Two Novel Lipophilic Antioxidants Derivatized from Curcumin
Abstract
:1. Introduction
2. Materials and Methods
2.1. Chemicals and Reagents
2.2. General Synthesis of Compounds
2.3. DPPH Test
2.4. Rancimat Test
2.5. Deep Frying Test
2.6. Statistical Analysis
3. Results
3.1. DPPH Test
3.2. Rancimat Test
3.3. Deep Frying Test
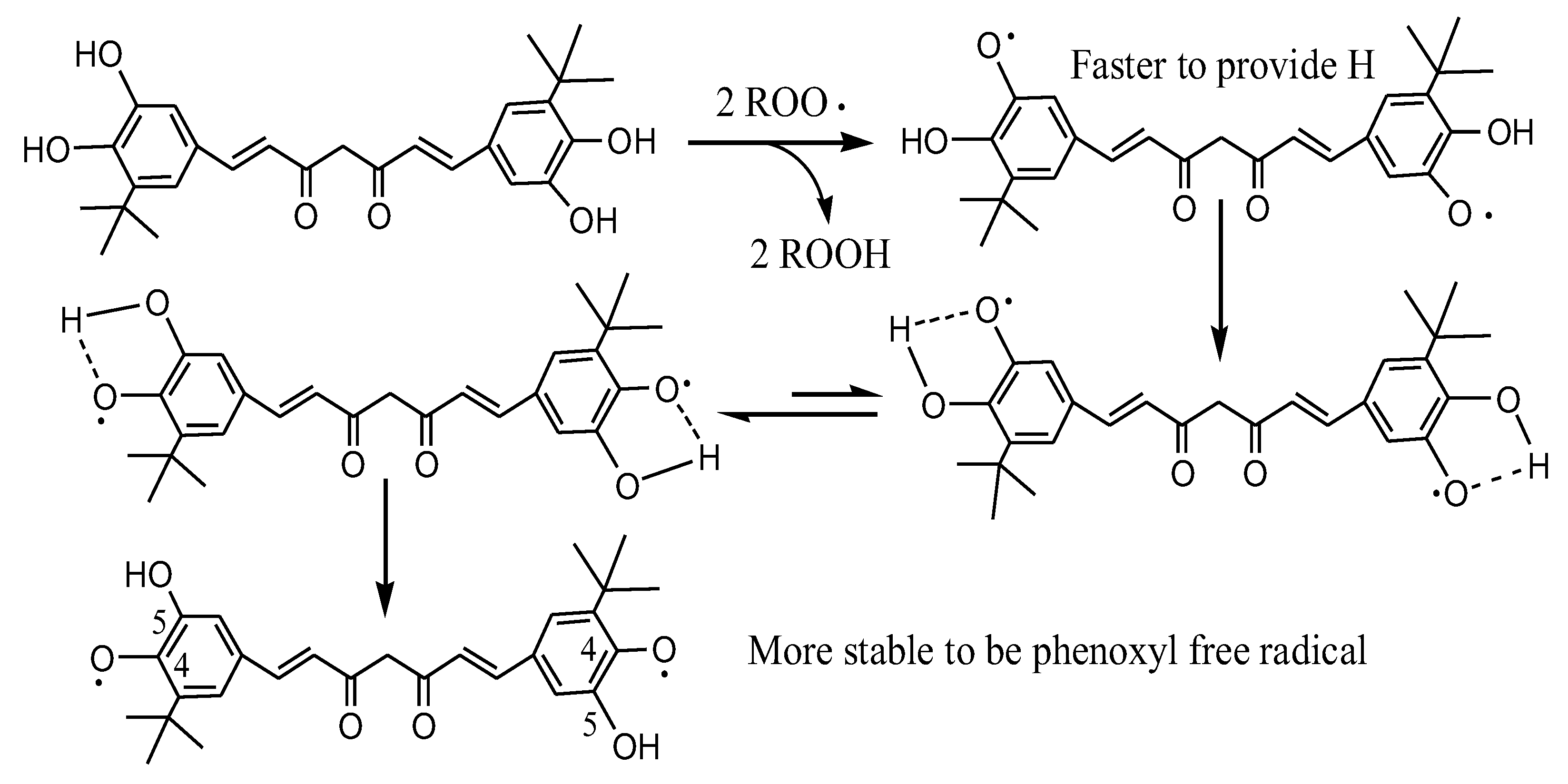
4. Discussion
5. Conclusions
Supplementary Materials
Author Contributions
Funding
Institutional Review Board Statement
Informed Consent Statement
Data Availability Statement
Acknowledgments
Conflicts of Interest
References
- Suzuki, Y.; Sudo, J.I. Lipid peroxidation and generations of oxygen radicals induced by cephaloridine in renal cortical microsomes of rats. Jpn. J. Pharmacol. 1990, 52, 233–243. [Google Scholar] [CrossRef]
- Alamed, J.; Chaiyasit, W.; Mcclements, D.J.; Decker, E.A. Relationships between free radical scavenging and antioxidant activity in foods. J. Agric. Food Chem. 2009, 57, 2969–2976. [Google Scholar] [CrossRef] [PubMed]
- Yao, Q. Advances in the detection and analysis of synthetic antioxidants in edible oils and fats. J. Food Saf. Qual. 2019, 10, 5104–5110. [Google Scholar]
- Zuijdgeest-van Leeuwen, S.D.; van den Berg, J.W.O.; Wattimena, J.L.D.; van der Gaast, A.; Swart, G.R.; Wilson, J.H.P.; Dagnelie, P.C. Lipolysis and lipid oxidation in weight-losing cancer patients and healthy subjects. Metabolism 2000, 49, 931–936. [Google Scholar] [CrossRef] [PubMed]
- Faria, A.; Pestana, D.; Teixeira, D.; Azevedo, J.; De Freitas, V.; Mateus, N.; Calhau, C. Flavonoid transport across RBE4 cells: A blood-brain barrier model. Cell Mol. Biol. Lett. 2010, 15, 234–241. [Google Scholar] [CrossRef] [PubMed]
- Nohmi, T.; Kim, S.R.; Yamada, M. Modulation of oxidative mutagenesis and carcinogenesis by polymorphic forms of human DNA repair enzymes. Mutat. Res.-Fund. Mol. Mech. Mutagen. 2005, 591, 60–73. [Google Scholar] [CrossRef] [PubMed]
- Giese, J. Antioxidants: Tools for Preventing Lipid Oxidation. Food Technol. 1996, 50, 73–74, 76, 78, 80–81. [Google Scholar]
- Gramza-Michałowska, A.; Kmiecik, D. Functional Aspects of Antioxidants in Traditional Food. In Functional Properties of Traditional Foods; Springer: Boston, MA, USA, 2016; Volume 1, pp. 1–7. [Google Scholar]
- Pokorný, J. Are natural antioxidants better–and safer–than synthetic antioxidants? Eur. J. Lipid Sci. Technol. 2010, 109, 629–642. [Google Scholar] [CrossRef]
- Khan, M.K.; Paniwnyk, L.; Hassan, S. Polyphenols as Natural Antioxidants: Sources, Extraction and Applications in Food, Cosmetics and Drugs. Green Chem. Sustain. Technol. 2019, 8, 197–235. [Google Scholar]
- Mateos, R.; Madrona, A.; Pereira-Caro, G.; Dominguez, V.; Ma Cert, R.; Parrado, J.; Sarria, B.; Bravo, L.; Luis Espartero, J. Synthesis and antioxidant evaluation of isochroman-derivatives of hydroxytyrosol: Structure–activity relationship. Food Chem. 2015, 173, 313–320. [Google Scholar] [CrossRef]
- Olajide, T.M.; Liu, T.; Liu, H.A.; Weng, X.C. Antioxidant properties of two novel lipophilic derivatives of hydroxytyrosol. Food Chem. 2020, 315, 1–8. [Google Scholar] [CrossRef] [PubMed]
- Khalafalla, R.E.; Müller, U.; Shahiduzzaman, M.; Dyachenko, V.; Desouky, A.Y.; Alber, G.; Daugschies, A. Effects of curcumin (diferuloylmethane) on Eimeria tenella sporozoites in vitro. Parasitol. Res. 2011, 108, 879. [Google Scholar] [CrossRef] [PubMed]
- Reinke, A.A.; Gestwicki, J.E. Structure-activity relationships of amyloid beta-aggregation inhibitors based on curcumin: Influence of linker length and flexibility. Chem. Biol. Drug Des. 2010, 70, 206–215. [Google Scholar] [CrossRef] [PubMed] [Green Version]
- Yang, H.; Du, Z.; Wang, W.; Song, M.; Sanidad, K.Z.; Sukamtoh, E.; Zheng, J.; Tian, L.; Xiao, H.; Liu, Z. Structure–Activity Relationship of Curcumin: Role of the Methoxy Group in Anti-inflammatory and Anticolitis Effects of Curcumin. J. Agric. Food Chem. 2017, 65, 4509–4515. [Google Scholar] [CrossRef] [PubMed]
- Adams, B.K.; Ferstl, E.M.; Davis, M.C.; Herold, M.; Shoji, M. Synthesis and biological evaluation of novel curcumin analogs as anti-cancer and anti-angiogenesis agents. Bioorg. Med. Chem. 2004, 12, 3871–3883. [Google Scholar] [CrossRef]
- Dong, W.; Liu, H. Research progress in new formulation of curcumin for anti-tumor. Acad. J. Second Mil. Med. Univ. 2015, 36, 771–775. [Google Scholar] [CrossRef]
- Oglah, M.K.; Mustafa, Y.F. Curcumin Analogues: Synthesis and Biological Activities. Med. Chem. Res. 2020, 29, 479–486. [Google Scholar] [CrossRef]
- Salle, A.D.; Viscusi, G.; Cristo, F.D.; Valentino, A.; Peluso, G. Antimicrobial and Antibiofilm Activity of Curcumin-Loaded Electrospun Nanofibers for the Prevention of the Biofilm-Associated Infections. Molecules 2021, 26, 4866. [Google Scholar] [CrossRef]
- Shi, G.L.; Olajide, T.M.; Liu, J.J.; Jiang, X.Y.; Weng, X.C. Butylated caffeic acid: An efficient novel antioxidant. Grasas Aceites 2017, 68, 1–8. [Google Scholar] [CrossRef] [Green Version]
- Ohkatsu, Y.; Matsuura, T.; Yamato, M. A phenolic antioxidant trapping both alkyl and peroxy radicals. Polym. Degrad. Stab. 2003, 81, 151–156. [Google Scholar] [CrossRef]
- Chen, Q.Q.; Pasdar, H.; Weng, X.C. Butylated methyl caffeate: A novel antioxidant. Grasas Y Aceites 2020, 71, 352. [Google Scholar] [CrossRef]
- Mazumder, A.; Neamati, N.; Sunder, S.; Schulz, J.; Pertz, H.; Eich, E.; Pommier, Y. Curcumin analogs with altered potencies against HIV-1 integrase as probes for biochemical mechanisms of drug action. J. Med. Chem. 1997, 40, 3057–3063. [Google Scholar] [CrossRef] [PubMed]
- Farhoosh, R. Shelf-life prediction of edible fats and oils using Rancimat. Lipid Technol. 2007, 71, 1692–1698. [Google Scholar] [CrossRef]
- Paquot, C.; Hautfenne, A. Standard methods for the analysis of oils, fats and derivatives, 7th edn. Anal. Chim. Acta 1979, 201, 2503–2526. [Google Scholar] [CrossRef]
- Otohinoyi, D.A.; Ekpo, O.; Ibraheem, O. Effect of ambient temperature storage on 2,2-diphenyl-1-picrylhydrazyl (DPPH) as a free radical for the evaluation of antioxidant activity. Int. J. Biol. Chem. Sci. 2014, 8, 1262–1268. [Google Scholar] [CrossRef] [Green Version]
- Zhang, W.H.; Shi, B.; Shi, J. A theoretical study on autoxidation of unsaturated fatty acids and antioxidant activity of phenolic compounds. J. Am. Leather Chem. 2007, 102, 99–105. [Google Scholar]
- Asap, T.; Augustin, M.A. Effect of TBHQ on quality characteristics of RBD olein during frying. J. Am. Chem. Soc. 1986, 63, 1169–1172. [Google Scholar] [CrossRef]
- Buck, D.F. Antioxidants in Soya Oil. J. Am. Chem. Soc. 1981, 58, 275–278. [Google Scholar] [CrossRef]
- Gao, H.; Yu, J.; Chen, N.; Zeng, W. Effects and mechanism of tea polyphenols on the quality of oil during frying process. J. Food Sci. 2020, 85, 3786–3796. [Google Scholar] [CrossRef]
- Jung-Min, P.; Jin-Man, K. Monitoring of Used Frying Oils and Frying Times for Frying Chicken Nuggets Using Peroxide Value and Acid Value. Korean J. Food Sci. Anim. Resour. 2016, 36, 612–616. [Google Scholar]
- Weber, W.M.; Hunsaker, L.A.; Abcouwer, S.F. Anti-oxidant activities of curcumin and related enones. Bioorg. Med. Chem. 2005, 13, 3811–3820. [Google Scholar] [CrossRef] [PubMed]
- Srinivasan, M.; Sudheer, A.R.; Menon, V.P. Ferulic acid: Therapeutic potential through its antioxidant property. J. Clin. Biochem. Nutr. 2007, 40, 92–100. [Google Scholar] [CrossRef] [PubMed] [Green Version]
- Lee, K.H.; Ab Aziz, F.H.; Syahida, A. Synthesis and biological evaluation of curcumin-like diarylpentanoid analogues for anti-inflammatory, antioxidant and anti-tyrosinase activities. Eur. J. Med. Chem. 2009, 44, 3195–3200. [Google Scholar] [CrossRef] [PubMed]
- Rukkumani, R.; Balasubashini, M.S.; Vishwanathan, P. Comparative effects of curcumin and photo-irradiated curcumin on alcohol- and poly-unsaturated fatty acid-inducedhyperlipidemia. Pharmacol. Res. 2002, 46, 257–264. [Google Scholar] [CrossRef]
- Khairia, M.; Youssef, M.A.E. Synthesis and antitumor activity of some curcumin analogs. Archiv Der Pharmazie 2005, 338, 181–189. [Google Scholar]




| Compounds | EC50 (mg/L) | PHW/100 g A * (g/100 g) | FHW/100 g A # (g/100 g) |
|---|---|---|---|
| BHT | 81.0 ± 0.37 a | 7.7 | 7.7 |
| TBHQ | 19.5 ± 0.30 d | 20.5 | 20.5 |
| Cur | 40.5 ± 0.18 c | 9.2 | 13.8 |
| TBC | 73.0 ± 0.09 b | 7.1 | 10.6 |
| DMC | 10.0 ± 0.01 e | 20.0 | 30.0 |
| DMTC | 12.3 ± 0.10 e | 15.0 | 22.5 |
| Conc (%) | Pf | |||||
|---|---|---|---|---|---|---|
| BHT | TBHQ | Cur | TBC | DMC | DMTC | |
| 0.01 | 1.82 ± 0.18 gh | 7.92 ± 0.45 d | 1.41 ± 0.05 h | 2.08 ± 0.11 gh | 6.87 ± 0.43 e | 13.36 ± 0.23 b |
| 0.02 | 2.22 ± 0.05 gh | 9.16 ± 0.32 d | 2.72 ± 0.02 fg | 3.36 ± 0.18 f | 11.35 ± 0.21 c | 22.04 ± 0.27 a |
| Tem (°C) | BHT | TBHQ | Cur | TBC | DMC | DMTC |
|---|---|---|---|---|---|---|
| 100 | 2.2 ± 0.05 op | 9.2 ± 0.32 gh | 2.7 ± 0.02 op | 3.4 ± 0.18 no | 11.4 ± 0.21 ef | 22.0 ± 0.27 a |
| 110 | 2.0 ± 0.07 op | 7.8 ± 0.21 hij | 2.3 ± 0.10 op | 2.8 ± 0.12 op | 9.9 ± 0.14 fg | 19.0 ± 0.79 b |
| 120 | 1.8 ± 0.09 p | 6.4 ± 0.20 jkl | 1.9 ± 0.13 op | 2.2 ± 0.10 op | 8.2 ± 0.02 hi | 15.6 ± 0.52 c |
| 130 | 1.6 ± 0.18 p | 5.4 ± 0.14 lm | 1.7 ± 0.21 p | 1.9 ± 0.06 op | 7.1 ± 0.21 ijk | 13.4 ± 0.33 d |
| 140 | 1.4 ± 0.46 p | 4.6 ± 0.49 mn | 1.5 ± 0.21 p | 1.9 ± 0.14 op | 6.0 ± 0.26 klm | 12.0 ± 0.29 de |
Publisher’s Note: MDPI stays neutral with regard to jurisdictional claims in published maps and institutional affiliations. |
© 2022 by the authors. Licensee MDPI, Basel, Switzerland. This article is an open access article distributed under the terms and conditions of the Creative Commons Attribution (CC BY) license (https://creativecommons.org/licenses/by/4.0/).
Share and Cite
Liu, T.; Liu, X.; Olajide, T.M.; Xu, J.; Weng, X. Two Novel Lipophilic Antioxidants Derivatized from Curcumin. Antioxidants 2022, 11, 796. https://doi.org/10.3390/antiox11040796
Liu T, Liu X, Olajide TM, Xu J, Weng X. Two Novel Lipophilic Antioxidants Derivatized from Curcumin. Antioxidants. 2022; 11(4):796. https://doi.org/10.3390/antiox11040796
Chicago/Turabian StyleLiu, Tao, Xiaohan Liu, Tosin M. Olajide, Jia Xu, and Xinchu Weng. 2022. "Two Novel Lipophilic Antioxidants Derivatized from Curcumin" Antioxidants 11, no. 4: 796. https://doi.org/10.3390/antiox11040796
APA StyleLiu, T., Liu, X., Olajide, T. M., Xu, J., & Weng, X. (2022). Two Novel Lipophilic Antioxidants Derivatized from Curcumin. Antioxidants, 11(4), 796. https://doi.org/10.3390/antiox11040796

