Yerba Mate as a Source of Elements and Bioactive Compounds with Antioxidant Activity
Abstract
:1. Introduction
2. Materials and Methods
2.1. Reagents and Materials
2.2. Analysis of Yerba Mate Materials
2.3. Samples
2.4. Preparation of Yerba Mate Infusion
2.5. Determination of the Tested Elements by Flame Atomic Absorption Spectroscopy
2.6. Determination of Organic Compounds in Yerba Mate Products
2.7. Determination of Indole Derivatives
2.8. Determination of Antioxidant Activity Using DPPH Method
2.9. Determination of Total Phenolic Compounds (TPC)
2.10. Determination of Total Flavonoid Compounds (TFC)
2.11. Determination of Antioxidant Activity Using FRAP Method
2.12. Statistical Analysis
3. Results and Discussion
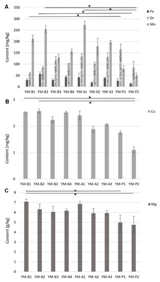
3.1. Selected Elements Determined in Yerba Mate by Atomic Absorption Spectrometry
3.2. Organic Compounds in the Analyzed Yerba Mate Materials
3.3. Antioxidant Activity
4. Conclusions
Author Contributions
Funding
Institutional Review Board Statement
Informed Consent Statement
Data Availability Statement
Conflicts of Interest
References
- Gawron-Gzella, A.; Chanaj-Kaczmarek, J.; Cielecka-Piontek, J. Yerba Mate—A Long but Current History. Nutrients 2021, 13, 3706. [Google Scholar] [CrossRef] [PubMed]
- Assessment Report on Ilex paraguariensis St. Hilaire, Folium. Available online: https://www.ema.europa.eu/en/documents/herbal-report/final-assessment-report-ilex-paraguariensis-st-hilaire-folium-first-version_en.pdf (accessed on 1 December 2021).
- Acevedo, R.M.; Avico, E.H.; González, S.; Salvador, A.R.; Rivarola, M.; Paniego, N.; Nunes-Nesi, A.; Ruiz, O.A.; Sansberro, P.A. Transcript and metabolic adjustments triggered by drought in Ilex paraguariensis leaves. Planta 2019, 250, 445–462. [Google Scholar] [CrossRef] [PubMed]
- Cogoi, L.; Giacomino, M.S.; Pellegrino, N.; Anesini, C.; Filip, R. Nutritional and phytochemical study of Ilex paraguariensis fruits. J. Chem. 2013, 2013, 750623. [Google Scholar] [CrossRef]
- Fraga, C.G.; Croft, K.D.; Kennedy, D.O.; Tomás-Barberán, F.A. The effects of polyphenols and other bioactives on human health. Food Funct. 2019, 10, 514. [Google Scholar] [CrossRef] [PubMed] [Green Version]
- Gan, R.; Zhang, D.; Wang, M.; Corke, H. Health Benefits of Bioactive Compounds from the Genus Ilex, a Source of Traditional Caffeinated Beverages. Nutrients 2018, 10, 1682. [Google Scholar] [CrossRef] [PubMed] [Green Version]
- Bergman, M.E.; Davis, B.; Phillips, M.A. Medically Useful Plant Terpenoids: Biosynthesis, Occurrence, and Mechanism of Action. Molecules 2019, 24, 3961. [Google Scholar] [CrossRef] [Green Version]
- Chianese, G.; Golin, S.; Taglialatela-Scafati, O.; Collado, J.; Munoz, E.; Appendino, G.; Pollastro, F. Bioactive triterpenoids from the caffeine-rich plants guayusa and maté. Food Res. Int. 2019, 115, 504–510. [Google Scholar] [CrossRef] [PubMed]
- Mlala, S.; Oyedeji, A.O.; Gondwe, M.; Oyedeji, O.O. Ursolic Acid and Its Derivatives as Bioactive Agents. Molecules 2019, 24, 2751. [Google Scholar] [CrossRef] [Green Version]
- Guclu-Ustundag, Ö.; Mazza, G. Saponins: Properties, applications and processing. Crit. Rev. Food Sci. Nutr. 2007, 47, 231–258. [Google Scholar] [CrossRef] [PubMed]
- De Resende, P.E.; Verza, S.G.; Kaiser, S.; Gomes, L.F.; Kucharski, L.C.; Ortega, G.G. The activity of mate saponins (Ilex paraguariensis) in intra-abdominal and epididymal fat, and glucose oxidation in male Wistar rats. J. Ethnopharmacol. 2012, 144, 735–740. [Google Scholar] [CrossRef] [Green Version]
- Murakami, A.N.N.; Amboni, R.D.D.M.C.; Prudêncio, E.S.; Amante, E.R.; Fritzen-Freire, C.B.; Boaventura, B.C.B.; Muñoz, I.D.B.; Branco, C.D.S.; Salvador, M.; Maraschin, M. Concentration of biologically active compounds extracted from Ilex paraguariensis St. Hil. by nanofiltration. Food Chem. 2013, 141, 60–65. [Google Scholar] [CrossRef] [PubMed] [Green Version]
- Lorini, A.; Damin, F.M.; de Oliveira, D.N.; Crizel, R.L.; Godoy, H.T.; Galli, V.; Meinhart, A.D. Characterization and quantification of bioactive compounds from Ilex paraguariensis residue by HPLC-ESI-QTOF-MS from plants cultivated under different cultivation systems. J. Food Sci. 2021, 86, 1599–1619. [Google Scholar] [CrossRef] [PubMed]
- Riachi, L.G.; De Maria, C.A.B. Yerba mate: An overview of physiological effects in humans. J. Funct. Foods 2017, 38, 308–320. [Google Scholar] [CrossRef]
- Valduga, A.T.; Gonçalves, I.L.; Magri, E.; Delalibera Finzer, J.R. Chemistry, pharmacology and new trends in traditional functional and medicinal beverages. Food Res. Int. 2019, 120, 478–503. [Google Scholar] [CrossRef]
- Bracesco, N.; Sanchez, A.G.; Contreras, V.; Menini, T.; Gugliucci, A. Recent advances on Ilex paraguariensis research: Minireview. J. Ethnopharmacol. 2011, 136, 378–384. [Google Scholar] [CrossRef]
- Loria, D.; Barrios, E.; Zanetti, R.; Roffo, Á.H.; San Martin, A. Cancer and yerba mate consumption: A review of possible associations. Revista Panamericana de Salud Pública 2009, 25, 530–539. [Google Scholar] [CrossRef] [Green Version]
- Dmowski, P.; Post, L. Wpływ krotności parzenia na właściwości przeciwutleniające naparów Yerba Mate. Zeszyty Naukowe Akademii Morskiej w Gdyni 2018, 2486, 9–18. [Google Scholar] [CrossRef]
- Opoka, W.; Piotrowska, J.; Krakowski, A.; Kryczyk, A.; Sałat, K.; Zygmunt, M.; Librowski, T.; Muszyńska, B. Effect of selected drugs on zinc accumulation in teeth of laboratory animals. Pharmacol. Rep. 2018, 70, 684–687. [Google Scholar] [CrossRef]
- Opoka, W.; Kryczyk-Poprawa, A.; Krakowska, A.; Piotrowska, J.; Gdula-Argasińska, J.; Kała, K.; Linek, M.; Muszyńska, B. The evaluation of effect of selected metal ions on the efficiency of passive and active transport of imipramine. Psychiatr. Pol. 2019, 53, 1169–1179. [Google Scholar] [CrossRef]
- Krakowska, A.; Kała, K.; Rospond, B.; Szewczyk, A.; Opoka, W.; Muszyńska, B. Extraction of selected prohealth substances from Curcuma longa and Zingiber officinale in artificial digestive juices. J. Sci. Food Agric. 2021. [Google Scholar] [CrossRef]
- Muszyńska, B.; Kała, K.; Włodarczyk, A.; Krakowska, A.; Ostachowicz, B.; Gdula-Argasińska, J.; Suchocki, P. Lentinula edodes as a source of bioelements released into artificial digestive juices and potential anti-inflammatory material. Biol. Trace Elem. Res. 2020, 194, 603–613. [Google Scholar] [CrossRef] [PubMed] [Green Version]
- Molyneux, P. The use of the stable free radical diphenylpicrylhydrazyl (DPPH) for estimating antioxidant activity. Songklanakarin J. Sci. Technol. 2004, 26, 211–219. [Google Scholar]
- Djeridane, A.; Yousfi, M.; Nadjemi, B.; Boutassouna, D.; Stocker, P.; Vidal, N. Antioxidant activity of some Algerian medicinal plants extracts containing phenolic compounds. Food Chem. 2006, 97, 654–660. [Google Scholar] [CrossRef]
- Zhishen, J.; Mengcheng, T.; Jianming, W. The determination of flavonoid contents in mulberry and their scavenging effects on superoxide radicals. Food Chem. 1999, 64, 555–559. [Google Scholar] [CrossRef]
- Benzie, I.F.F.; Strain, J.J. The ferric reducing ability of plasma as a measure of “antioxidant power”: The FRAP assay. Anal. Biochem. 1996, 239, 70–76. [Google Scholar] [CrossRef] [Green Version]
- Bastos, M.C.; Reissmann, C.B.; Keseker, J.F.; Pauletti, V.; Gaiad, S.; Sturion, J.A. Mineral content of young leaves of yerba mate. Pesqui. Florest. Bras. 2014, 34, 63–71. [Google Scholar] [CrossRef] [Green Version]
- Olivari, I.; Paz, S.; Gutiérrez, A.J.; González-Weller, D.; Hardisson, A.; Sagratini, G.; Rubio, C. Macroelement, trace element, and toxic metal levels in leaves and infusions of yerba mate (Ilex paraguariensis). Environ. Sci. Pollut. Res. 2020, 27, 21341–21352. [Google Scholar] [CrossRef]
- Marcelo, M.C.A.; Martins, C.A.; Pozebon, D.; Dressler, V.L.; Ferrão, M.F. Classification of yerba mate (Ilex paraguariensis) according to the country of origin based on element concentrations. Microchem. J. 2014, 117, 164–171. [Google Scholar] [CrossRef]
- Baran, A.; Gruszecka-Kosowska, A.; Kołton, A.; Jasiewicz, C.; Piwowar, P. Content and health risk assessment of selected elements in the Yerba mate (Ilex paraguariensis, St. hillaire). Hum. Ecol. Risk Assess. 2018, 24, 1092–1114. [Google Scholar] [CrossRef]
- Magnesium—Fact Sheet for Health Professionals. Available online: https://ods.od.nih.gov/factsheets/Magnesium-HealthProfessional/ (accessed on 1 December 2021).
- Gröber, U.; Schmidt, J.; Kisters, K. Magnesium in prevention and therapy. Nutrients 2015, 7, 8199–8226. [Google Scholar] [CrossRef] [Green Version]
- Zinc—Health Professional Fact Sheet. Available online: https://ods.od.nih.gov/factsheets/Zinc-HealthProfessional/ (accessed on 1 December 2021).
- Maret, W.; Sandstead, H.H. Zinc requirements and the risks and benefits of zinc supplementation. J. Trace Elem. Med. Biol. 2006, 20, 3–18. [Google Scholar] [CrossRef] [PubMed]
- Available online: https://ods.od.nih.gov/factsheets/Manganese-HealthProfessional/ (accessed on 1 December 2021).
- O’Neal, S.L.; Zheng, W. Manganese Toxicity Upon Overexposure: A Decade in Review. Curr. Environ. Health Rep. 2015, 2, 315–328. [Google Scholar] [CrossRef] [Green Version]
- Valerga, J.; Reta, M.; Lanari, M.C. Polyphenol input to the antioxidant activity of yerba mate (Ilex paraguariensis) extracts. LWT-Food Sci. Technol. 2012, 45, 28–35. [Google Scholar] [CrossRef]
- Heck, C.I.; De Mejia, E.G. Yerba mate tea (Ilex paraguariensis): A comprehensive review on chemistry, health implications, and technological considerations. J. Food Sci. 2007, 72, R138–R151. [Google Scholar] [CrossRef]
- Grosso, G.; Stepaniak, U.; Topor-Mądry, R.; Szafraniec, K.; Pająk, A. Estimated dietary intake and major food sources of polyphenols in the Polish arm of the HAPIEE study. Nutrition 2014, 30, 1398–1403. [Google Scholar] [CrossRef] [PubMed] [Green Version]
- Corrêa, V.G.; Tureck, C.; Locateli, G.; Koehnlein, E.A.; Peralta, R.M. Estimate of consumption of phenolic compounds by Brazilian population. Rev. Nutr. 2015, 28, 185–196. [Google Scholar] [CrossRef] [Green Version]
- Carnauba, R.A.; Hassimotto, N.M.A.; Lajolo, F.M. Estimated dietary polyphenol intake and major food sources of the Brazilian population. Br. J. Nutr. 2021, 126, 441–448. [Google Scholar] [CrossRef] [PubMed]
- da Silveira, T.F.F.; Meinhart, A.D.; de Souza, T.C.L.; Teixeira Filho, J.; Godoy, H.T. Phenolic compounds from yerba mate based beverages—A multivariate optimisation. Food Chem. 2016, 190, 1159–1167. [Google Scholar] [CrossRef] [Green Version]
- Amaral da Silva, F.; Pavei, C.; Ortega, G.G.; Lima, E.M.; Almeida Diniz, D.G.; Fonseca Moreira, J.C.; Bassani, V.L. Validation of an LC method for polyphenol assay in extractive solutions from Ilex paraguariensis (Mate). J. Liq. Chromatogr. Relat. Technol. 2007, 30, 3119–3131. [Google Scholar] [CrossRef]
- Mateos, R.; Baeza, G.; Sarriá, B.; Bravo, L. Improved LC-MSn characterization of hydroxycinnamic acid derivatives and flavonols in different commercial mate (Ilex paraguariensis) brands. Quantification of polyphenols, methylxanthines, and antioxidant activity. Food Chem. 2018, 241, 232–241. [Google Scholar] [CrossRef] [Green Version]
- Bastos, D.H.; Saldanha, L.A.; Catharino, R.R.; Sawaya, A.; Cunha, I.B.; Carvalho, P.O.; Eberlin, M.N. Phenolic antioxidants identified by ESI-MS from yerba mate (Ilex paraguariensis) and green tea (Camelia sinensis) extracts. Molecules 2007, 12, 423–432. [Google Scholar] [CrossRef] [PubMed]


| Element | Sample | Content (mg/L) | % of Content in Infusions Compared to the Content in Dried Material |
|---|---|---|---|
| Mg | YM-B1 | 144.75 ± 6.8 | 29.9% |
| YM-P2 | 44.45 ± 13.7 | 14.0% | |
| Zn | YM-P1 | 3.14 ± 0.0 | 27.8% |
| YM-B1 | 1.00 ± 0.0 | 24.9% | |
| Mn | YM-A1 | 3.67 ± 0.1 | 18.9% |
| YM-P2 | 1.70 ± 0.0 | 50.2% |
| Element | Sample | % RDA at Intake of Approximately 1 L per Day | |
|---|---|---|---|
| Men | Women | ||
| Mg | YM-B1 | 34.5% | 45.2% |
| YM-P2 | 10.6% | 13.9% | |
| Zn | YM-P1 | 28.6% | 39.3% |
| YM-B1 | 9.1% | 12.5% | |
| Mn | YM-A1 | 159.8% | 204.1% |
| YM-P2 | 80.0% | 94.5% | |
| Neochlorogenic Acid | Chlorogenic Acid | Cryptochlorogenic Acid | Caffeic Acid | 4-Feruloylquinic Acid | isochlorogenic Acid | Rutoside | Astragalin | Caffeine | |
|---|---|---|---|---|---|---|---|---|---|
| [mg/g dry mass] ± SD | |||||||||
| YM-B1 | 39.03 ± 0.64 a | 19.00 ± 0.29 a | 17.84 ± 0.29 a | 0.60 ± 0.02 a | 2.92 ± 0.10 a | 28.82 ± 0.47 a | 8.77 ± 0.26 a | 1.61 ± 1.10 | 1.17 ± 0.00 a |
| YM-B2 | 24.46 ± 0.18 | 12.37 ± 0.06 | 12.18 ± 0.19 | 0.44 ± 0.01 | 2.20 ± 0.02 | 22.20 ± 0.20 | 6.53 ± 0.09 | 1.61 ± 0.01 | 0.74 ± 0.02 |
| YM-B4 | 25.95 ± 0.20 c | 12.12 ± 0.30 | 13.59 ± 0.30 | 0.39 ± 0.02 | 1.75 ± 0.08 | 24.32 ± 0.20 | 8.19 ± 0.23 | 1.40 ± 0.03 | 0.86 ± 0.02 b |
| YM-A1 | 15.61 ± 0.28 | 7.04 ± 0.24 | 6.91 ± 0.36 | 0.21 ± 0.01 | 1.19 ± 0.08 | 11.26 ± 0.32 | 4.98 ± 0.21 | 0.93 ± 0.03 | 0.42 ± 0.01 |
| YM-A2 | 20.06 ± 0.05 | 10.22 ± 0.24 | 11.60 ± 0.33 | 0.34 ± 0.03 | 1.40 ± 0.05 | 14.83 ± 0.19 | 6.18 ± 0.14 | 0.94 ± 0.01 | 0.59 ± 0.01 |
| YM-A3 | 23.81 ± 0.28 | 12.13 ± 0.28 | 12.07 ± 0.42 | 0.26 ± 0.01 | 1.52 ± 0.12 | 21.06 ± 0.56 | 6.51 ± 0.49 | 1.00 ± 0.03 | 0.70 ± 0.01 |
| YM-P1 | 16.86 ± 0.07 | 10.52 ± 0.36 | 11.36 ± 0.48 | 0.38 ± 0.02 | 1.91 ± 0.15 | 15.90 ± 0.12 | 5.51 ± 0.16 | 0.98 ± 0.28 | 0.46 ± 0.02 |
| YM-P2 | 5.39 ± 0.09 a | 3.21 ± 0.06 a | 3.48 ± 0.10 a | 0.07 ± 0.00 a | 0.57 ± 0.00 a | 4.78 ± 0.13 a | 1.73 ± 0.03 a | 0.38 ± 0.01 | 0.18 ± 0.00 ab |
| YM-B3 * | 1.24 ± 0.03 | 1.77 ± 0.050 | 1.32 ± 0.01 | 0.05 ± 0.00 | 0.56 ± 0.02 | 0.45 ± 0.02 | 0.27 ± 0.01 | 0.14 ± 0.00 | 0.29 ± 0.01 |
| DPPH° * | FRAP ** | TPC *** | TFC *** | |
|---|---|---|---|---|
| YM-B1 | 61.29 ± 1.44 e | 69.39 ± 2.84 c | 86.23 ± 2.84 c | 475.56 ± 11.74 d |
| YM-B2 | 52.34 ± 1.98 cd | 42.04 ± 1.86 b | 70.16 ± 2.61 c | 338.35 ± 33.84 bc |
| YM-B3 | 20.20 ± 0.77 a | 1.94 ± 0.49 a | 22.05 ± 0.52 a | 36.65 ± 2.82 a |
| YM-B4 | 46.23 ± 1.38 bc | 117.88 ± 14.45 e | 62.92 ± 2.03 bc | 360.91 ± 14.92 bc |
| YM-A1 | 53.03 ± 0.81 d | 62.75 ± 1.77 c | 82.23 ± 3.05 c | 582.71 ± 24.43 e |
| YM-A2 | 43.46 ± 1.27 b | 52.22 ± 3.87 bc | 57.74 ± 3.88 b | 340.23 ± 21.35 bc |
| YM-A3 | 50.95 ± 3.01 cd | 56.87 ± 1.67 bc | 66.03 ± 3.81 bc | 329.89 ± 28.19 b |
| YM-P1 | 41.86 ± 2.49 b | 41.77 ± 3.98 b | 56.35 ± 2.01 b | 332.71 ± 25.84 b |
| YM-P2 | 59.55 ± 1.61 e | 62.15 ± 3.83 c | 85.06 ± 5.97 c | 404.13 ± 14.19 c |
Publisher’s Note: MDPI stays neutral with regard to jurisdictional claims in published maps and institutional affiliations. |
© 2022 by the authors. Licensee MDPI, Basel, Switzerland. This article is an open access article distributed under the terms and conditions of the Creative Commons Attribution (CC BY) license (https://creativecommons.org/licenses/by/4.0/).
Share and Cite
Rząsa-Duran, E.; Kryczyk-Poprawa, A.; Drabicki, D.; Podkowa, A.; Sułkowska-Ziaja, K.; Szewczyk, A.; Kała, K.; Opoka, W.; Zięba, P.; Fidurski, M.; et al. Yerba Mate as a Source of Elements and Bioactive Compounds with Antioxidant Activity. Antioxidants 2022, 11, 371. https://doi.org/10.3390/antiox11020371
Rząsa-Duran E, Kryczyk-Poprawa A, Drabicki D, Podkowa A, Sułkowska-Ziaja K, Szewczyk A, Kała K, Opoka W, Zięba P, Fidurski M, et al. Yerba Mate as a Source of Elements and Bioactive Compounds with Antioxidant Activity. Antioxidants. 2022; 11(2):371. https://doi.org/10.3390/antiox11020371
Chicago/Turabian StyleRząsa-Duran, Elżbieta, Agata Kryczyk-Poprawa, Dawid Drabicki, Adrian Podkowa, Katarzyna Sułkowska-Ziaja, Agnieszka Szewczyk, Katarzyna Kała, Włodzimierz Opoka, Piotr Zięba, Maciej Fidurski, and et al. 2022. "Yerba Mate as a Source of Elements and Bioactive Compounds with Antioxidant Activity" Antioxidants 11, no. 2: 371. https://doi.org/10.3390/antiox11020371
APA StyleRząsa-Duran, E., Kryczyk-Poprawa, A., Drabicki, D., Podkowa, A., Sułkowska-Ziaja, K., Szewczyk, A., Kała, K., Opoka, W., Zięba, P., Fidurski, M., & Muszyńska, B. (2022). Yerba Mate as a Source of Elements and Bioactive Compounds with Antioxidant Activity. Antioxidants, 11(2), 371. https://doi.org/10.3390/antiox11020371

