Integration of Untargeted Metabolomics and Object-Oriented Data-Processing Protocols to Characterize Acerola Powder Composition as Functional Food Ingredient
Abstract
1. Introduction
2. Materials and Methods
2.1. Chemicals and Reagents
2.2. Extraction and Determination of Total Phenolic Content
2.3. Extraction and Determination of the Antioxidant Activity
2.4. Metabolomic Analysis
2.4.1. Sample Collection and Pretreatment
2.4.2. Metabolomics Data Acquisition
2.4.3. Data Processing and Statistical Analysis
3. Results
3.1. Effects of Different Solvents and Columns on Composition Analysis of Acerola Powder
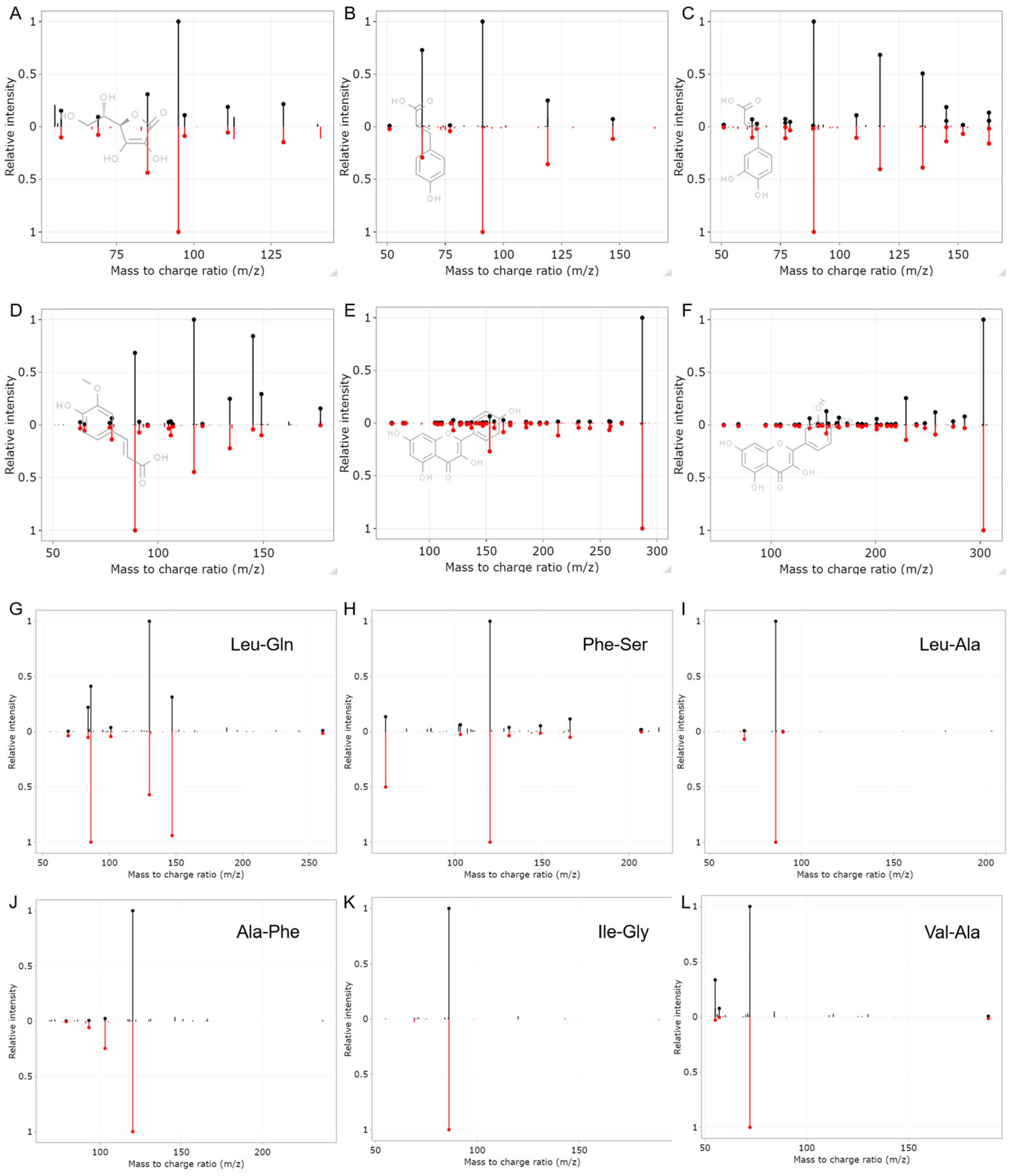
3.2. Composition Analysis of Acerola Powder
3.3. Differential Analysis of Acerola Juice Powder and Fruit Powder
4. Discussion
5. Conclusions
Supplementary Materials
Author Contributions
Funding
Data Availability Statement
Conflicts of Interest
References
- Alongi, M.; Anese, M. Re-thinking functional food development through a holistic approach. J. Funct. Foods 2021, 81, 104466. [Google Scholar] [CrossRef]
- Albuquerque, M.A.C.d.; Levit, R.; Beres, C.; Bedani, R.; de Moreno de LeBlanc, A.; Saad, S.M.I.; LeBlanc, J.G. Tropical fruit by-products water extracts as sources of soluble fibres and phenolic compounds with potential antioxidant, anti-inflammatory, and functional properties. J. Funct. Foods 2019, 52, 724–733. [Google Scholar] [CrossRef]
- Moreira, G.E.G.; Costa, M.G.M.; de Souza, A.C.R.; de Brito, E.S.; de Medeiros, M.D.D.; de Azeredo, H.M.C. Physical properties of spray dried acerola pomace extract as affected by temperature and drying aids. Lwt Food Sci. Technol. 2009, 42, 641–645. [Google Scholar] [CrossRef]
- Almeida, S.D.; Alves, W.A.L.; de Araujo, S.A.; Santana, J.C.C.; Narain, N.; de Souza, R.R. Use of simulated annealing in standardization and optimization of the acerola wine production. Food Sci. Technol. 2014, 34, 292–297. [Google Scholar] [CrossRef]
- Delva, L.; Schneider, R.G. Acerola (Malpighia emarginata DC): Production, Postharvest Handling, Nutrition, and Biological Activity. Food Rev. Int. 2013, 29, 107–126. [Google Scholar] [CrossRef]
- Correia, R.T.; Borges, K.C.; Medeiros, M.F.; Genovese, M.I. Bioactive compounds and phenolic-linked functionality of powdered tropical fruit residues. Food Sci. Technol. Int. 2012, 18, 539–547. [Google Scholar] [CrossRef] [PubMed]
- de Aquino Souza Miskinis, R.; do Nascimento, L.Á.; Colussi, R. Bioactive compounds from acerola pomace: A review. Food Chem. 2023, 404, 134613. [Google Scholar] [CrossRef] [PubMed]
- Gendel, S.M. Potential functional food ingredients: Insufficient ingredient descriptions. J. Funct. Foods 2021, 86, 104721. [Google Scholar] [CrossRef]
- Wishart, D.S. Metabolomics: Applications to food science and nutrition research. Trends Food Sci. Technol. 2008, 19, 482–493. [Google Scholar] [CrossRef]
- Wang, K.; Wang, X.; Zhang, L.; Chen, A.; Yang, S.; Xu, Z. Identification of novel biomarkers in chilled and frozen chicken using metabolomics profiling and its application. Food Chem. 2022, 393, 133334. [Google Scholar] [CrossRef]
- Wang, K.; Xu, L.; Wang, X.; Chen, A.; Xu, Z. Discrimination of beef from different origins based on lipidomics: A comparison study of DART-QTOF and LC-ESI-QTOF. Lwt Food Sci. Technol. 2021, 149, 111838. [Google Scholar] [CrossRef]
- Zhou, Y.; Cao, Y.; Li, J.; Agar, O.T.; Barrow, C.; Dunshea, F.; Suleria, H.A. Screening and characterization of phenolic compounds by LC-ESI-QTOF-MS/MS and their antioxidant potentials in papaya fruit and their by-products activities. Food Biosci. 2023, 52, 102480. [Google Scholar] [CrossRef]
- Dunn, W.; Broadhurst, D.; Begley, P.; Zelena, E.; Francis-McIntyre, S.; Anderson, N.; Brown, M.; Knowles, J.D.; Halsall, A.; Haselden, J.N.; et al. Procedures for large-scale metabolic profiling of serum and plasma using gas chromatography and liquid chromatography coupled to mass spectrometry. Nat. Protoc. 2011, 6, 1060–1083. [Google Scholar] [CrossRef] [PubMed]
- Shen, X.; Yan, H.; Wang, C.; Gao, P.; Johnson, C.H.; Snyder, M.P. TidyMass an object-oriented reproducible analysis framework for LC-MS data. Nat. Commun. 2022, 13, 4365. [Google Scholar] [CrossRef] [PubMed]
- Wang, K.; Xu, Z. Comparison of freshly squeezed, Non-thermally and thermally processed orange juice based on traditional quality characters, untargeted metabolomics, and volatile overview. Food Chem. 2022, 373, 131430. [Google Scholar] [CrossRef] [PubMed]
- Xu, M.; Shen, C.; Zheng, H.; Xu, Y.; Xue, C.; Zhu, B.; Hu, J. Metabolomic analysis of acerola cherry (Malpighia emarginata) fruit during ripening development via UPLC-Q-TOF and contribution to the antioxidant activity. Food Res. Int. 2020, 130, 108915. [Google Scholar] [CrossRef]
- Rafinska, K.; Pomastowski, P.; Rudnicka, J.; Krakowska, A.; Maruska, A.; Narkute, M.; Buszewski, B. Effect of solvent and extraction technique on composition and biological activity of Lepidium sativum extracts. Food Chem. 2019, 289, 16–25. [Google Scholar] [CrossRef]
- Zhou, W.; Tam, K.Y.; Meng, M.; Shan, J.; Wang, S.; Ju, W.; Cai, B.; Di, L. Pharmacokinetics screening for multi-components absorbed in the rat plasma after oral administration of traditional Chinese medicine Flos Lonicerae Japonicae-Fructus Forsythiae herb couple by sequential negative and positive ionization ultra-high-performance liquid chromatography/tandem triple quadrupole mass spectrometric detection. J. Chromatogr. A 2015, 1376, 84–97. [Google Scholar]
- Ikegami, T.; Tomomatsu, K.; Takubo, H.; Horie, K.; Tanaka, N. Separation efficiencies in hydrophilic interaction chromatography. J. Chromatogr. A 2008, 1184, 474–503. [Google Scholar] [CrossRef]
- Do, Q.; Angkawijaya, A.; Tran-Nguyen, P.; Huynh, L.; Soetaredjo, F.; Ismadji, S.; Ju, Y.-H. Effect of extraction solvent on total phenol content, total flavonoid content, and antioxidant activity of Limnophila aromatica. J. Food Drug Anal. 2014, 22, 296–302. [Google Scholar] [CrossRef]
- Zhang, Q.; Xiao, C.; Wang, W.; Qian, M.; Xu, J.; Yang, H. Chromatography column comparison and rapid pretreatment for the simultaneous analysis of amantadine, rimantadine, acyclovir, ribavirin, and moroxydine in chicken muscle by ultra high performance liquid chromatography and tandem mass spectrometry. J. Sep. Sci. 2016, 39, 3998–4010. [Google Scholar] [CrossRef] [PubMed]
- Vendramini, A.; Trugo, L. Chemical composition of acerola fruit (Malpighia punicifolia L.) at three stages of maturity. Food Chem. 2000, 71, 195–198. [Google Scholar] [CrossRef]
- Mezadri, T.; Fernandez-Pachon, M.S.; Villano, D.; Garcia-Parrilla, M.C.; Troncoso, A.M. The acerola fruit: Composition, productive characteristics and economic importance. Arch. Latinoam. Nutr. 2006, 56, 101–109. [Google Scholar] [PubMed]
- Santos, V.O.; Rodrigues, S.; Fernandes, F.A.N. Improvements on the Stability and Vitamin Content of Acerola Juice Obtained by Ultrasonic Processing. Foods 2018, 7, 68. [Google Scholar] [CrossRef]
- Mezadri, T.; Villano, D.; Fernandez-Pachon, M.S.; Garcia-Parrilla, M.C.; Troncoso, A.M. Antioxidant compounds and antioxidant activity in acerola (Malpighia emarginata DC.) fruits and derivatives. J. Food Compos. Anal. 2008, 21, 282–290. [Google Scholar] [CrossRef]
- Belwal, T.; Devkota, H.P.; Hassan, H.A.; Ahluwalia, S.; Ramadan, M.F.; Mocan, A.; Atanasov, A.G. Phytopharmacology of Acerola (Malpighia spp.) and its potential as functional food. Trends Food Sci. Technol. 2018, 74, 99–106. [Google Scholar] [CrossRef]
- Sidwick, K.; Johnson, A.; Adam, C.; Pereira, L.; Thompson, D. Use of Liquid Chromatography Quadrupole Time-of-Flight Mass Spectrometry and Metabonomic Profiling To Differentiate between Normally Slaughtered and Dead on Arrival Poultry Meat. Anal. Chem. 2017, 89, 12131–12136. [Google Scholar] [CrossRef]
- Martinez Bueno, M.J.; Diaz-Galiano, F.J.; Rajski, L.; Cutillas, V.; Fernandez-Alba, A.R. A non-targeted metabolomic approach to identify food markers to support discrimination between organic and conventional tomato crops. J. Chromatogr. A 2018, 1546, 66–76. [Google Scholar] [CrossRef]
- Xu, L.; Xu, Z.; Kelly, S.; Liao, X. Integrating untargeted metabolomics and targeted analysis for not from concentrate and from concentrate orange juices discrimination and authentication. Food Chem. 2020, 329, 127130. [Google Scholar] [CrossRef]
- Lyu, W.; Yuan, B.; Liu, S.; Simon, J.; Wu, Q. Assessment of lemon juice adulteration by targeted screening using LC-UV-MS and untargeted screening using UHPLC-QTOF/MS with machine learning. Food Chem. 2022, 373, 131424. [Google Scholar] [CrossRef]
- Wasek, M.; Giebultowicz, J.; Sochacka, M.; Zawada, K.; Modzelewska, W.; Krześniak, L.M.; Wroczyński, P. The Measurement of Antioxidant Capacity and Polyphenol Content in Selected Food Supplements. Acta Pol. Pharm. 2015, 72, 877–887. [Google Scholar] [PubMed]
- Liu, R.; Zheng, W.; Li, J.; Wang, L.; Wu, H.; Wang, X.; Shi, L. Rapid identification of bioactive peptides with antioxidant activity from the enzymatic hydrolysate of Mactra veneriformis by UHPLC-Q-TOF mass spectrometry. Food Chem. 2015, 167, 484–489. [Google Scholar] [CrossRef] [PubMed]
- Cheng, Y.; Chen, J.; Xiong, Y. Chromatographic separation and tandem MS identification of active peptides in potato protein hydrolysate that inhibit autoxidation of soybean oil-in-water emulsions. J. Agric. Food Chem. 2010, 58, 8825–8832. [Google Scholar] [CrossRef] [PubMed]






Disclaimer/Publisher’s Note: The statements, opinions and data contained in all publications are solely those of the individual author(s) and contributor(s) and not of MDPI and/or the editor(s). MDPI and/or the editor(s) disclaim responsibility for any injury to people or property resulting from any ideas, methods, instructions or products referred to in the content. |
© 2023 by the authors. Licensee MDPI, Basel, Switzerland. This article is an open access article distributed under the terms and conditions of the Creative Commons Attribution (CC BY) license (https://creativecommons.org/licenses/by/4.0/).
Share and Cite
Wang, K.; Mi, L.; Wang, X.; Zhou, L.; Xu, Z. Integration of Untargeted Metabolomics and Object-Oriented Data-Processing Protocols to Characterize Acerola Powder Composition as Functional Food Ingredient. Antioxidants 2023, 12, 1341. https://doi.org/10.3390/antiox12071341
Wang K, Mi L, Wang X, Zhou L, Xu Z. Integration of Untargeted Metabolomics and Object-Oriented Data-Processing Protocols to Characterize Acerola Powder Composition as Functional Food Ingredient. Antioxidants. 2023; 12(7):1341. https://doi.org/10.3390/antiox12071341
Chicago/Turabian StyleWang, Kewen, Lu Mi, Xue Wang, Linyan Zhou, and Zhenzhen Xu. 2023. "Integration of Untargeted Metabolomics and Object-Oriented Data-Processing Protocols to Characterize Acerola Powder Composition as Functional Food Ingredient" Antioxidants 12, no. 7: 1341. https://doi.org/10.3390/antiox12071341
APA StyleWang, K., Mi, L., Wang, X., Zhou, L., & Xu, Z. (2023). Integration of Untargeted Metabolomics and Object-Oriented Data-Processing Protocols to Characterize Acerola Powder Composition as Functional Food Ingredient. Antioxidants, 12(7), 1341. https://doi.org/10.3390/antiox12071341
