl terephthalate. Environ. Int. 2024, 190, 108851. [Google Scholar] [CrossRef] [PubMed]
- Liu, Y.S.; Li, S.; Wang, X.F.; Xing, T.; Li, J.L.; Zhu, X.D.; Zhang, L.; Gao, F. Microbiota populations and short-chain fatty acids production in cecum of immunosuppressed broilers consuming diets containing γ-irradiated Astragalus polysaccharides. Poult. Sci. 2021, 100, 273–282. [Google Scholar] [CrossRef]
- Yang, X.; Zheng, H.; Niu, J.; Chen, X.; Li, H.; Rao, Z.; Guo, Y.; Zhang, W.; Wang, Z. Curcumin alleviates zearalenone-induced liver injury in mice by scavenging reactive oxygen species and inhibiting mitochondrial apoptosis pathway. Ecotoxicol. Environ. Saf. 2024, 277, 116343. [Google Scholar] [CrossRef]
- Zhou, M.; Wu, Z.; Deng, D.; Wang, B.; Zhou, X.; Zhou, B.; Wang, C.; Zeng, Y. Effects of taurine on the growth performance, diarrhea, oxidative stress and intestinal barrier function of weanling piglets. Front. Vet. Sci. 2024, 11, 1436282. [Google Scholar] [CrossRef]
- Xu, Q.-L.; Liu, C.; Mo, X.-J.; Chen, M.; Zhao, X.-L.; Liu, M.-Z.; Wang, S.-B.; Zhou, B.; Zhao, C.-X. Drinking Water Supplemented with Acidifiers Improves the Growth Performance of Weaned Pigs and Potentially Regulates Antioxidant Capacity, Immunity, and Gastrointestinal Microbiota Diversity. Antioxidants 2022, 11, 809. [Google Scholar] [CrossRef]
- Li, M.; Zhang, L.; Pan, L.; Zhou, P.; Yu, R.; Zhang, Z.; Lv, J.; Guo, H.; Wang, Y.; Xiao, S.; et al. Nicotinamide Efficiently Suppresses Porcine Epidemic Diarrhea Virus and Porcine Deltacoronavirus Replication. Viruses 2023, 15, 1591. [Google Scholar] [CrossRef]
- Walsh, M.C.; Sholly, D.M.; Hinson, R.B.; Saddoris, K.L.; Sutton, A.L.; Radcliffe, J.S.; Odgaard, R.; Murphy, J.; Richert, B.T. Effects of water and diet acidification with and without antibiotics on weanling pig growth and microbial shedding. J. Anim. Sci. 2007, 85, 1799–1808. [Google Scholar] [CrossRef]
- Qiu, K.; Chen, Z.; Zheng, A.; Chang, W.; Cai, H.; Zhang, X.; Liu, G. Augmentation of Performance, Carcass Trait, Biochemical Profile and Lipid Metabolism Concerning the Use of Organic Acidifier in Broiler Chickens. Agriculture 2023, 13, 1765. [Google Scholar] [CrossRef]
- Aliverdi-Nasab, K.; Zhandi, M.; Yousefi, A.R.; Zahedi, V.; Rafieian-Naeini, H.R. The effect of acidifier supplementation on egg production performance and intestinal histology of Japanese quail (Coturnix japonica). Vet. Med. Sci. 2023, 9, 263–271. [Google Scholar] [CrossRef] [PubMed]
- Huting, A.M.S.; Middelkoop, A.; Guan, X.; Molist, F. Using Nutritional Strategies to Shape the Gastro-Intestinal Tracts of Suckling and Weaned Piglets. Animals 2021, 11, 402. [Google Scholar] [CrossRef] [PubMed]
- Hoseini, S.M.; Yousefi, M.; Afzali-Kordmahalleh, A.; Pagheh, E.; Taheri Mirghaed, A. Effects of Dietary Lactic Acid Supplementation on the Activity of Digestive and Antioxidant Enzymes, Gene Expressions, and Bacterial Communities in the Intestine of Common Carp, Cyprinus carpio. Animals 2023, 13, 1934. [Google Scholar] [CrossRef] [PubMed]
- Elhassan, M.M.O.; Ali, A.M.; Blanch, A.; Kehlet, A.B.; Madekurozwa, M.C. Morphological Responses of the Small Intestine of Broiler Chicks to Dietary Supplementation with a Probiotic, Acidifiers, and Their Combination. J. Appl. Poult. Res. 2019, 28, 108–117. [Google Scholar] [CrossRef]
- Wang, M.; Wang, L.; Tan, X.; Wang, L.; Xiong, X.; Wang, Y.; Wang, Q.; Yang, H.; Yin, Y. The developmental changes in intestinal epithelial cell proliferation, differentiation, and shedding in weaning piglets. Anim. Nutr. 2022, 9, 214–222. [Google Scholar] [CrossRef]
- Abd El-Ghany, W.A. Applications of Organic Acids in Poultry Production: An Updated and Comprehensive Review. Agriculture 2024, 14, 1756. [Google Scholar] [CrossRef]
- Ma, J.; Piao, X.; Mahfuz, S.; Long, S.; Wang, J. The interaction among gut microbes, the intestinal barrier and short chain fatty acids. Anim. Nutr. 2022, 9, 159–174. [Google Scholar] [CrossRef]
- de Groot, N.; Fariñas, F.; Cabrera-Gómez, C.G.; Pallares, F.J.; Ramis, G. Blend of organic acids improves gut morphology and affects inflammation response in piglets after weaning. Front. Anim. Sci. 2024, 5, 1308514. [Google Scholar] [CrossRef]
- Long, S.F.; Xu, Y.T.; Pan, L.; Wang, Q.Q.; Wang, C.L.; Wu, J.Y.; Wu, Y.Y.; Han, Y.M.; Yun, C.H.; Piao, X.S. Mixed organic acids as antibiotic substitutes improve performance, serum immunity, intestinal morphology and microbiota for weaned piglets. Anim. Feed. Sci. Technol. 2018, 235, 23–32. [Google Scholar] [CrossRef]
- Ma, J.; Long, S.; Wang, J.; Gao, J.; Piao, X. Microencapsulated essential oils combined with organic acids improves immune antioxidant capacity and intestinal barrier function as well as modulates the hindgut microbial community in piglets. J. Anim. Sci. Biotechnol. 2022, 13, 16. [Google Scholar] [CrossRef]
- Hao, Y.; Xing, M.; Gu, X. Research Progress on Oxidative Stress and Its Nutritional Regulation Strategies in Pigs. Animals 2021, 11, 1384. [Google Scholar] [CrossRef] [PubMed]
- Orengo, J.; Hernández, F.; Martínez-Miró, S.; Sánchez, C.J.; Peres Rubio, C.; Madrid, J. Effects of Commercial Antioxidants in Feed on Growth Performance and Oxidative Stress Status of Weaned Piglets. Animals 2021, 11, 266. [Google Scholar] [CrossRef] [PubMed]
- González-Bosch, C.; Boorman, E.; Zunszain, P.A.; Mann, G.E. Short-chain fatty acids as modulators of redox signaling in health and disease. Redox Biol. 2021, 47, 102165. [Google Scholar] [CrossRef] [PubMed]
- Wang, G.Q.; He, X.M.; Zhu, G.F.; Li, D.D.; Shi, J.S.; Zhang, F. Ellagic acid supports neuron by regulating astroglia Nrf2. Biotechnol. Appl. Biochem. 2019, 66, 738–743. [Google Scholar] [CrossRef]
- Wei, Y.Z.; Zhu, G.F.; Zheng, C.Q.; Li, J.J.; Sheng, S.; Li, D.D.; Wang, G.Q.; Zhang, F. Ellagic acid protects dopamine neurons from rotenone-induced neurotoxicity via activation of Nrf2 signalling. J. Cell. Mol. Med. 2020, 24, 9446–9456. [Google Scholar] [CrossRef]
- Chen, J.; Yu, B.; Chen, D.; Huang, Z.; Mao, X.; Zheng, P.; Yu, J.; Luo, J.; He, J. Chlorogenic acid improves intestinal barrier functions by suppressing mucosa inflammation and improving antioxidant capacity in weaned pigs. J. Nutr. Biochem. 2018, 59, 84–92. [Google Scholar] [CrossRef]
- Xiao, Y.; Huang, R.; Wang, N.; Deng, Y.; Tan, B.; Yin, Y.; Qi, M.; Wang, J. Ellagic Acid Alleviates Oxidative Stress by Mediating Nrf2 Signaling Pathways and Protects against Paraquat-Induced Intestinal Injury in Piglets. Antioxidants 2022, 11, 252. [Google Scholar] [CrossRef]
- Sun, X.; Cui, Y.; Su, Y.; Gao, Z.; Diao, X.; Li, J.; Zhu, X.; Li, D.; Li, Z.; Wang, C.; et al. Dietary Fiber Ameliorates Lipopolysaccharide-Induced Intestinal Barrier Function Damage in Piglets by Modulation of Intestinal Microbiome. mSystems 2021, 6, e01374-20. [Google Scholar] [CrossRef]
- Tian, B.; Geng, Y.; Wang, P.; Cai, M.; Neng, J.; Hu, J.; Xia, D.; Cao, W.; Yang, K.; Sun, P. Ferulic acid improves intestinal barrier function through altering gut microbiota composition in high-fat diet-induced mice. Eur. J. Nutr. 2022, 61, 3767–3783. [Google Scholar] [CrossRef]
- Hirayama, M.; Nishiwaki, H.; Hamaguchi, T.; Ito, M.; Ueyama, J.; Maeda, T.; Kashihara, K.; Tsuboi, Y.; Ohno, K. Intestinal Collinsella may mitigate infection and exacerbation of COVID-19 by producing ursodeoxycholate. PLoS ONE 2021, 16, e0260451. [Google Scholar] [CrossRef]
- Vijay, A.; Kouraki, A.; Gohir, S.; Turnbull, J.; Kelly, A.; Chapman, V.; Barrett, D.A.; Bulsiewicz, W.J.; Valdes, A.M. The anti-inflammatory effect of bacterial short chain fatty acids is partially mediated by endocannabinoids. Gut Microbes 2021, 13, 1997559. [Google Scholar] [CrossRef] [PubMed]
- Van Zyl, W.F.; Deane, S.M.; Dicks, L.M.T. Molecular insights into probiotic mechanisms of action employed against intestinal pathogenic bacteria. Gut Microbes 2020, 12, 1831339. [Google Scholar] [CrossRef] [PubMed]
- Bennur, T.; Kumar, A.R.; Zinjarde, S.; Javdekar, V. Nocardiopsis species: Incidence, ecological roles and adaptations. Microbiol. Res. 2015, 174, 33–47. [Google Scholar] [CrossRef] [PubMed]
- Cheng, R.; Wang, L.; Le, S.; Yang, Y.; Zhao, C.; Zhang, X.; Yang, X.; Xu, T.; Xu, L.; Wiklund, P.; et al. A randomized controlled trial for response of microbiome network to exercise and diet intervention in patients with nonalcoholic fatty liver disease. Nat. Commun. 2022, 13, 2555. [Google Scholar] [CrossRef]
Disclaimer/Publisher’s Note: The statements, opinions and data contained in all publications are solely those of the individual author(s) and contributor(s) and not of MDPI and/or the editor(s). MDPI and/or the editor(s) disclaim responsibility for any injury to people or property resulting from any ideas, methods, instructions or products referred to in the content. |
© 2025 by the authors. Licensee MDPI, Basel, Switzerland. This article is an open access article distributed under the terms and conditions of the Creative Commons Attribution (CC BY) license (https://creativecommons.org/licenses/by/4.0/).






