Effects of Integrated Extracts of Trigonella foenum-graecum and Asparagus racemosus on Hot Flash-like Symptoms in Ovariectomized Rats
Abstract
1. Introduction
2. Materials and Methods
2.1. Animals
2.2. Study Design
2.3. Laboratory Analyses
2.3.1. Biochemical Analyses
2.3.2. Western Blot Analysis
2.4. Statistical Analysis
3. Results
3.1. Body and Tail Temperatures
3.2. Body Weight and Feed Intake
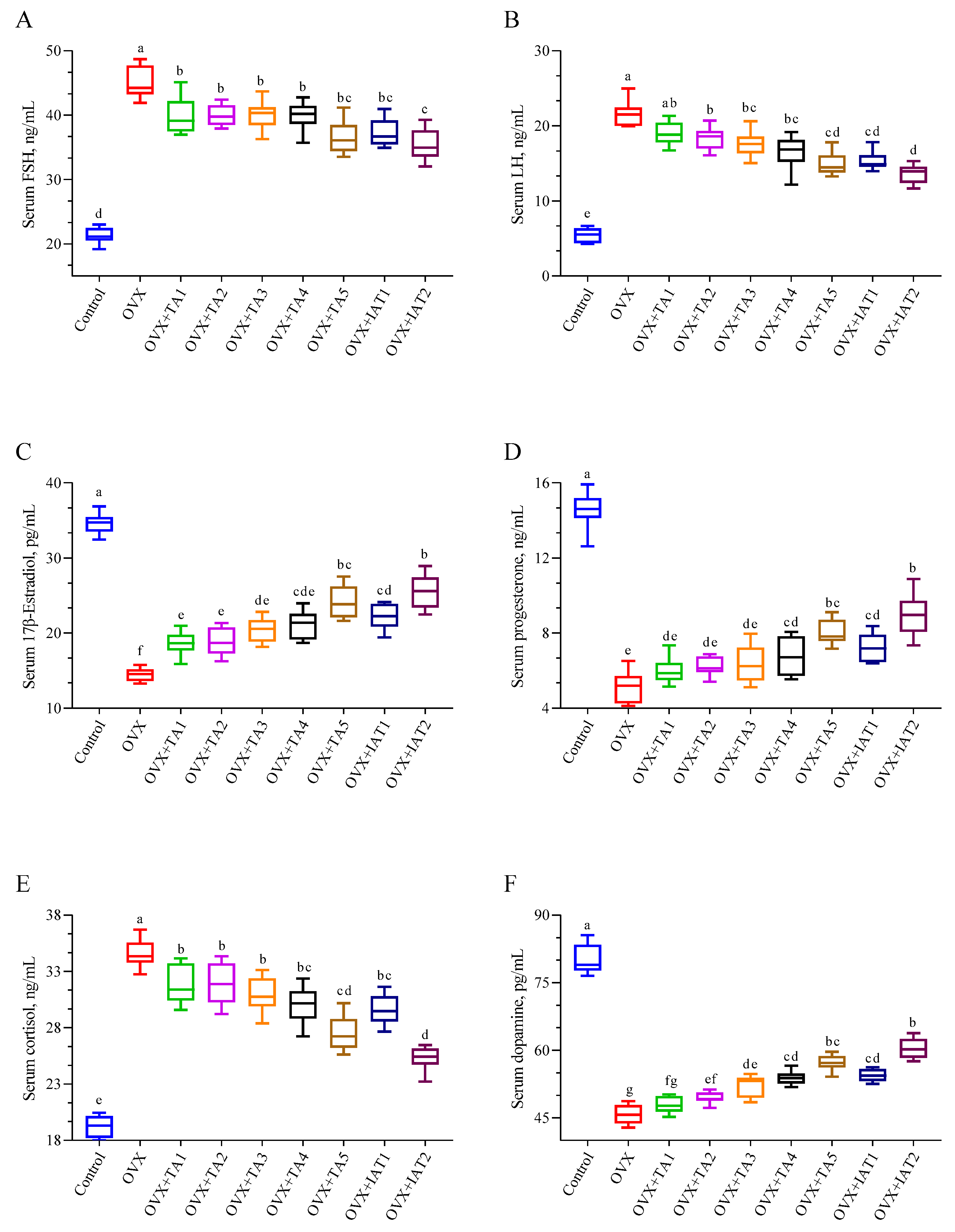
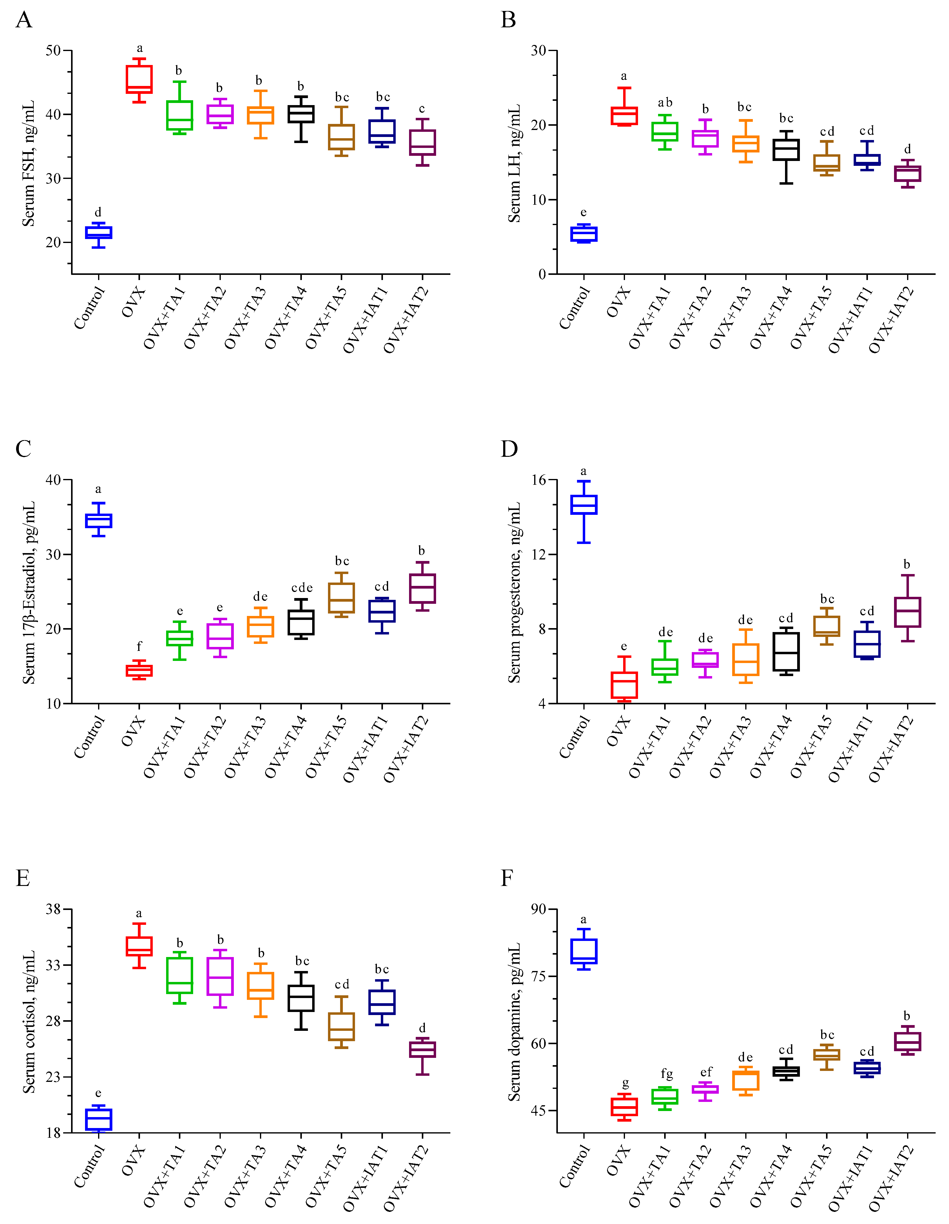
3.3. Serum Biochemical Parameters
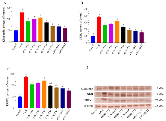
3.4. Kisspeptin, NKB, TRPV1, c-FOS, BDNF, and GnRH Levels
4. Discussion
5. Conclusions
Supplementary Materials
Author Contributions
Funding
Institutional Review Board Statement
Informed Consent Statement
Data Availability Statement
Acknowledgments
Conflicts of Interest
References
- Steels, E.; Steele, M.; Harold, M.; Adams, L.; Coulson, S. A Double-Blind, Randomized, Placebo-Controlled Trial Evaluating Safety and Efficacy of an Ayurvedic Botanical Formulation in Reducing Menopausal Symptoms in Otherwise Healthy Women. J. Herb. Med. 2018, 11, 30–35. [Google Scholar] [CrossRef]
- Shapiro, M. Menopause Practice. Can. Fam. Physician 2012, 58, 989. [Google Scholar]
- Wilson, M.; Konda, V.; Heidt, K.; Rathinasabapathy, T.; Desai, A.; Komarnytsky, S. Rheum rhaponticum Root Extract Improves Vasomotor Menopausal Symptoms and Estrogen-Regulated Targets in Ovariectomized Rat Model. Int. J. Mol. Sci. 2021, 22, 1032. [Google Scholar] [CrossRef] [PubMed]
- Kanadys, W.; Barańska, A.; Błaszczuk, A.; Polz-Dacewicz, M.; Drop, B.; Kanecki, K.; Malm, M. Evaluation of Clinical Meaningfulness of Red Clover (Trifolium pratense L.) Extract to Relieve Hot Flushes and Menopausal Symptoms in Peri- and Post-Menopausal Women: A Systematic Review and Meta-Analysis of Randomized Controlled Trials. Nutrients 2021, 13, 1258. [Google Scholar] [CrossRef]
- Thurston, R.C. Vasomotor Symptoms: Natural History, Physiology, and Links with Cardiovascular Health. Climacteric 2018, 21, 96–100. [Google Scholar] [CrossRef]
- Van Dijk, G.M.; Kavousi, M.; Troup, J.; Franco, O.H. Health Issues for Menopausal Women: The Top 11 Conditions Have Common Solutions. Maturitas 2015, 80, 24–30. [Google Scholar] [CrossRef]
- Barton, D.; Loprinzi, C.; Wahner-Roedler, D. Hot Flashes: Aetiology and Management. Drugs Aging 2001, 18, 597–606. [Google Scholar] [CrossRef]
- Mittelman-Smith, M.A.; Williams, H.; Krajewski-Hall, S.J.; McMullen, N.T.; Rance, N.E. Role for Kisspeptin/Neurokinin B/Dynorphin (KNDy) Neurons in Cutaneous Vasodilatation and the Estrogen Modulation of Body Temperature. Proc. Natl. Acad. Sci. USA 2012, 109, 19846–19851. [Google Scholar] [CrossRef]
- Freedman, R.R. Menopausal Hot Flashes: Mechanisms, Endocrinology, Treatment. J. Steroid. Biochem. Mol. Biol. 2014, 142, 115–120. [Google Scholar] [CrossRef]
- Xu, G.; Zhao, X.; Li, Z.; Hu, J.; Li, X.; Li, J.; Chen, Y. Effects of Electroacupuncture on the Kisspeptin-Gonadotropin-Releasing Hormone (GnRH)/Luteinizing Hormone (LH) Neural Circuit Abnormalities and Androgen Receptor Expression of Kisspeptin/Neurokinin B/Dynorphin Neurons in PCOS Rats. J. Ovarian. Res. 2023, 16, 15. [Google Scholar] [CrossRef]
- Rometo, A.M.; Krajewski, S.J.; Lou Voytko, M.; Rance, N.E. Hypertrophy and Increased Kisspeptin Gene Expression in the Hypothalamic Infundibular Nucleus of Postmenopausal Women and Ovariectomized Monkeys. J. Clin. Endocrinol. Metab. 2007, 92, 2744–2750. [Google Scholar] [CrossRef] [PubMed]
- Rance, N.E.; Dacks, P.A.; Mittelman-Smith, M.A.; Romanovsky, A.A.; Krajewski-Hall, S.J. Modulation of Body Temperature and LH Secretion by Hypothalamic KNDy (Kisspeptin, Neurokinin B and Dynorphin) Neurons: A Novel Hypothesis on the Mechanism of Hot Flushes. Front. Neuroendocrinol. 2013, 34, 211–227. [Google Scholar] [CrossRef] [PubMed]
- Priest, C.A.; Roberts, J.L. Estrogen and Tamoxifen Differentially Regulate Beta-Endorphin and cFos Expression and Neuronal Colocalization in the Arcuate Nucleus of the Rat. Neuroendocrinology 2000, 72, 293–305. [Google Scholar] [CrossRef] [PubMed]
- Nilsson, S.; Henriksson, M.; Berin, E.; Engblom, D.; Holm, A.-C.S.; Hammar, M. Resistance Training Reduced Luteinising Hormone Levels in Postmenopausal Women in a Substudy of a Randomised Controlled Clinical Trial: A Clue to How Resistance Training Reduced Vasomotor Symptoms. PLoS ONE 2022, 17, e0267613. [Google Scholar] [CrossRef]
- Rometo, A.M.; Rance, N.E. Changes in Prodynorphin Gene Expression and Neuronal Morphology in the Hypothalamus of Postmenopausal Women. J. Neuroendocrinol. 2008, 20, 1376–1381. [Google Scholar] [CrossRef]
- Ramaswamy, S.; Seminara, S.B.; Plant, T.M. Evidence from the Agonadal Juvenile Male Rhesus Monkey (Macaca mulatta) for the View That the Action of Neurokinin B to Trigger Gonadotropin-Releasing Hormone Release Is Upstream from the Kisspeptin Receptor. Neuroendocrinology 2011, 94, 237–245. [Google Scholar] [CrossRef]
- Navarro, V.M.; Gottsch, M.L.; Chavkin, C.; Okamura, H.; Clifton, D.K.; Steiner, R.A. Regulation of Gonadotropin-Releasing Hormone Secretion by Kisspeptin/Dynorphin/Neurokinin B Neurons in the Arcuate Nucleus of the Mouse. J. Neurosci. 2009, 29, 11859–11866. [Google Scholar] [CrossRef]
- Kichko, T.I.; Neuhuber, W.; Kobal, G.; Reeh, P.W. The Roles of TRPV1, TRPA1 and TRPM8 Channels in Chemical and Thermal Sensitivity of the Mouse Oral Mucosa. Eur. J. Neurosci. 2018, 47, 201–210. [Google Scholar] [CrossRef]
- Caterina, M.J.; Leffler, A.; Malmberg, A.B.; Martin, W.J.; Trafton, J.; Petersen-Zeitz, K.R.; Koltzenburg, M.; Basbaum, A.I.; Julius, D. Impaired Nociception and Pain Sensation in Mice Lacking the Capsaicin Receptor. Science 2000, 288, 306–313. [Google Scholar] [CrossRef]
- Gavva, N.R.; Bannon, A.W.; Surapaneni, S.; Hovland, D.N.; Lehto, S.G.; Gore, A.; Juan, T.; Deng, H.; Han, B.; Klionsky, L.; et al. The Vanilloid Receptor TRPV1 Is Tonically Activated In Vivo and Involved in Body Temperature Regulation. J. Neurosci. 2007, 27, 3366–3374. [Google Scholar] [CrossRef]
- Sun, Y.; Wang, W.; Zhou, C.; Ma, X.; Bai, W.; Zhang, J.; Yang, Q.; Wang, K.; Jia, J.; Liu, G.; et al. Changes in TRPV1 Expression in the POA of Ovariectomized Rats Regulated by NE-Dependent A2-ADR May Be Involved in Hot Flashes. Anat. Anz. 2020, 232, 151565. [Google Scholar] [CrossRef] [PubMed]
- Lara Aparicio, S.Y.; Laureani Fierro, Á.D.J.; Aranda Abreu, G.E.; Toledo Cárdenas, R.; García Hernández, L.I.; Coria Ávila, G.A.; Rojas Durán, F.; Aguilar, M.E.H.; Manzo Denes, J.; Chi-Castañeda, L.D.; et al. Current Opinion on the Use of C-Fos in Neuroscience. NeuroSci 2022, 3, 687–702. [Google Scholar] [CrossRef] [PubMed]
- Park, J.-K.; Hong, Y.-P.; Lee, S.-J. Effects of Exercise on Mature or Precursor Brain-Derived Neurotrophic Factor Pathways in Ovariectomized Rats. Mol. Med. Rep. 2017, 16, 435–440. [Google Scholar] [CrossRef] [PubMed]
- Sassarini, J.; Lumsden, M.A. Oestrogen Replacement in Postmenopausal Women. Age Ageing 2015, 44, 551–558. [Google Scholar] [CrossRef]
- Nelson, H.D.; Vesco, K.K.; Haney, E.; Fu, R.; Nedrow, A.; Miller, J.; Nicolaidis, C.; Walker, M.; Humphrey, L. Nonhormonal Therapies for Menopausal Hot Flashes: Systematic Review and Meta-Analysis. JAMA 2006, 295, 2057. [Google Scholar] [CrossRef]
- Geller, S.E.; Studee, L. Botanical and Dietary Supplements for Menopausal Symptoms: What Works, What Does Not. J. Women’s Health 2005, 14, 634–649. [Google Scholar] [CrossRef]
- Yoo, D.Y.; Xie, C.; Jeong, J.Y.; Park, K.H.; Kang, S.S.; Lee, D.H. Isoflavone-Enriched Soybean Leaves (Glycine max) Restore Loss of Dermal Collagen Fibers Induced by Ovariectomy in the Sprague Dawley Rats. Lab. Anim. Res. 2024, 40, 4. [Google Scholar] [CrossRef]
- Mohapatra, S.; Kumar, P.A.; Aggarwal, A.; Iqubal, A.; Mirza, M.A.; Iqbal, Z. Phytotherapeutic Approach for Conquering Menopausal Syndrome and Osteoporosis. Phytother. Res. 2024, 38, 2728–2763. [Google Scholar] [CrossRef]
- Saxena, S.; Bopana, N. In Vitro Clonal Propagation of Asparagus Racemosus, a High Value Medicinal Plant. In Protocols for In Vitro Cultures and Secondary Metabolite Analysis of Aromatic and Medicinal Plants; Jain, S.M., Saxena, P.K., Eds.; Methods in Molecular Biology; Humana Press: Totowa, NJ, USA, 2009; Volume 547, pp. 179–189. ISBN 978-1-60327-286-5. [Google Scholar]
- Bopana, N.; Saxena, S. Asparagus racemosus—Ethnopharmacological Evaluation and Conservation Needs. J. Ethnopharmacol. 2007, 110, 1–15. [Google Scholar] [CrossRef]
- Kenda, M.; Glavač, N.K.; Nagy, M.; Sollner Dolenc, M.; on behalf of the OEMONOM. Herbal Products Used in Menopause and for Gynecological Disorders. Molecules 2021, 26, 7421. [Google Scholar] [CrossRef]
- Nagulapalli Venkata, K.C.; Swaroop, A.; Bagchi, D.; Bishayee, A. A Small Plant with Big Benefits: Fenugreek (Trigonella foenum-graecum Linn.) for Disease Prevention and Health Promotion. Mol. Nutr. Food Res. 2017, 61, 1600950. [Google Scholar] [CrossRef] [PubMed]
- Steels, E.; Steele, M.L.; Harold, M.; Coulson, S. Efficacy of a Proprietary Trigonella foenum-graecum L. De-Husked Seed Extract in Reducing Menopausal Symptoms in Otherwise Healthy Women: A Double-Blind, Randomized, Placebo-Controlled Study. Phytother. Res. 2017, 31, 1316–1322. [Google Scholar] [CrossRef] [PubMed]
- Sreeja, S.; Anju, V.S.; Sreeja, S. In Vitro Estrogenic Activities of Fenugreek Trigonella foenum Graecum Seeds. Indian J. Med. Res. 2010, 131, 814–819. [Google Scholar] [PubMed]
- Hakimi, S.; Mohammad Alizadeh, S.; Delazar, A.; Abbasalizadeh, F.; Bamdad Mogaddam, R.; Siiahi, M.R.; Mostafa Garabagi, P. Probable Effects of Fenugreek Seed on Hot Flash in Menopausal Women. J. Med. Plant. 2006, 5, 9–14. [Google Scholar]
- Reeves, P.G.; Nielsen, F.H.; Fahey, G.C. AIN-93 Purified Diets for Laboratory Rodents: Final Report of the American Institute of Nutrition Ad Hoc Writing Committee on the Reformulation of the AIN-76A Rodent Diet. J. Nutrit. 1993, 123, 1939–1951. [Google Scholar] [CrossRef]
- Shamshad Begum, S.; Jayalakshmi, H.K.; Vidyavathi, H.G.; Gopakumar, G.; Abin, I.; Balu, M.; Geetha, K.; Suresha, S.V.; Vasundhara, M.; Krishnakumar, I.M. A Novel Extract of Fenugreek Husk (FenuSMARTTM) Alleviates Postmenopausal Symptoms and Helps to Establish the Hormonal Balance: A Randomized, Double-Blind, Placebo-Controlled Study. Phytother. Res. 2016, 30, 1775–1784. [Google Scholar] [CrossRef]
- Shin, J.-W.; Seol, I.-C.; Son, C.-G. Interpretation of Animal Dose and Human Equivalent Dose for Drug Development. Korean. J. Med. 2010, 31, 1–7. [Google Scholar]
- Orhan, C.; Tuzcu, M.; Gencoglu, H.; Sahin, E.; Sahin, N.; Ozercan, I.H.; Namjoshi, T.; Srivastava, V.; Morde, A.; Rai, D.; et al. Different Doses of β-Cryptoxanthin May Secure the Retina from Photooxidative Injury Resulted from Common LED Sources. Oxid. Med. Cell. Longev. 2021, 2021, 6672525. [Google Scholar] [CrossRef]
- Orhan, C.; Erten, F.; Er, B.; Tuzcu, M.; Şahin, N.; Durmaz Kurşun, Ö.E.; Juturu, V.; Şahin, K. Lutein/Zeaxanthin Isomers Regulate Neurotrophic Factors and Synaptic Plasticity in Trained Rats. Turk. J. Med. Sci. 2021, 51, 2167–2176. [Google Scholar] [CrossRef]
- Faul, F.; Erdfelder, E.; Lang, A.-G.; Buchner, A. G*Power 3: A Flexible Statistical Power Analysis Program for the Social, Behavioral, and Biomedical Sciences. Behav. Res. Methods 2007, 39, 175–191. [Google Scholar] [CrossRef]
- Stubbs, C.; Mattingly, L.; Crawford, S.A.; Wickersham, E.A.; Brockhaus, J.L.; McCarthy, L.H. Do SSRIs and SNRIs Reduce the Frequency and/or Severity of Hot Flashes in Menopausal Women. J. Okla. State Med. Assoc. 2017, 110, 272–274. [Google Scholar] [PubMed]
- Lim, D.; Kim, J.; Kim, Y. Effects of Dietary Isoflavones from Puerariae Radix on Lipid and Bone Metabolism in Ovariectomized Rats. Nutrients 2013, 5, 2734–2746. [Google Scholar] [CrossRef] [PubMed]
- Gudise, V.S.; Dasari, M.P.; Kuricheti, S.S.K. Efficacy and Safety of Shatavari Root Extract for the Management of Menopausal Symptoms: A Double-Blind, Multicenter, Randomized Controlled Trial. Cureus 2024, 16, e57879. [Google Scholar] [CrossRef] [PubMed]
- Karimi Jashni, H.; Kargar Jahromi, H.; Ghorbani Ranjbary, A.; Kargar Jahromi, Z.; Khabbaz Kherameh, Z. Effects of Aqueous Extract from Asparagus officinalis L. Roots on Hypothalamic-Pituitary-Gonadal Axis Hormone Levels and the Number of Ovarian Follicles in Adult Rats. Int. J. Reprod. Biomed. 2016, 14, 75–80. [Google Scholar] [CrossRef]
- Khanna, A.; John, F.; Das, S.; Thomas, J.; Rao, J.; Maliakel, B.; Im, K. Efficacy of a Novel Extract of Fenugreek Seeds in Alleviating Vasomotor Symptoms and Depression in Perimenopausal Women: A Randomized, Double-Blinded, Placebo-Controlled Study. J. Food Biochem. 2020, 44, e13507. [Google Scholar] [CrossRef]
- Thomas, J.V.; Rao, J.; John, F.; Begum, S.; Maliakel, B.; Im, K.; Khanna, A. Phytoestrogenic Effect of Fenugreek Seed Extract Helps in Ameliorating the Leg Pain and Vasomotor Symptoms in Postmenopausal Women: A Randomized, Double-Blinded, Placebo-Controlled Study. PharmaNutrition 2020, 14, 100209. [Google Scholar] [CrossRef]
- Mamgain, N.; Anupam, A.; Pandey, S. Shatavari Ghrita Contribution To Female Health: A review. Int. J. Res. Ayurveda Pharm. 2024, 15, 171–174. [Google Scholar] [CrossRef]
- Sharma, K.; Bhatnagar, M. Asparagus racemosus (Shatavari): A Versatile Female Tonic. Health 2010, 3, 5–6. [Google Scholar]
- Nagamma, T.; Konuri, A.; Bhat, K.M.R.; Udupa, P.E.G.; Nayak, Y. Trigonella foenum-graecum L. Seed Extract Modulates Biochemical and Histomorphological Changes in Therapeutic Model of High-Fat Diet-Fed Ovariectomized Rats. 3 Biotech 2023, 13, 285. [Google Scholar] [CrossRef]
- Pandey, S.K.; Sahay, A.; Pandey, R.S.; Tripathi, Y.B. Effect of Asparagus racemosus Rhizome (Shatavari) on Mammary Gland and Genital Organs of Pregnant Rat. Phytother. Res. 2005, 19, 721–724. [Google Scholar] [CrossRef]
- Busayapongchai, P.; Siri, S. Estrogenic Receptor-Functionalized Magnetite Nanoparticles for Rapid Separation of Phytoestrogens in Plant Extracts. Appl. Biochem. Biotechnol. 2017, 181, 925–938. [Google Scholar] [CrossRef] [PubMed]
- Roa, J.; Aguilar, E.; Dieguez, C.; Pinilla, L.; Tena-Sempere, M. New Frontiers in Kisspeptin/GPR54 Physiology as Fundamental Gatekeepers of Reproductive Function. Front. Neuroendocrinol. 2008, 29, 48–69. [Google Scholar] [CrossRef] [PubMed]
- Dungan Lemko, H.M.; Naderi, R.; Adjan, V.; Jennes, L.H.; Navarro, V.M.; Clifton, D.K.; Steiner, R.A. Interactions between Neurotensin and GnRH Neurons in the Positive Feedback Control of GnRH/LH Secretion in the Mouse. Am. J. Physiol. Endocrinol. Metab. 2010, 298, E80–E88. [Google Scholar] [CrossRef]
- Rance, N.E.; Bruce, T.R. Neurokinin B Gene Expression Is Increased in the Arcuate Nucleus of Ovariectomized Rats. Neuroendocrinology 1994, 60, 337–345. [Google Scholar] [CrossRef]
- Kobayashi, T.; Ushijima, O.; Chen, J.-T.; Shiraki, M.; Ohta, T.; Kiyoki, M. Basal Tail Skin Temperature Elevation and Augmented Response to Calcitonin Gene-Related Peptide in Ovariectomized Rats. J. Endocrinol. 1995, 146, 431–437. [Google Scholar] [CrossRef]
- Tang, Z.; Wang, Y.; Zhu, X.; Ni, X.; Lu, J. Exercise Increases Cystathionine-γ-Lyase Expression and Decreases the Status of Oxidative Stress in Myocardium of Ovariectomized Rats. Int. Heart J. 2016, 57, 96–103. [Google Scholar] [CrossRef]
- Günay, A.; Güneş, N.; Günay, Ü. Effect of Ovariohysterectomy on Lipid Peroxidation and Levels of Some Antioxidants and Biochemical Parameters in Bitches. Bull. Vet. Inst. Pulawy 2011, 55, 695–698. [Google Scholar]
- Albrahim, T.; Alangry, R.; Alotaibi, R.; Almandil, L.; Alburikan, S. Effects of Regular Exercise and Intermittent Fasting on Neurotransmitters, Inflammation, Oxidative Stress, and Brain-Derived Neurotrophic Factor in Cortex of Ovariectomized Rats. Nutrients 2023, 15, 4270. [Google Scholar] [CrossRef]
- Gómez-Zubeldia, M.A.; Corrales, S.; Arbués, J.; Nogales, A.G.; Millán, J.C. Influence of Estradiol and Gestagens on Oxidative Stress in the Rat Uterus. Gynecol. Oncol. 2002, 86, 250–258. [Google Scholar] [CrossRef]
- Yadav, U.C.S.; Baquer, N.Z. Pharmacological Effects of Trigonella foenum-graecum L. in Health and Disease. Pharm. Biol. 2014, 52, 243–254. [Google Scholar] [CrossRef]
- Annida, B.; Stanely Mainzen Prince, P. Supplementation of Fenugreek Leaves Lower Lipid Profile in Streptozotocin-Induced Diabetic Rats. J. Med. Food 2004, 7, 153–156. [Google Scholar] [CrossRef]
- Nagamma, T.; Konuri, A.; Bhat, K.M.R.; Maheshwari, R.; Udupa, P.; Nayak, Y. Modulation of Inflammatory Markers by Petroleum Ether Fraction of Trigonella foenum-graecum L. Seed Extract in Ovariectomized Rats. Food Biochem. 2021, 45, e13690. [Google Scholar] [CrossRef] [PubMed]
- Xiang, D.; Liu, Y.; Zhou, S.; Zhou, E.; Wang, Y. Protective Effects of Estrogen on Cardiovascular Disease Mediated by Oxidative Stress. Oxidative Med. Cell. Longev. 2021, 2021, 5523516. [Google Scholar] [CrossRef] [PubMed]
- Knowlton, A.A.; Lee, A.R. Estrogen and the Cardiovascular System. Pharmacol. Ther. 2012, 135, 54–70. [Google Scholar] [CrossRef]
- Zingué, S.; Tchoupang, E.N.; Madji, L.T.; Pehuie Fomat, B.H.; Mafogang, B.; Njamen, D.; Mendimi, J.M.N. Ricinodendron heudelotii (Euphorbiaceae) Seed Oil Prevents DMBA-Induced Breast Cancer under Menopause-like Conditions in Wistar Rats. Front. Pharmacol. 2024, 15, 1389976. [Google Scholar] [CrossRef]
- Kingsberg, S.A.; Larkin, L.C.; Liu, J.H. Clinical Effects of Early or Surgical Menopause. Obstet. Gynecol. 2020, 135, 853–868. [Google Scholar] [CrossRef]
- Rodríguez-Landa, J.F. Considerations of Timing Post-Ovariectomy in Mice and Rats in Studying Anxiety- and Depression-Like Behaviors Associated with Surgical Menopause in Women. Front. Behav. Neurosci. 2022, 16, 829274. [Google Scholar] [CrossRef]
- Monteleone, P.; Mascagni, G.; Giannini, A.; Genazzani, A.R.; Simoncini, T. Symptoms of Menopause—Global Prevalence, Physiology and Implications. Nat. Rev. Endocrinol. 2018, 14, 199–215. [Google Scholar] [CrossRef]
- Singh, G.K.; Garabadu, D.; Muruganandam, A.V.; Joshi, V.K.; Krishnamurthy, S. Antidepressant Activity of Asparagus racemosus in Rodent Models. Pharmacol. Biochem. Behav. 2009, 91, 283–290. [Google Scholar] [CrossRef]
- Ojha, R.; Sahu, A.N.; Muruganandam, A.V.; Singh, G.K.; Krishnamurthy, S. Asparagus recemosus Enhances Memory and Protects against Amnesia in Rodent Models. Brain Cogn. 2010, 74, 1–9. [Google Scholar] [CrossRef]
- Meena, J.; Ojha, R.; Muruganandam, A.V.; Krishnamurthy, S. Asparagus racemosus Competitively Inhibits in Vitro the Acetylcholine and Monoamine Metabolizing Enzymes. Neurosci. Lett. 2011, 503, 6–9. [Google Scholar] [CrossRef] [PubMed]
- Garabadu, D.; Krishnamurthy, S. Asparagus racemosus Attenuates Anxiety-Like Behavior in Experimental Animal Models. Cell. Mol. Neurobiol. 2014, 34, 511–521. [Google Scholar] [CrossRef] [PubMed]
- Abbas, G.; Naqvi, S.; Erum, S.; Ahmed, S.; Atta-ur-Rahman; Dar, A. Potential Antidepressant Activity of Areca catechu Nut via Elevation of Serotonin and Noradrenaline in the Hippocampus of Rats. Phytother. Res. 2013, 27, 39–45. [Google Scholar] [CrossRef] [PubMed]
- Kodumuri, P.K.; Thomas, C.; Jetti, R.; Pandey, A.K. Fenugreek Seed Extract Ameliorates Cognitive Deficits in Streptozotocin-Induced Diabetic Rats. J. Basic Clin. Physiol. Pharmacol. 2019, 30, 20180140. [Google Scholar] [CrossRef]
- Begliuomini, S.; Casarosa, E.; Pluchino, N.; Lenzi, E.; Centofanti, M.; Freschi, L.; Pieri, M.; Genazzani, A.D.; Luisi, S.; Genazzani, A.R. Influence of Endogenous and Exogenous Sex Hormones on Plasma Brain-Derived Neurotrophic Factor. Hum. Reprod. 2007, 22, 995–1002. [Google Scholar] [CrossRef]
- Scharfman, H.E.; MacLusky, N.J. Estrogen and Brain-Derived Neurotrophic Factor (BDNF) in Hippocampus: Complexity of Steroid Hormone-Growth Factor Interactions in the Adult CNS. Front. Neuroendocrinol. 2006, 27, 415–435. [Google Scholar] [CrossRef]
- Kiss, Á.; Delattre, A.M.; Pereira, S.I.R.; Carolino, R.G.; Szawka, R.E.; Anselmo-Franci, J.A.; Zanata, S.M.; Ferraz, A.C. 17β-Estradiol Replacement in Young, Adult and Middle-Aged Female Ovariectomized Rats Promotes Improvement of Spatial Reference Memory and an Antidepressant Effect and Alters Monoamines and BDNF Levels in Memory- and Depression-Related Brain Areas. Behav. Brain Res. 2012, 227, 100–108. [Google Scholar] [CrossRef]
- Konuri, A.; Bhat, K.M.R.; Rai, K.S.; Gourishetti, K.; Phaneendra M, Y.S. Supplementation of Fenugreek with Choline–Docosahexaenoic Acid Attenuates Menopause Induced Memory Loss, BDNF and Dendritic Arborization in Ovariectomized Rats. Anat. Sci. Int. 2021, 96, 197–211. [Google Scholar] [CrossRef]








| Ingredients | % |
|---|---|
| Casein | 20.00 |
| Corn starch | 57.95 |
| Sucrose | 5.00 |
| Vegetable oil | 7.00 |
| Beef tallow | – |
| Cellulose | 5.00 |
| Mineral premix a | 3.50 |
| Vitamin premix b | 1.00 |
| L-cysteine | 0.30 |
| Choline bitartrate | 0.25 |
Disclaimer/Publisher’s Note: The statements, opinions and data contained in all publications are solely those of the individual author(s) and contributor(s) and not of MDPI and/or the editor(s). MDPI and/or the editor(s) disclaim responsibility for any injury to people or property resulting from any ideas, methods, instructions or products referred to in the content. |
© 2025 by the authors. Licensee MDPI, Basel, Switzerland. This article is an open access article distributed under the terms and conditions of the Creative Commons Attribution (CC BY) license (https://creativecommons.org/licenses/by/4.0/).
Share and Cite
Erten, F.; Er, B.; Ozmen, R.; Tokmak, M.; Gokdere, E.; Orhan, C.; Morde, A.A.; Padigaru, M.; Sahin, K. Effects of Integrated Extracts of Trigonella foenum-graecum and Asparagus racemosus on Hot Flash-like Symptoms in Ovariectomized Rats. Antioxidants 2025, 14, 355. https://doi.org/10.3390/antiox14030355
Erten F, Er B, Ozmen R, Tokmak M, Gokdere E, Orhan C, Morde AA, Padigaru M, Sahin K. Effects of Integrated Extracts of Trigonella foenum-graecum and Asparagus racemosus on Hot Flash-like Symptoms in Ovariectomized Rats. Antioxidants. 2025; 14(3):355. https://doi.org/10.3390/antiox14030355
Chicago/Turabian StyleErten, Fusun, Besir Er, Ramazan Ozmen, Muhammed Tokmak, Ebru Gokdere, Cemal Orhan, Abhijeet A. Morde, Muralidhara Padigaru, and Kazim Sahin. 2025. "Effects of Integrated Extracts of Trigonella foenum-graecum and Asparagus racemosus on Hot Flash-like Symptoms in Ovariectomized Rats" Antioxidants 14, no. 3: 355. https://doi.org/10.3390/antiox14030355
APA StyleErten, F., Er, B., Ozmen, R., Tokmak, M., Gokdere, E., Orhan, C., Morde, A. A., Padigaru, M., & Sahin, K. (2025). Effects of Integrated Extracts of Trigonella foenum-graecum and Asparagus racemosus on Hot Flash-like Symptoms in Ovariectomized Rats. Antioxidants, 14(3), 355. https://doi.org/10.3390/antiox14030355

