Dietary Plant Extracts Improve the Antioxidant Reserves in Weaned Piglets
Abstract
1. Introduction
2. Materials and Methods
2.1. Animals and Experimental Design
2.2. Data Collection
2.3. Sampling
2.4. Antioxidant Capacity of Plant Extract
2.5. Blood Analyses
2.5.1. Total Antioxidant Activity
2.5.2. Antioxidant Reserves
2.6. Statistical Analysis
3. Results
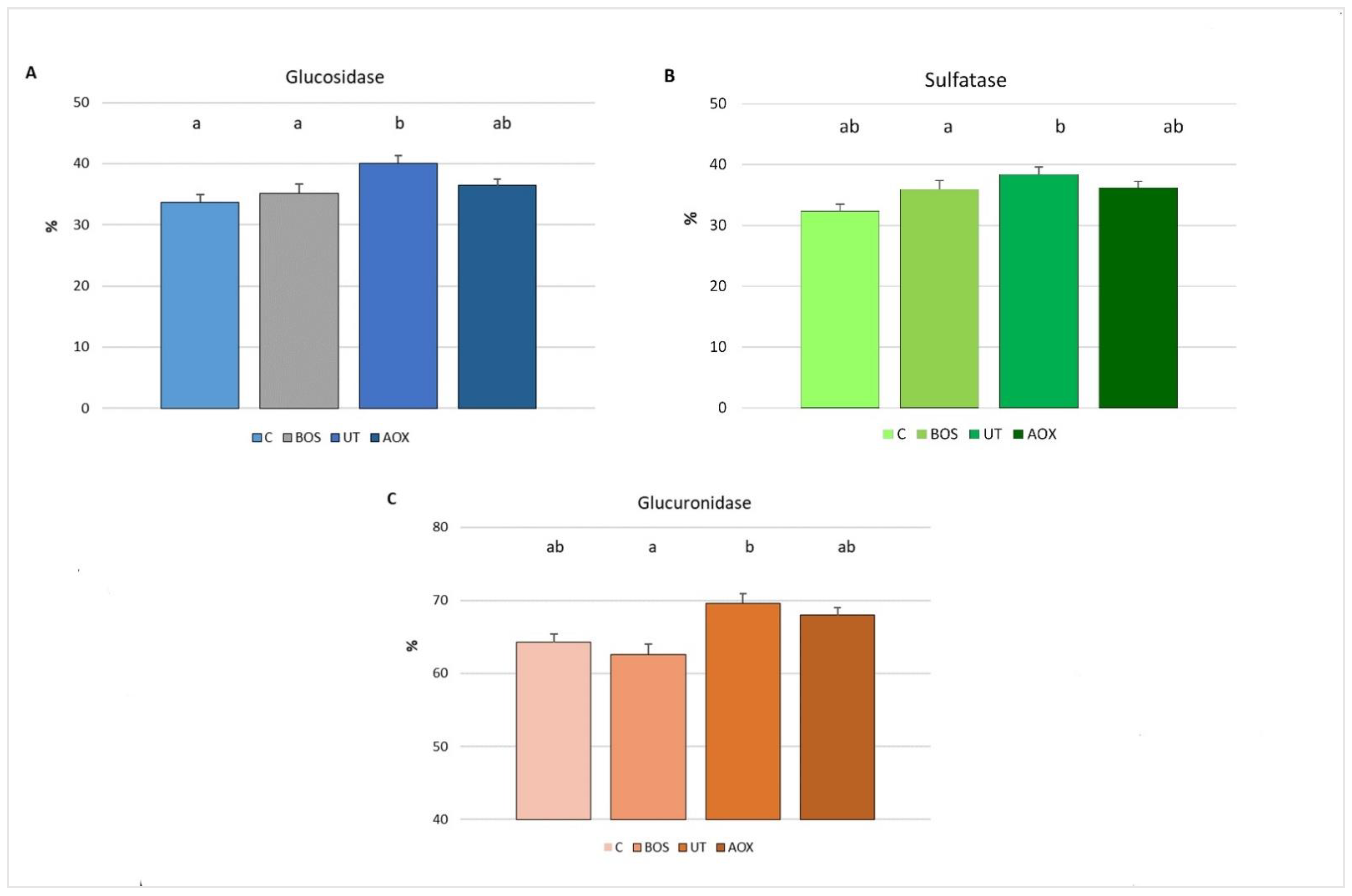
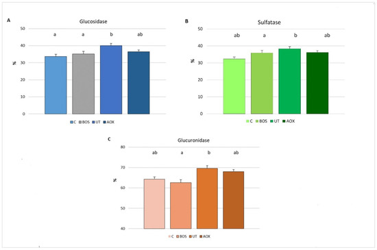
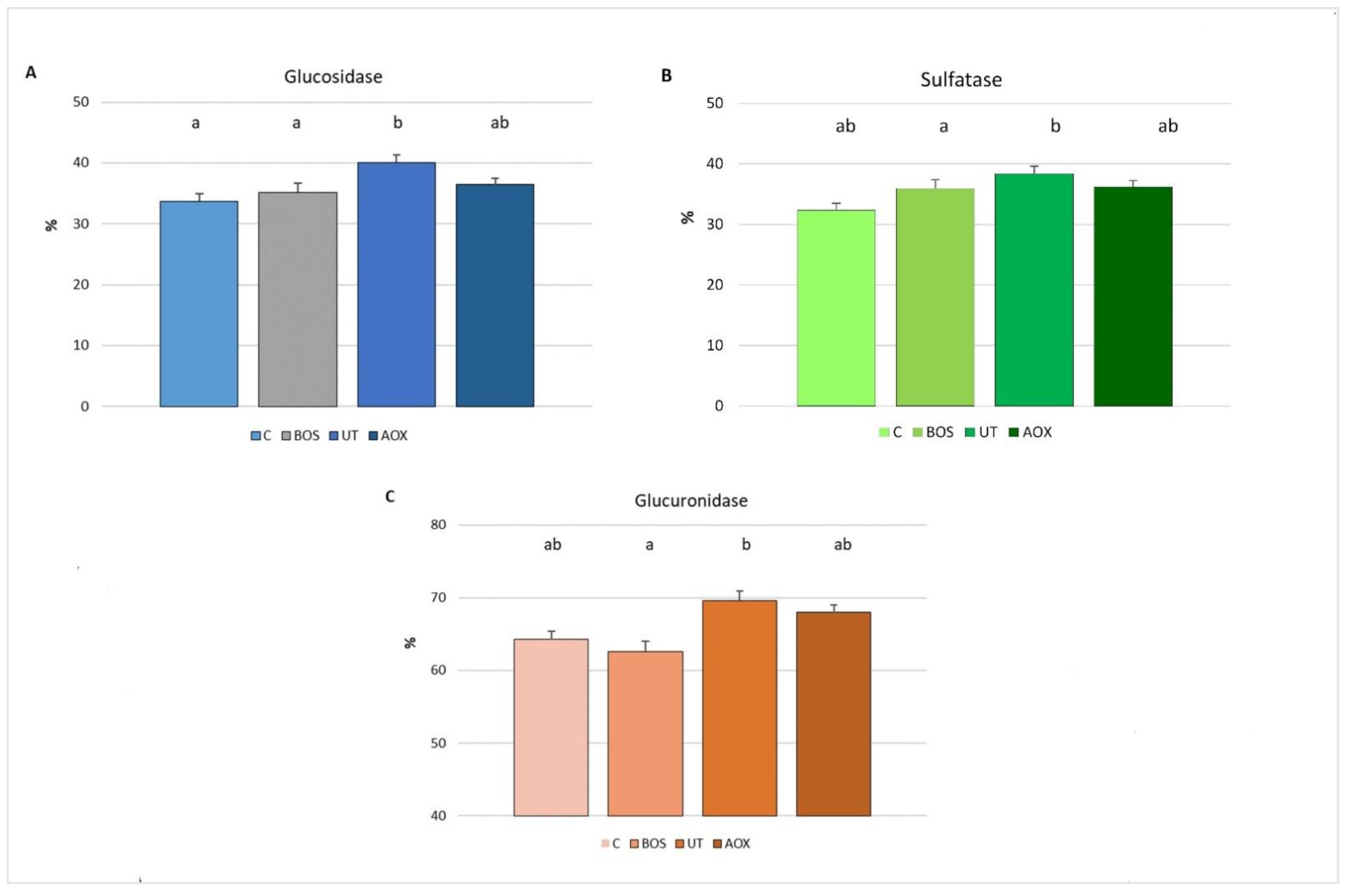
3.1. In Vitro Antioxidant Activity of Natural Extracts
3.2. Productive Parameters
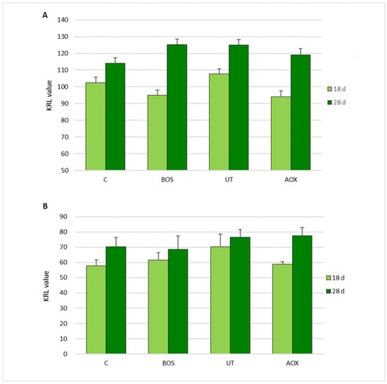
3.3. Total Antioxidant Activity
3.4. Antioxidant Reserves
4. Discussion
5. Conclusions
Author Contributions
Funding
Institutional Review Board Statement
Informed Consent Statement
Data Availability Statement
Conflicts of Interest
References
- Lipiński, K.; Mazur-Kuśnirek, M.; Antoszkiewicz, Z.; Purwin, C. Polyphenols in Monogastric Nutrition—A Review. Ann. Anim. Sci. 2017, 17, 41–58. [Google Scholar] [CrossRef]
- Windisch, W.; Schedle, K.; Plitzner, P.; Kroismayr, A. Use of phytogenic products as feed additives for swine and poultry. J. Anim. Sci. 2008, 86, E140–E148. [Google Scholar] [CrossRef]
- Hashemi, S.R.; Davoodi, H. Herbal plants and their derivatives as growth and health promoters in animal nutrition. Vet. Res. Comm. 2011, 35, 169–180. [Google Scholar] [CrossRef] [PubMed]
- Zhao, Y.; Wu, Y.; Wang, M. Bioactive Substances of Plant Origin. In Handbook of Food Chemistry; Cheung, P., Mehta, B., Eds.; Springer: Heidelberg, Germany, 2015; pp. 967–1008. [Google Scholar]
- Maina, S.; Misinzo, G.; Bakari, G.; Kim, H.-Y. Human, Animal and Plant Health Benefits of Glucosinolates and Strategies for Enhanced Bioactivity: A Systematic Review. Molecules 2020, 25, 3682. [Google Scholar] [CrossRef]
- Manach, C.; Scalbert, A.; Morand, C.; Remesy, C.; Jimenez, L. Polyphenols: Food sources and bioavailability. Am. J. Clin. Nutr. 2004, 79, 727–747. [Google Scholar] [CrossRef]
- Gessner, D.K.; Ringseis, R.; Eder, K. Potential of plant polyphenols to combat oxidative stress and inflammatory processes in farm animals. J. Anim. Physiol. Anim. Nutr. 2017, 101, 605–628. [Google Scholar] [CrossRef] [PubMed]
- Perrino, E.V.; Valerio, F.; Gannouchi, A.; Trani, A.; Mezzapesa, G. Ecological and Plant Community Implication on Essential Oils Composition in Useful Wild Officinal Species: A Pilot Case Study in Apulia (Italy). Plants 2021, 10, 574. [Google Scholar] [CrossRef] [PubMed]
- Faria, A.; Fernandes, I.; Norberto, S.; Mateus, N.; Calhau, C. Interplay between anthocyans and gut microbiota. J. Agric. Food Chem. 2014, 62, 6898–6902. [Google Scholar] [CrossRef]
- Andreasen, M.F.; Kroon, P.A.; Williamson, G.; Garcia-Gones, M.T. Intestinal release and uptake of phenolic antioxidant diferulic acids. Free Radical Med. 2001, 31, 304–314. [Google Scholar] [CrossRef]
- Pantano, C.; Reynaert, N.L.; van der Vliet, A.; Janssen-Heininger, Y.M. Redox-sensitive kinases of the nuclear factor-kappa B signaling pathway. Antiox. Redox Signal. 2006, 8, 1791–1806. [Google Scholar] [CrossRef]
- Lykkesfeldt, J.; Svendsen, O. Oxidants and antioxidants in disease: Oxidative stress in farm animals. Vet. J. 2007, 173, 502–511. [Google Scholar] [CrossRef] [PubMed]
- Rossi, R.; Pastorelli, G.; Cannata, S.; Corino, C. Effect of weaning on total antiradical activity in piglets. Ital. J. Anim Sci. 2009, 87, 2299–2305. [Google Scholar]
- Buchet, A.; Belloc, C.; Leblanc-Maridor, M.; Merlot, E. Effects of age and weaning conditions on blood indicators of oxidative status in pigs. PLoS ONE 2017, 12, e0178487. [Google Scholar] [CrossRef]
- Pastorelli, G.; Rossi, R.; Corino, C. Influence of Lippia citriodora verbascoside on growth performance, antioxidant status, and serum immunoglobulins content in piglets. Czech. J. Anim. Sci. 2012, 57, 312–322. [Google Scholar] [CrossRef]
- Lipiński, K.; Antoszkiewicz, Z.; Mazur-Kuśnirek, M.; Korniewicz, D.; Czurgiel, S. The effect of polyphenols on the performance and antioxidant status of sows and piglets. It. J. Anim. Sci. 2019, 18, 174–181. [Google Scholar] [CrossRef]
- Orengo, J.; Hernández, F.; Martínez-Miró, S.; Sánchez, C.J.; Peres Rubio, C.; Madrid, J. Effects of Commercial Antioxidants in Feed on Growth Performance and Oxidative Stress Status of Weaned Piglets. Animals 2021, 1, 266. [Google Scholar] [CrossRef] [PubMed]
- Leskovec, J.; Rezar, V.; Nemec Svete, A.; Salobir, J.; Levart, A. Antioxidative Effects of Olive Polyphenols Compared to Vitamin E in Piglets Fed a Diet Rich in N-3 PUFA. Animals 2019, 9, 161. [Google Scholar] [CrossRef]
- Rossi, R.; Pastorelli, G.; Corino, C. Application of KRL test to assess total antioxidant activity in pigs: Sensitivity to dietary antioxidants. Res. Vet. Sci. 2013, 94, 372–377. [Google Scholar] [CrossRef]
- Prost, M. Process for the Determination by Means of Free Radicals of the Antioxidant Properties of a Living Organism or Potentially Aggressive Agents. U.S. Patent No. 5135850, 4 August 1992. [Google Scholar]
- Prost, M.; Blache, D. Free radical attack: Biological test for human resistance capability. In Proceedings of the IX College Park Colloquium on Chemical Evolution, University of Maryland, College Park, MD, USA, 29–31 October 1989; Ponnamperuma, C., Gehrke, C.W., Eds.; A Lunar-Based Chemical Analysis Laboratory (LBCAL): NASA, Washington, DC, USA, 1989; pp. 82–98. [Google Scholar]
- Sandoval, M.; Okuhama, N.N.; Zhang, X.J.; Condezo, L.A.; Lao, J.; Angeles, F.M.; Musah, R.A.; Bobrowski, P.; Miller, M.J.S. Anti-inflammatory and antioxidant activities of cat’s claw (Uncaria tomentosa and Uncaria guianensis) are independent of their alkaloid content. Phytomedicine 2002, 9, 325–337. [Google Scholar] [CrossRef] [PubMed]
- El-Shamy, A.M.; El-Hawary, S.S.; Rateb, M.E. Quantitative estimation of parthenolide in Tanacetum parthenium (L.) Schultz-Bip. cultivated in Egypt. J. AOAC Int. 2007, 90, 21–27. [Google Scholar] [CrossRef]
- Shah, S.A.; Rathod, I.S.; Suhagia, B.N.; Pandy, S.S.; Parmar, V.K. A simple High-Performance Liquid Chromatographic method for the estimation of Boswellic Acids from the market formulations containing Boswellia serrata extract. J. Chromatogr. Sci. 2008, 46, 735–738. [Google Scholar] [CrossRef] [PubMed]
- Aires, V.; Labbé, J.; Deckert, V.; Pais de Barros, J.P.; Boidot, R.; Haumont, M.; Maquart, G.; Le Guern, N.; Masson, D.; Prost-Camus, E.; et al. Healthy adiposity and extended lifespan in obese mice fed a diet supplemented with a polyphenol-rich plant extract. Sci. Rep. 2019, 9, 9134. [Google Scholar] [CrossRef] [PubMed]
- National Research Council. Nutrient Requirements of Swine, 11th ed.; The National Academies Press: Washington, DC, USA, 2012. [Google Scholar]
- Prost, M. Procédé de Détermination du Potentiel de Défense Antiradicalaire et Utilisation Notamment en Thérapeutique Préventive Humaine et Vétérinaire. Patent FR 2861463/WO 2005040835, 6 May 2005. [Google Scholar]
- Navarro, M.; Arnaez, E.; Moreira, I.; Hurtado, A.; Monge, D.; Monagas, M. Polyphenolic composition and antioxidant activity of Uncaria tomentosa commercial bark products. Antioxidants 2019, 8, 339. [Google Scholar] [CrossRef] [PubMed]
- Shang, P.; Liu, W.; Liu, T.; Yikai Zhang, T.; Fei, M.; Zhihui, Z.; Lingfei, L.; Xiaohu, Z.; Yi, D.; Yuwen, L.; et al. Acetyl-11-Keto-β-Boswellic Acid Attenuates Prooxidant and Profibrotic Mechanisms Involving Transforming Growth Factor-β1 and Improves Vascular Remodeling in Spontaneously Hypertensive Rats. Sci. Rep. 2016, 6, 39809. [Google Scholar] [CrossRef]
- Ding, Y.; Chen, M.; Wang, M.; Mingming, W.; Tiejun, Z.; Jongsun, P.; Yanrong, Z.; Chao, G.; Yanyan, J.; Yu, W.L.; et al. Neuroprotection by Acetyl-11-Keto-β-Boswellic Acid, in Ischemic Brain Injury Involves the Nrf2/HO-1 defense Pathway. Sci. Rep. 2014, 4, 7002. [Google Scholar] [CrossRef]
- Rossi, R.; Corino, C.; Pastorelli, G.; Durand, P.; Prost, M. Assessment of antioxidant activity of natural extracts. Ital. J. Anim Sci. 2009, 8, 655–657. [Google Scholar] [CrossRef]
- Robert, F.; Bebin, K.; Garrau, J.M.; Gueriot, J.F.; Foret, R.; Brack, M.; Garrel, C. Evaluation et correction du stress oxydatif du porcelet en post-sevrage. J. Rech. Porc. 2009, 41, 173–178. [Google Scholar]
- Zhu, L.H.; Zhao, K.L.; Chen, X.L.; Xu, J.X. Impact of weaning and an antioxidant blend on intestinal barrier function and antioxidant status in pigs. J. Anim. Sci. 2012, 90, 2581–2589. [Google Scholar] [CrossRef] [PubMed]
- Pisoschi, A.M.; Pop, A. The role of antioxidants in the chemistry of oxidative stress: A review. Eur. J. Med. Chem. 2015, 97, 55–74. [Google Scholar] [CrossRef] [PubMed]
- Galanopoulos, K.; Stagos, D.; Petrotos, K.; Kokkas, S.; Kantas, D.; Goulas, P.; Kouretas, D. Feed supplemented with polyphenolic byproduct from olive mill wastewater processing improves the redox status in blood and tissues of piglets. Food Chem. Toxicol. 2015, 86, 319–327. [Google Scholar]
- Chedea, V.S.; Palade, L.M.; Pelmus, R.S.; Dragomir, C.; Taranu, I. Red Grape Pomace Rich in Polyphenols Diet Increases the Antioxidant Status in Key Organs—Kidneys, Liver, and Spleen of Piglets. Animals 2019, 9, 149. [Google Scholar] [CrossRef] [PubMed]
- Fiesel, A.; Gessner, D.K.; Most, E.; Eder, K. Effects of dietary polyphenol-rich plant products from grape or hop on pro-inflammatory gene expression in the intestine, nutrient digestibility and faecal microbiota of weaned pigs. BMC Vet. Res. 2014, 10, 196. [Google Scholar] [CrossRef]
- Xu, X.; Xiaoling, C.; Zhiqing, H.; Daiwen, C.; Bing, Y.; Hong, C.; Jun, H.; Yuheng, L.; Ping, Z.; Jie, Y.; et al. Dietary apple polyphenols supplementation enhances antioxidant capacity and improves lipid metabolism in weaned piglets. J. Anim. Phys. Anim. Nutr. 2019, 103, 1512–1520. [Google Scholar] [CrossRef] [PubMed]
- Corino, C.; Prost, M.; Pastorelli, G.; Chiapparini, S.; Rossi, R. Dietary biotechnological Ajuga reptans extract in post weaning piglets: Effects on growth performance, oxidative status and immune parameters. Ann. Anim. Sci. 2019, 19, 793–806. [Google Scholar] [CrossRef]
- Devi, S.M.; Lee, S.I.; Kim, I.H. Effect of phytogenics on growth performance, fecal score, blood profiles, fecal noxious gas emission, digestibility, and intestinal morphology of weanling pigs challenged with Escherichia coli K88. Pol. J. Vet. Sci. 2015, 18, 557–564. [Google Scholar]
- Pastorelli, G.; Faustini, M.; Corino, C.; Rossi, R. Kit Radicaux Libres, a new innovative biological application for monitoring oxidative stress in pigs. Ital. J. Anim. Sci. 2013, 12, 432–435. [Google Scholar] [CrossRef]
- Stevens, J.F.; Maier, C.S. The Chemistry of Gut Microbial Metabolism of Polyphenols. Phytochem. Rev. 2016, 15, 425–444. [Google Scholar] [CrossRef]



| Nutrients | %, As Fed |
|---|---|
| Crude protein | 16.00 |
| Fat | 5.5 |
| Crude fiber | 3.5 |
| Ash | 5.5 |
| Calcium | 0.62 |
| Phosphorus | 0.66 |
| Lysine | 1.24 |
| Methionine | 0.48 |
| Growth Performances | Dietary Treatments | p | |||
|---|---|---|---|---|---|
| C | BOS | UT | AOX | ||
| Body weight, kg | |||||
| —at weaning | 9.44 ± 0.19 | 9.52 ± 0.16 | 9.50 ± 0.18 | 9.37± 0.18 | 0.966 |
| —at 28 d after weaning | 21.53 ± 0.48 | 20.40 ± 0.47 | 21.25 ± 0.45 | 20.70 ± 0.45 | 0.307 |
| ADG, g/d | 431 ± 14.5 | 388 ± 15.0 | 419 ± 13.9 | 404 ± 15.1 | 0.188 |
| FCR, kg/kg | 1.56 | 1.64 | 1.48 | 1.59 | 0.499 |
Publisher’s Note: MDPI stays neutral with regard to jurisdictional claims in published maps and institutional affiliations. |
© 2021 by the authors. Licensee MDPI, Basel, Switzerland. This article is an open access article distributed under the terms and conditions of the Creative Commons Attribution (CC BY) license (https://creativecommons.org/licenses/by/4.0/).
Share and Cite
Corino, C.; Prost, M.; Pizzi, B.; Rossi, R. Dietary Plant Extracts Improve the Antioxidant Reserves in Weaned Piglets. Antioxidants 2021, 10, 702. https://doi.org/10.3390/antiox10050702
Corino C, Prost M, Pizzi B, Rossi R. Dietary Plant Extracts Improve the Antioxidant Reserves in Weaned Piglets. Antioxidants. 2021; 10(5):702. https://doi.org/10.3390/antiox10050702
Chicago/Turabian StyleCorino, Carlo, Michel Prost, Barbara Pizzi, and Raffaella Rossi. 2021. "Dietary Plant Extracts Improve the Antioxidant Reserves in Weaned Piglets" Antioxidants 10, no. 5: 702. https://doi.org/10.3390/antiox10050702
APA StyleCorino, C., Prost, M., Pizzi, B., & Rossi, R. (2021). Dietary Plant Extracts Improve the Antioxidant Reserves in Weaned Piglets. Antioxidants, 10(5), 702. https://doi.org/10.3390/antiox10050702

