The Antioxidant and Anti-Inflammatory Properties of Wild Bilberry Fruit Extracts Embedded in Mesoporous Silica-Type Supports: A Stability Study
Abstract
1. Introduction
2. Materials and Methods
2.1. Materials
2.2. Methods
2.2.1. Extract Preparation and Characterization
2.2.2. Obtaining Mesoporous Silica-Type Matrices and Extract-Loaded Materials
2.2.3. Characterization of Carriers and Extract-Loaded Materials
2.2.4. Anti-Inflammatory Assay in Mouse Macrophage Cells
2.2.5. COX Enzyme Inhibition Assay (In Vitro Screening)
3. Results and Discussion
3.1. Polyphenolic Extracts Characterization
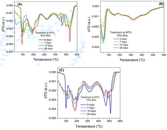
3.2. Stability Study of Free Extracts
3.3. Characterization of Mesoporous Silica-Type Supports
3.4. Characterization of Embedded Bilberry Extracts
3.5. Biological Evaluation of Free and Embedded Bilberry Extract
3.5.1. NO Production Inhibitory Effect and Cytotoxicity
3.5.2. In Vitro COX inhibition assay
4. Conclusions
Supplementary Materials
Author Contributions
Funding
Institutional Review Board Statement
Informed Consent Statement
Data Availability Statement
Conflicts of Interest
References
- Riihinen, K.; Jaakola, L.; Kärenlampi, S.; Hohtola, A. Organ-specific distribution of phenolic compounds in bilberry (Vaccinium myrtillus) and ‘northblue’ blueberry (Vaccinium corymbosum x V. angustifolium). Food Chem. 2008, 110, 156–160. [Google Scholar] [CrossRef]
- Gaspar, D.P.; Lechtenberg, M.; Hensel, A. Quality Assessment of Bilberry Fruits (Vaccinium myrtillus) and Bilberry-Containing Dietary Supplements. J. Agric. Food Chem. 2021, 69, 2213–2225. [Google Scholar] [CrossRef]
- Brezoiu, A.-M.; Deaconu, M.; Mitran, R.-A.; Prelipcean, A.-M.; Matei, C.; Berger, D. Optimisation of Polyphenols Extraction from Wild Bilberry Leaves—Antimicrobial Properties and Stability Studies. Molecules 2023, 28, 5795. [Google Scholar] [CrossRef]
- Bujor, O.-C.; Tanase, C.; Popa, M.E. Phenolic Antioxidants in Aerial Parts of Wild Vaccinium Species: Towards Pharmaceutical and Biological Properties. Antioxidants 2019, 8, 649. [Google Scholar] [CrossRef] [PubMed]
- Kowalska, K.; Olejnik, A.; Szwajgier, D.; Olkowicz, M. Inhibitory activity of chokeberry, bilberry, raspberry and cranberry polyphenol-rich extract towards adipogenesis and oxidative stress in differentiated 3T3-L1 adipose cells. PLoS ONE 2017, 12, e0188583. [Google Scholar] [CrossRef] [PubMed]
- Thibado, S.P.; Thornthwaite, J.T.; Ballard, T.K.; Goodman, B.T. Anticancer effects of Bilberry anthocyanins compared with NutraNanoSphere encapsulated Bilberry anthocyanins. Mol. Clin. Oncol. 2018, 8, 330–335. [Google Scholar] [CrossRef] [PubMed]
- Erlund, I.; Koli, R.; Alfthan, G.; Marniemi, J.; Puukka, P.; Mustonen, P.; Mattila, P.; Jula, A. Favorable effects of berry consumption on platelet function, blood pressure, and HDL cholesterol. Am. J. Clin. Nutr. 2008, 87, 323–331. [Google Scholar] [CrossRef] [PubMed]
- Schink, A.; Neumann, J.; Leifke, A.L.; Ziegler, K.; Fröhlich-Nowoisky, J.; Cremer, C.; Thines, E.; Weber, B.; Pöschl, U.; Schuppan, D.; et al. Screening of herbal extracts for TLR2- and TLR4-dependent anti-inflammatory effects. PLoS ONE 2018, 13, e0203907. [Google Scholar] [CrossRef] [PubMed]
- Neamtu, A.-A.; Szoke-Kovacs, R.; Mihok, E.; Georgescu, C.; Turcus, V.; Olah, N.K.; Frum, A.; Tita, O.; Neamtu, C.; Szoke-Kovacs, Z.; et al. Bilberry (Vaccinium myrtillus L.) Extracts Comparative Analysis Regarding Their Phytonutrient Profiles, Antioxidant Capacity along with the In Vivo Rescue Effects Tested on a Drosophila melanogaster High-Sugar Diet Model. Antioxidants 2020, 9, 1067. [Google Scholar] [CrossRef]
- Pires, T.C.S.P.; Caleja, C.; Santos-Buelga, C.; Barros, L.; Ferreira, I.C.F.R. Vaccinium myrtillus L. Vaccinium myrtillus L. Fruits as a Novel Source of Phenolic Compounds with Health Benefits and Industrial Applications—A Review. Curr. Pharm. Des. 2020, 26, 1917–1928. [Google Scholar] [CrossRef]
- Sharma, A.; Lee, H.J. Anti-Inflammatory Activity of Bilberry (Vaccinium myrtillus L.). Curr. Issues Mo. Biol. 2022, 44, 4570–4583. [Google Scholar] [CrossRef]
- Kolehmainen, M.; Mykkänen, O.; Kirjavainen, P.V.; Leppänen, T.; Moilanen, E.; Adriaens, M.; Laaksonen, D.E.; Hallikainen, M.; Puupponen-Pimiä, R.; Pulkkinen, L.; et al. Bilberries reduce low-grade inflammation in individuals with features of metabolic syndrome. Mol. Nutr. Food Res. 2012, 56, 1501–1510. [Google Scholar] [CrossRef]
- Karlsen, A.; Paur, I.; Bøhn, S.K.; Sakhi, A.K.; Borge, G.I.; Serafini, M.; Erlund, I.; Laake, P.; Tonstad, S.; Blomhoff, R. Bilberry juice modulates plasma concentration of NF-κB related inflammatory markers in subjects at increased risk of CVD. Eur. J. Nutr. 2010, 49, 345–355. [Google Scholar] [CrossRef]
- Luo, H.; Lv, X.-D.; Wang, G.-E.; Li, Y.-F.; Kurihara, H.; He, R.-R. Anti-inflammatory effects of anthocyanins-rich extract from bilberry (Vaccinium myrtillus L.) on croton oil-induced ear edema and Propionibacterium acnes plus LPS-induced liver damage in mice. Int. J. Food Sci. Nutr. 2014, 65, 594–601. [Google Scholar] [CrossRef]
- Vaneková, Z.; Rollinger, J.M. Bilberries: Curative and Miraculous—A Review on Bioactive Constituents and Clinical Research. Front. Pharmacol. 2022, 29, 909914. [Google Scholar] [CrossRef]
- Martău, G.A.; Bernadette-Emőke, T.; Odocheanu, R.; Soporan, D.A.; Bochiș, M.; Simon, E.; Vodnar, D.C. Vaccinium Species (Ericaceae): Phytochemistry and Biological Properties of Medicinal Plants. Molecules 2023, 28, 1533. [Google Scholar] [CrossRef] [PubMed]
- Căta, A.; Ienaşcu, I.M.C.; Tănasie, C.; Ştefănuţ, M.N. Thermal degradation of anthocyanin pigments in bilberry, blackberry and black mulberry extracts in the presence of some added food antioxidants. Rev. Roum. 2019, 64, 893–899. [Google Scholar] [CrossRef]
- Ştefănuţa, M.N.; Cătaa, A.; Popa, R.; Tănasiea, C.; Pinteab, B.; David, I. Thermal stability of anthocyanins from Vaccinium myrtillus L. methanolic extract. J. Agroaliment. Processes Technol. 2010, 16, 36–40. [Google Scholar]
- Fraisse, D.; Bred, A.; Felgines, C.; Senejoux, F. Stability and Antiglycoxidant Potential of Bilberry Anthocyanins in Simulated Gastrointestinal Tract Model. Foods 2020, 9, 1695. [Google Scholar] [CrossRef] [PubMed]
- Todorović, A.; Šturm, L.; Salević-Jelić, A.; Lević, S.; Črnivec, I.G.O.; Prislan, I.; Skrt, M.; Bjeković, A.; Ulrih, N.P.; Nedović, V. Encapsulation of Bilberry Extract with Maltodextrin and Gum Arabic by Freeze-Drying: Formulation, Characterisation, and Storage Stability. Processes 2022, 10, 1991. [Google Scholar] [CrossRef]
- González-Cruz, E.M.; Calderón-Santoyo, M.; Barros-Castillo, J.C.; Ragazzo-Sánchez, J.A. Evaluation of biopolymers in the encapsulation by electrospraying of polyphenolic compounds extracted from blueberry (Vaccinium corymbosum L.) variety Biloxi. Polymer Bull. 2021, 78, 3561–3576. [Google Scholar] [CrossRef]
- Brezoiu, A.-M.; Matei, C.; Deaconu, M.; Stanciuc, A.-M.; Trifan, A.; Gaspar-Pintiliescu, A.; Berger, D. Polyphenols extract from grape pomace. Characterization and valorisation through encapsulation into mesoporous silica-type matrices. Food Chem.Toxicol. 2019, 133, 110787. [Google Scholar] [CrossRef]
- Brezoiu, A.-M.; Bajenaru, L.; Berger, D.; Mitran, R.-A.; Deaconu, M.; Lincu, D.; Guzun, A.S.; Matei, C.; Moisescu, M.G.; Negreanu-Pirjol, T. Effect of Nanoconfinement of Polyphenolic Extract from Grape Pomace into Functionalized Mesoporous Silica on Its Biocompatibility and Radical Scavenging Activity. Antioxidants 2020, 9, 696. [Google Scholar] [CrossRef]
- Brezoiu, A.M.; Lincu, D.; Deaconu, M.; Mitran, R.A.; Berger, D.; Matei, C. Enhanced stability of polyphenolic extracts from grape pomace achieved by embedding into mesoporous silica-type matrices. UPB Sci. Bull. 2020, 82, 2020. [Google Scholar]
- Buda, V.; Brezoiu, A.-M.; Berger, D.; Pavel, I.Z.; Muntean, D.; Minda, D.; Dehelean, C.A.; Soica, C.; Diaconeasa, Z.; Folescu, R.; et al. Biological Evaluation of Black Chokeberry Extract Free and Embedded in Two Mesoporous Silica-Type Matrices. Pharmaceutics, 2020, 12, 838. [Google Scholar] [CrossRef]
- Castillo, R.R.; Vallet-Regí, M. Recent Advances Toward the Use of Mesoporous Silica Nanoparticles for the Treatment of Bacterial Infections. Int. J. Nanomed. 2021, 16, 4409–4430. [Google Scholar] [CrossRef] [PubMed]
- Trzeciak, K.; Chotera-Ouda, A.; Bak-Sypien, I.I.; Potrzebowski, M.J. Mesoporous Silica Particles as Drug Delivery Systems-The State of the Art in Loading Methods and the Recent Progress in Analytical Techniques for Monitoring These Processes. Pharmaceutics, 2021, 13, 950. [Google Scholar] [CrossRef] [PubMed]
- Croissant, J.G.; Butler, K.S.; Zink, J.I.; Brinker, C.J. Synthetic amorphous silica nanoparticles: Toxicity, biomedical and environmental implications. Nat. Rev. Mater. 2020, 5, 886–909. [Google Scholar] [CrossRef]
- Stiller, C.-O.; Hjemdahl, P. Lessons from 20 years with COX-2 inhibitors: Importance of dose–response considerations and fair play in comparative trials. J. Intern. Med. 2022, 292, 557–574. [Google Scholar] [CrossRef] [PubMed]
- Brezoiu, A.-M.; Prundeanu, M.; Berger, D.; Deaconu, M.; Matei, C.; Oprea, O.; Vasile, E.; Negreanu-Pîrjol, T.; Muntean, D.; Danciu, C. Properties of Salvia officinalis L. and Thymus serpyllum L. Extracts Free and Embedded into Mesopores of Silica and Titania Nanomaterials. Nanomaterials 2020, 10, 820. [Google Scholar] [CrossRef] [PubMed]
- Deaconu, M.; Prelipcean, A.-M.; Brezoiu, A.-M.; Mitran, R.-A.; Isopencu, G.; Matei, C.; Berger, D. Novel Collagen-Polyphenols-Loaded Silica Composites for Topical Application. Pharmaceutics 2023, 15, 312. [Google Scholar] [CrossRef]
- Jo, A.; Kim, C.E.; Lee, M. Serratane triterpenoids isolated from Lycopodium clavatum by bioactivity-guided fractionation attenuate the production of inflammatory mediators. Biorg. Chem. 2020, 96, 103632. [Google Scholar] [CrossRef]
- Piechowiak, T.; Skóra, B.; Grzelak-Błaszczyk, K.; Sójka, M. Extraction of Antioxidant Compounds from Blueberry Fruit Waste and Evaluation of Their In Vitro Biological Activity in Human Keratinocytes (HaCaT). Food Anal. Methods 2021, 14, 2317–2327. [Google Scholar] [CrossRef]
- Elik, A.; Yanık, D.K. Gögüs,F. Optimization of microwave-assisted extraction of phenolics from blueberry. Rom. Biotechnol. Lett. 2019, 24, 30–40. [Google Scholar] [CrossRef]
- Secco, M.C.; Fischer, B.; Fernandes, I.A.; Cansian, R.L.; Paroul, N.; Junges, A. Valorization of Blueberry By-Products (Vaccinium spp.): Antioxidants by Pressurized Liquid Extraction (PLE) and Kinetics Models. BRIAC 2022, 12, 1692–1704. [Google Scholar] [CrossRef]
- Huang, W.-Y.; Zhang, H.-C.; Liu, W.-X.; Li, C.-Y. Survey of antioxidant capacity and phenolic composition of blueberry, blackberry, and strawberry in Nanjing. J. Zhejiang Univ. Sci. B 2012, 13, 94–102. [Google Scholar] [CrossRef]
- Bunea, A.; Rugina, O.D.; Pintea, A.M.; Sconţa, Z.; Bunea, C.I.; Socaciu, C. Comparative polyphenolic content and antioxidant activities of some wild and cultivated blueberries from Romania. Not. Bot. Horti. Agrobo. 2011, 39, 70–76. [Google Scholar] [CrossRef]
- Tünde, J.; Vicas, L.G.; Tóth, I.; Braun, M.; Marian, E.; Teuşdea, A.C.; Vicaş, S.I.; Mureșan, M. Mineral elements profile, bioactive compounds and antioxidant capacity of wild blueberry and of pharmaceutical preparations from blueberry (Vaccinium myrtillus). Farmacia 2016, 64, 581–587. [Google Scholar]
- Rodrigues, E.; Poerner, N.; Rockenbach, I.I.; Gonzaga, L.V.; Mendes, C.R.; Fett, R. Phenolic compounds and antioxidant activity of blueberry cultivars grown in Brazil. Ciênc. Technol. 2012, 31, 911–917. [Google Scholar] [CrossRef]
- Mustafa, A.M.; Angeloni, S.; Abouelenein, D.; Acquaticci, L.; Xiao, J.; Sagratini, G.; Maggi, F.; Vittori, S.; Caprioli, G. A new HPLC-MS/MS method for the simultaneous determination of 36 polyphenols in blueberry, strawberry and their commercial products and determination of antioxidant activity. Food Chem. 2021, 367, 130743. [Google Scholar] [CrossRef]
- Seyhan, S.; Yalcin, G.; Seyhan, A.S. The extraction and determination of ellagic acid and resveratrol in blueberry species by HPLC-DAD and LCMS/MS. J. Res. Pharm. 2023, 27, 311–320. [Google Scholar] [CrossRef]
- Fang, Z.; Bhandari, B. Encapsulation of polyphenols—A review. Trends Food Sci. Technol. 2010, 21, 510–523. [Google Scholar] [CrossRef]
- Oancea, S. A Review of the Current Knowledge of Thermal Stability of Anthocyanins and Approaches to Their Stabilization to Heat. Antioxidants 2021, 10, 1337. [Google Scholar] [CrossRef] [PubMed]
- Eliasson, L.; Labrosse, L.; Ahrné, L. Effect of drying technique and particle size of bilberry press cake on the extraction efficiency of anthocyanins by pressurized carbon dioxide extraction. LWT-Food Sci. Technol. 2017, 85, 510–516. [Google Scholar] [CrossRef]
- Yahfoufi, N.; Alsadi, N.; Jambi, M.; Matar, C. The Immunomodulatory and Anti-Inflammatory Role of Polyphenols. Nutrients 2018, 10, 1618. [Google Scholar] [CrossRef] [PubMed]
- Szymanowska, U.; Baraniak, B.; Bogucka-Kocka, A. Antioxidant, Anti-Inflammatory, and Postulated Cytotoxic Activity of Phenolic and Anthocyanin-Rich Fractions from Polana Raspberry (Rubus idaeus L.) Fruit and Juice—In Vitro Study. Molecules 2018, 23, 1812. [Google Scholar] [CrossRef]








| Sample | Yield (%) | TPC (mg GAE/g) | TFC (mg RHE/g) | TAC (mg CGE/g) | RSADPPH (mg TE/g) | RSAABTS (mg TE/g) |
|---|---|---|---|---|---|---|
| BL | 70.5 | 45.82 0.99 | 14.45 0.05 | 28.86 0.82 | 115.49 0.97 | 72.00 1.50 |
| BL(ST) | 73.8 | 46.46 0.73 | 18.79 0.26 | 32.25 0.32 | 119.89 2.80 | 60.44 1.67 |
| Concentration (mg/100 g DW) | BL | BL(ST) |
|---|---|---|
| gallic acid (1) | 0.010 | 0.001 |
| protocatechuic acid (2) | nd | 0.027 |
| chlorogenic acid (3) | 0.004 | 0.074 |
| delphinidin (4) | 4.298 | 0.073 |
| cyanidin (5) | 0.015 | nd |
| rutin hydrate (6) | 3.641 | 0.901 |
| myricetin (7) | 0.051 | 0.048 |
| trans-resveratrol (8) | 0.002 | 0.003 |
| Sample | Exposure Time (days) | Components with High Volatility | Organics Content | Residue |
|---|---|---|---|---|
| (%wt. vs. DW) | ||||
| BL | 0 | 40.3 | 57.0 | 2.7 |
| 7 | 40.4 | 57.6 | 2.0 | |
| 14 | 41.4 | 56.5 | 2.2 | |
| 28 | 42.4 | 54.9 | 2.8 | |
| BL(ST) | 0 | 59.5 | 37.3 | 3.2 |
| 7 | 62.1 | 37.9 | 0 | |
| 16 | 60.9 | 39.1 | 0 | |
| 28 | 61.1 | 39.2 | 0 | |
| Support | OG/SiO2 | SBET (m2/g) | Vpore (cm3/g) | dDFT (nm) |
|---|---|---|---|---|
| MCM-41 | - | 989 | 1.59 | 4.15 |
| MCM-COOH | 0.046 | 628 | 0.93 | 4.10 |
| MCM-SH | 0.17 | 933 | 1.19 | 2.75 |
| Sample | Extract (%wt.) | Support (%wt.) | Humidity (%wt.) |
|---|---|---|---|
| BL@MCM-41 | 39.4 | 58.3 | 2.3 |
| BL@MCM-COOH | 34.4 | 64.1 | 1.5 |
| BL@MCM-SH | 20.2 | 77.9 | 1.9 |
| BL@Fuc@MCM-SH | 21.3 | 76.0 | 2.7 |
| BL(ST)@MCM-41 | 41.6 | 56.0 | 2.4 |
| Sample ID | IC50 | SI (IC50 COX-1/IC50 COX-2) | |
|---|---|---|---|
| COX-1 | COX-2 | ||
| Indomethacin (Reference drug) | 0.59 ± 0.1 | 0.6 ± 0.02 | 0.98 |
| BL@MCH-SH | 1.87 ± 0.06 | 0.69 ± 0.03 | 2.71 |
| BL | 3.97 ± 0.07 | 0.97 ± 0.05 | 4.09 |
Disclaimer/Publisher’s Note: The statements, opinions and data contained in all publications are solely those of the individual author(s) and contributor(s) and not of MDPI and/or the editor(s). MDPI and/or the editor(s) disclaim responsibility for any injury to people or property resulting from any ideas, methods, instructions or products referred to in the content. |
© 2024 by the authors. Licensee MDPI, Basel, Switzerland. This article is an open access article distributed under the terms and conditions of the Creative Commons Attribution (CC BY) license (https://creativecommons.org/licenses/by/4.0/).
Share and Cite
Brezoiu, A.-M.; Deaconu, M.; Mitran, R.-A.; Sedky, N.K.; Schiets, F.; Marote, P.; Voicu, I.-S.; Matei, C.; Ziko, L.; Berger, D. The Antioxidant and Anti-Inflammatory Properties of Wild Bilberry Fruit Extracts Embedded in Mesoporous Silica-Type Supports: A Stability Study. Antioxidants 2024, 13, 250. https://doi.org/10.3390/antiox13020250
Brezoiu A-M, Deaconu M, Mitran R-A, Sedky NK, Schiets F, Marote P, Voicu I-S, Matei C, Ziko L, Berger D. The Antioxidant and Anti-Inflammatory Properties of Wild Bilberry Fruit Extracts Embedded in Mesoporous Silica-Type Supports: A Stability Study. Antioxidants. 2024; 13(2):250. https://doi.org/10.3390/antiox13020250
Chicago/Turabian StyleBrezoiu, Ana-Maria, Mihaela Deaconu, Raul-Augustin Mitran, Nada K. Sedky, Frédéric Schiets, Pedro Marote, Iulia-Stefania Voicu, Cristian Matei, Laila Ziko, and Daniela Berger. 2024. "The Antioxidant and Anti-Inflammatory Properties of Wild Bilberry Fruit Extracts Embedded in Mesoporous Silica-Type Supports: A Stability Study" Antioxidants 13, no. 2: 250. https://doi.org/10.3390/antiox13020250
APA StyleBrezoiu, A.-M., Deaconu, M., Mitran, R.-A., Sedky, N. K., Schiets, F., Marote, P., Voicu, I.-S., Matei, C., Ziko, L., & Berger, D. (2024). The Antioxidant and Anti-Inflammatory Properties of Wild Bilberry Fruit Extracts Embedded in Mesoporous Silica-Type Supports: A Stability Study. Antioxidants, 13(2), 250. https://doi.org/10.3390/antiox13020250

