Ultrasonic-Assisted Extraction and Natural Deep Eutectic Solvents Combination: A Green Strategy to Improve the Recovery of Phenolic Compounds from Lavandula pedunculata subsp. lusitanica (Chaytor) Franco
Abstract
1. Introduction
2. Materials and Methods
2.1. Chemicals and Reagents
2.2. Plant Material
2.3. NADES Preparation
2.4. Extraction Procedure
2.5. Determination of Phenolic Compounds from the Extracts
2.5.1. Total Phenolics Contents (TPC) by Folin-Ciocalteu (F-C) Method
2.5.2. Phenolic Profile Analysis by HPLC-HRMS
2.6. Antioxidant Capacity
2.6.1. DPPH Free Radical Scavenging Assay
2.6.2. ABTS Free Radical Scavenging Assay
2.6.3. Ferric Reducing Antioxidant Power (FRAP)
2.6.4. Oxygen Radical Absorbance Capacity (ORAC) Assay
2.7. Enzyme Inhibitory Activities
2.7.1. Acetylcholinesterase (AChE) and Butyrylcholinesterase (BChE) Inhibitions
2.7.2. Tyrosinase (Tyr) Inhibition
2.8. Statistical Analysis
3. Results and Discussion
3.1. Optimization of Extraction Conditions
3.2. Solvents Effect on Phenolic Compounds (F-C method and HPLC-HRMS), Antioxidant Activity and Enzyme Inhibitory Capacities
3.2.1. Total and Individual Phenolic Contents
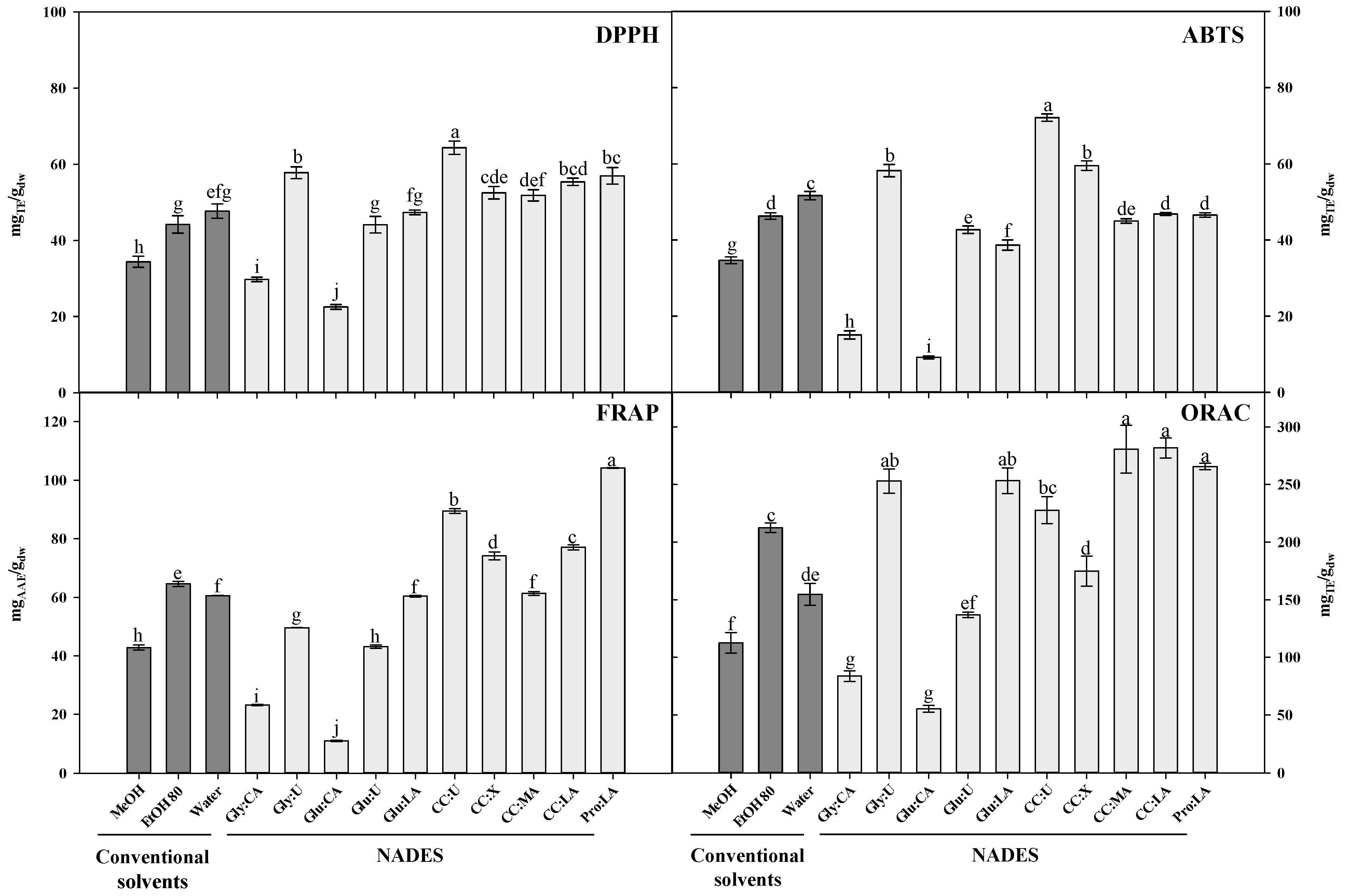
3.2.2. Antioxidant Activity
3.2.3. Enzyme Inhibitory Capacity
3.2.4. Pearson’s Correlation between the Different Parameters (Phenolics, Antioxidant Capacities and Enzyme Inhibitory Activities) Evaluated and Principal Component Analysis (PCA)
4. Conclusions
Supplementary Materials
Author Contributions
Funding
Institutional Review Board Statement
Informed Consent Statement
Data Availability Statement
Conflicts of Interest
References
- Ez zoubi, Y.; Bousta, D.; Farah, A. A Phytopharmacological Review of a Mediterranean Plant: Lavandula stoechas L. Clin. Phytosci 2020, 6, 9. [Google Scholar] [CrossRef]
- Salehi, B.; Mnayer, D.; Özçelik, B.; Altin, G.; Kasapoǧlu, K.N.; Daskaya-Dikmen, C.; Sharifi-Rad, M.; Selamoglu, Z.; Acharya, K.; Sen, S.; et al. Plants of the Genus Lavandula: From Farm to Pharmacy. Nat. Prod. Commun. 2018, 13, 1385–1402. [Google Scholar] [CrossRef]
- Vairinhos, J.; Miguel, M.G. Essential Oils of Spontaneous Species of the Genus Lavandula from Portugal: A Brief Review. Z. Nat. C J. Biosci. 2020, 75, 233–245. [Google Scholar] [CrossRef] [PubMed]
- Costa, P.; Gonçalves, S.; Valentão, P.; Andrade, P.B.; Almeida, C.; Nogueira, J.M.F.; Romano, A. Metabolic Profile and Biological Activities of Lavandula pedunculata Subsp. lusitanica (Chaytor) Franco: Studies on the Essential Oil and Polar Extracts. Food Chem. 2013, 141, 2501–2506. [Google Scholar] [CrossRef] [PubMed]
- Lopes, C.L.; Pereira, E.; Soković, M.; Carvalho, A.M.; Barata, A.M.; Lopes, V.; Rocha, F.; Calhelha, R.C.; Barros, L.; Ferreira, I.C.F.R. Phenolic Composition and Bioactivity of Lavandula pedunculata (Mill.) Cav. Samples from Different Geographical Origin. Molecules 2018, 23, 1037. [Google Scholar] [CrossRef] [PubMed]
- Baptista, R.; Madureira, A.M.; Jorge, R.; Adão, R.; Duarte, A.; Duarte, N.; Lopes, M.M.; Teixeira, G. Antioxidant and Antimycotic Activities of Two Native Lavandula Species from Portugal. Evid Based Complement. Altern. Med. 2015, 2015. [Google Scholar] [CrossRef] [PubMed]
- Pereira, F.; Baptista, R.; Ladeiras, D.; Madureira, A.M.; Teixeira, G.; Rosado, C.; Fernandes, A.S.; Ascensão, L.; Silva, C.O.; Reis, C.P.; et al. Production and Characterization of Nanoparticles Containing Methanol Extracts of Portuguese Lavenders. Measurement 2015, 74, 170–177. [Google Scholar] [CrossRef]
- Franco, J. Nova Flora de Portugal (Continente e Açores); Escolar Editora: Lisboa, Portugal, 1984. [Google Scholar]
- Shahidi, F.; Ambigaipalan, P. Phenolics and Polyphenolics in Foods, Beverages and Spices: Antioxidant Activity and Health Effects—A Review. J. Funct. Foods 2015, 18, 820–897. [Google Scholar] [CrossRef]
- Gonçalves, S.; Mansinhos, I.; Romano, A. Chapter 11-Aromatic plants: A source of compounds with antioxidant and neuroprotective effects. In Oxidative Stress and Dietary Antioxidants in Neurological Diseases; Martin, C.R., Preedy, V.R., Eds.; Academic Press: Cambridge, MA, USA, 2020; pp. 155–173. ISBN 978-0-12-817780-8. [Google Scholar]
- Chemat, F.; Abert Vian, M.; Ravi, H.K.; Khadhraoui, B.; Hilali, S.; Perino, S.; Tixier, A.-S.F. Review of Alternative Solvents for Green Extraction of Food and Natural Products: Panorama, Principles, Applications and Prospects. Molecules 2019, 24, 3007. [Google Scholar] [CrossRef]
- UN Transforming Our World: The 2030 Agenda for Sustainable Development. Available online: https://www.un.org/development/desa/dspd/2015/08/transforming-our-world-the-2030-agenda-for-sustainable-development/ (accessed on 20 August 2020).
- Clarke, C.J.; Tu, W.-C.; Levers, O.; Bröhl, A.; Hallett, J.P. Green and Sustainable Solvents in Chemical Processes. Chem. Rev. 2018, 118, 747–800. [Google Scholar] [CrossRef]
- Mišan, A.; Nađpal, J.; Stupar, A.; Pojić, M.; Mandić, A.; Verpoorte, R.; Choi, Y.H. The Perspectives of Natural Deep Eutectic Solvents in Agri-Food Sector. Crit. Rev. Food Sci. Nutr. 2020, 60, 2564–2592. [Google Scholar] [CrossRef] [PubMed]
- Skarpalezos, D.; Detsi, A. Deep Eutectic Solvents as Extraction Media for Valuable Flavonoids from Natural Sources. Appl. Sci. 2019, 9, 4169. [Google Scholar] [CrossRef]
- Alañón, M.E.; Ivanović, M.; Gómez-Caravaca, A.M.; Arráez-Román, D.; Segura-Carretero, A. Choline Chloride Derivative-Based Deep Eutectic Liquids as Novel Green Alternative Solvents for Extraction of Phenolic Compounds from Olive Leaf. Arab. J. Chem. 2020, 13, 1685–1701. [Google Scholar] [CrossRef]
- Chen, J.; Li, Y.; Wang, X.; Liu, W. Application of Deep Eutectic Solvents in Food Analysis: A Review. Molecules 2019, 24, 4594. [Google Scholar] [CrossRef] [PubMed]
- Gonçalves, S.; Romano, A. Chapter 13-Green approaches for the extraction of bioactives from natural sources for pharmaceutical applications. In Green Sustainable Process for Chemical and Environmental Engineering and Science; Inamuddin, Boddula, R., Ahamed, M.I., Asiri, A.M., Eds.; Elsevier: Amsterdam, The Netherlands, 2021; pp. 249–267. ISBN 978-0-12-821885-3. [Google Scholar]
- Vinatoru, M.; Mason, T.J.; Calinescu, I. Ultrasonically Assisted Extraction (UAE) and Microwave Assisted Extraction (MAE) of Functional Compounds from Plant Materials. TrAC Trends Anal. Chem. 2017, 97, 159–178. [Google Scholar] [CrossRef]
- Chemat, F.; Rombaut, N.; Sicaire, A.-G.; Meullemiestre, A.; Fabiano-Tixier, A.-S.; Abert-Vian, M. Ultrasound Assisted Extraction of Food and Natural Products. Mechanisms, Techniques, Combinations, Protocols and Applications. A Review. Ultrason. Sonochem. 2017, 34, 540–560. [Google Scholar] [CrossRef]
- Bentley, J.; Olsen, E.K.; Moore, J.P.; Farrant, J.M. The Phenolic Profile Extracted from the Desiccation-Tolerant Medicinal Shrub Myrothamnus Flabellifolia Using Natural Deep Eutectic Solvents Varies According to the Solvation Conditions. Phytochemistry 2020, 173, 112323. [Google Scholar] [CrossRef]
- Shang, X.; Dou, Y.; Zhang, Y.; Tan, J.-N.; Liu, X.; Zhang, Z. Tailor-Made Natural Deep Eutectic Solvents for Green Extraction of Isoflavones from Chickpea (Cicer arietinum L.) Sprouts. Ind. Crops Prod. 2019, 140, 111724. [Google Scholar] [CrossRef]
- Bajkacz, S.; Adamek, J. Evaluation of New Natural Deep Eutectic Solvents for the Extraction of Isoflavones from Soy Products. Talanta 2017, 168, 329–335. [Google Scholar] [CrossRef]
- Zhang, L.; Wang, M. Optimization of Deep Eutectic Solvent-Based Ultrasound-Assisted Extraction of Polysaccharides from Dioscorea Opposita Thunb. Int. J. Biol. Macromol. 2017, 95, 675–681. [Google Scholar] [CrossRef]
- Ainsworth, E.A.; Gillespie, K.M. Estimation of Total Phenolic Content and Other Oxidation Substrates in Plant Tissues Using Folin–Ciocalteu Reagent. Nat. Protoc. 2007, 2, 875–877. [Google Scholar] [CrossRef]
- Gonçalves, S.; Mansinhos, I.; Rodríguez-Solana, R.; Pérez-Santín, E.; Coelho, N.; Romano, A. Elicitation Improves Rosmarinic Acid Content and Antioxidant Activity in Thymus Lotocephalus Shoot Cultures. Ind. Crop. Prod. 2019, 137, 214–220. [Google Scholar] [CrossRef]
- Contreras, M.D.M.; Algieri, F.; Rodriguez-Nogales, A.; Gálvez, J.; Segura-Carretero, A. Phytochemical Profiling of Anti-Inflammatory Lavandula Extracts via RP-HPLC-DAD-QTOF-MS and -MS/MS: Assessment of Their Qualitative and Quantitative Differences. Electrophoresis 2018, 39, 1284–1293. [Google Scholar] [CrossRef]
- Costa, P.; Gonçalves, S.; Andrade, P.B.; Valentão, P.; Romano, A. Inhibitory Effect of Lavandula Viridis on Fe(2+)-Induced Lipid Peroxidation, Antioxidant and Anti-Cholinesterase Properties. Food Chem. 2011, 126, 1779–1786. [Google Scholar] [CrossRef] [PubMed]
- Sumner, L.W.; Amberg, A.; Barrett, D.; Beale, M.H.; Beger, R.; Daykin, C.A.; Fan, T.W.-M.; Fiehn, O.; Goodacre, R.; Griffin, J.L.; et al. Proposed Minimum Reporting Standards for Chemical Analysis Chemical Analysis Working Group (CAWG) Metabolomics Standards Initiative (MSI). Metabolomics 2007, 3, 211–221. [Google Scholar] [CrossRef] [PubMed]
- Soler-Rivas, C.; Espín, J.C.; Wichers, H.J. An Easy and Fast Test to Compare Total Free Radical Scavenger Capacity of Foodstuffs. Phytochem. Anal. 2000, 11, 330–338. [Google Scholar] [CrossRef]
- Re, R.; Pellegrini, N.; Proteggente, A.; Pannala, A.; Yang, M.; Rice-Evans, C. Antioxidant Activity Applying an Improved ABTS Radical Cation Decolorization Assay. Free Radic. Biol. Med. 1999, 26, 1231–1237. [Google Scholar] [CrossRef]
- Yen, G.-C.; Chen, H.-Y. Antioxidant Activity of Various Tea Extracts in Relation to Their Antimutagenicity. J. Agric. Food Chem. 1995, 43, 27–32. [Google Scholar] [CrossRef]
- Gillespie, K.M.; Chae, J.M.; Ainsworth, E.A. Rapid Measurement of Total Antioxidant Capacity in Plants. Nat. Protoc. 2007, 2, 867–870. [Google Scholar] [CrossRef]
- Ellman, G.L.; Courtney, K.D.; Andres, V.; Featherstone, R.M. A New and Rapid Colorimetric Determination of Acetylcholinesterase Activity. Biochem. Pharmacol. 1961, 7, 88–95. [Google Scholar] [CrossRef]
- Masuda, T.; Yamashita, D.; Takeda, Y.; Yonemori, S. Screening for Tyrosinase Inhibitors among Extracts of Seashore Plants and Identification of Potent Inhibitors from Garcinia Subelliptica. Biosci. Biotechnol. Biochem. 2005, 69, 197–201. [Google Scholar] [CrossRef]
- Aguilar-Hernandez, G.; Gerardo Zepeda-Vallejo, L.; de Lourdes Garcia-Magana, M.; de los Angeles Vivar-Vera, M.; Perez-Larios, A.; Giron-Perez, M.; Velia Coria-Tellez, A.; Rodriguez-Aguayo, C.; Montalvo-Gonzalez, E. Extraction of Alkaloids Using Ultrasound from Pulp and By-Products of Soursop Fruit (Annonamuricata L.). Appl. Sci. Basel 2020, 10, 4869. [Google Scholar] [CrossRef]
- Naseem, Z.; Zahid, M.; Hanif, M.A.; Shahid, M. Green Extraction of Ethnomedicinal Compounds from Cymbopogon Citratus Stapf Using Hydrogen-Bonded Supramolecular Network. Sep. Sci. Technol. 2020, 1–14. [Google Scholar] [CrossRef]
- Jeong, K.M.; Jin, Y.; Yoo, D.E.; Han, S.Y.; Kim, E.M.; Lee, J. One-Step Sample Preparation for Convenient Examination of Volatile Monoterpenes and Phenolic Compounds in Peppermint Leaves Using Deep Eutectic Solvents. Food Chem. 2018, 251, 69–76. [Google Scholar] [CrossRef] [PubMed]
- Nam, M.W.; Zhao, J.; Lee, M.S.; Jeong, J.H.; Lee, J. Enhanced Extraction of Bioactive Natural Products Using Tailor-Made Deep Eutectic Solvents: Application to Flavonoid Extraction from Flos Sophorae. Green Chem. 2015, 17, 1718–1727. [Google Scholar] [CrossRef]
- Charpe, T.W.; Rathod, V.K. Kinetics of Ultrasound Assisted Extraction of Wedelolactone from Eclipta alba. Braz. J. Chem. Eng. 2016, 33, 1003–1010. [Google Scholar] [CrossRef]
- Zhou, P.; Wang, X.; Liu, P.; Huang, J.; Wang, C.; Pan, M.; Kuang, Z. Enhanced Phenolic Compounds Extraction from Morus alba L. Leaves by Deep Eutectic Solvents Combined with Ultrasonic-Assisted Extraction. Ind. Crop. Prod. 2018, 120, 147–154. [Google Scholar] [CrossRef]
- FDA CFR-Code of Federal Regulations Title 21. Available online: https://www.accessdata.fda.gov/scripts/cdrh/cfdocs/cfcfr/CFRSearch.cfm (accessed on 26 March 2021).
- Areias, F.M.; Valentão, P.; Andrade, P.B.; Moreira, M.M.; Amaral, J.; Seabra, R.M. Hplc/Dad Analysis of Phenolic Compounds from Lavender and Its Application to Quality Control. J. Liq. Chromatogr. Relat. Technol. 2000, 23, 2563–2572. [Google Scholar] [CrossRef]
- Zenão, S.; Aires, A.; Dias, C.; Saavedra, M.J.; Fernandes, C. Antibacterial Potential of Urtica Dioica and Lavandula Angustifolia Extracts against Methicillin Resistant Staphylococcus Aureus Isolated from Diabetic Foot Ulcers. J. Herb. Med. 2017, 10, 53–58. [Google Scholar] [CrossRef]
- Nunes, R.; Pasko, P.; Tyszka-Czochara, M.; Szewczyk, A.; Szlosarczyk, M.; Carvalho, I.S. Antibacterial, Antioxidant and Anti-Proliferative Properties and Zinc Content of Five South Portugal Herbs. Pharm. Biol. 2017, 55, 114–123. [Google Scholar] [CrossRef]
- Proestos, C.; Sereli, D.; Komaitis, M. Determination of Phenolic Compounds in Aromatic Plants by RP-HPLC and GC-MS. Food Chem. 2006, 95, 44–52. [Google Scholar] [CrossRef]
- Xie, Y.; Liu, H.; Lin, L.; Zhao, M.; Zhang, L.; Zhang, Y.; Wu, Y. Application of Natural Deep Eutectic Solvents to Extract Ferulic Acid from Ligusticum Chuanxiong Hort with Microwave Assistance. RSC Adv. 2019, 9, 22677–22684. [Google Scholar] [CrossRef]
- Zhao, B.-Y.; Xu, P.; Yang, F.-X.; Wu, H.; Zong, M.-H.; Lou, W.-Y. Biocompatible Deep Eutectic Solvents Based on Choline Chloride: Characterization and Application to the Extraction of Rutin from Sophora Japonica. ACS Sustain. Chem. Eng. 2015, 3, 2746–2755. [Google Scholar] [CrossRef]
- Peng, X.; Duan, M.-H.; Yao, X.-H.; Zhang, Y.-H.; Zhao, C.-J.; Zu, Y.-G.; Fu, Y.-J. Green Extraction of Five Target Phenolic Acids from Lonicerae Japonicae Flos with Deep Eutectic Solvent. Sep. Purif. Technol. 2016, 157, 249–257. [Google Scholar] [CrossRef]
- Fanali, C.; Posta, S.D.; Dugo, L.; Russo, M.; Gentili, A.; Mondello, L.; Gara, L.D. Application of Deep Eutectic Solvents for the Extraction of Phenolic Compounds from Extra-Virgin Olive Oil. Electrophoresis 2020, 41, 1752–1759. [Google Scholar] [CrossRef]
- He, X.; Yang, J.; Huang, Y.; Zhang, Y.; Wan, H.; Li, C. Green and Efficient Ultrasonic-Assisted Extraction of Bioactive Components from Salvia Miltiorrhiza by Natural Deep Eutectic Solvents. Molecules 2020, 25, 140. [Google Scholar] [CrossRef]
- Liu, Y.; Li, J.; Fu, R.; Zhang, L.; Wang, D.; Wang, S. Enhanced Extraction of Natural Pigments from Curcuma longa L. Using Natural Deep Eutectic Solvents. Ind. Crop. Prod. 2019, 140, 111620. [Google Scholar] [CrossRef]
- De los ÁngelesFernández, M.; Espino, M.; Gomez, F.J.V.; Silva, M.F. Novel Approaches Mediated by Tailor-Made Green Solvents for the Extraction of Phenolic Compounds from Agro-Food Industrial by-Products. Food Chem. 2018, 239, 671–678. [Google Scholar] [CrossRef]
- Cui, Q.; Liu, J.-Z.; Wang, L.-T.; Kang, Y.-F.; Meng, Y.; Jiao, J.; Fu, Y.-J. Sustainable Deep Eutectic Solvents Preparation and Their Efficiency in Extraction and Enrichment of Main Bioactive Flavonoids from Sea Buckthorn Leaves. J. Clean. Prod. 2018, 184, 826–835. [Google Scholar] [CrossRef]
- Gullón, B.; Muñiz-Mouro, A.; Lú-Chau, T.A.; Moreira, M.T.; Lema, J.M.; Eibes, G. Green Approaches for the Extraction of Antioxidants from Eucalyptus Leaves. Ind. Crop. Prod. 2019, 138, 111473. [Google Scholar] [CrossRef]
- Ko, M.-J.; Nam, H.-H.; Chung, M.-S. Subcritical Water Extraction of Bioactive Compounds from Orostachys japonicus A. Berger (Crassulaceae). Sci. Rep. 2020, 10, 10890. [Google Scholar] [CrossRef] [PubMed]
- Rajan, M.; Prabhavathy, A.; Ramesh, U. Natural Deep Eutectic Solvent Extraction Media for Zingiber Officinale Roscoe: The Study of Chemical Compositions, Antioxidants and Antimicrobial Activities. Nat. Prod. J. 2015, 5, 3–13. [Google Scholar] [CrossRef]
- Radošević, K.; Ćurko, N.; Gaurina Srček, V.; Cvjetko Bubalo, M.; Tomašević, M.; Kovačević Ganić, K.; Radojčić Redovniković, I. Natural Deep Eutectic Solvents as Beneficial Extractants for Enhancement of Plant Extracts Bioactivity. LWT 2016, 73, 45–51. [Google Scholar] [CrossRef]
- Oktaviyanti, N.D.; Kartini; Mun’im, A. Application and Optimization of Ultrasound-Assisted Deep Eutectic Solvent for the Extraction of New Skin-Lightening Cosmetic Materials from Ixora Javanica Flower. Heliyon 2019, 5, e02950. [Google Scholar] [CrossRef] [PubMed]
- Kaya, H.B.; Özcan, B.; Şişecioğlu, M.; Ozdemir, H. Purification of Acetylcholinesterase by 9-Amino-1,2,3,4-Tetrahydroacridine from Human Erythrocytes. Appl. Biochem. Biotechnol. 2013, 170, 198–209. [Google Scholar] [CrossRef] [PubMed]
- Çakıroğlu, B.; Çiğil, A.B.; Ogan, A.; Kahraman, M.V.; Demir, S. Covalent Immobilization of Acetylcholinesterase on a Novel Polyacrylic Acid-Based Nanofiber Membrane. Eng. Life Sci. 2018, 18, 254–262. [Google Scholar] [CrossRef]
- Mukherjee, P.K.; Biswas, R.; Sharma, A.; Banerjee, S.; Biswas, S.; Katiyar, C.K. Validation of Medicinal Herbs for Anti-Tyrosinase Potential. J. Herb. Med. 2018, 14, 1–16. [Google Scholar] [CrossRef]
- Pillaiyar, T.; Manickam, M.; Namasivayam, V. Skin Whitening Agents: Medicinal Chemistry Perspective of Tyrosinase Inhibitors. J. Enzym. Inhib Med. Chem. 2017, 32, 403–425. [Google Scholar] [CrossRef]
- Zolghadri, S.; Bahrami, A.; Khan, M.T.H.; Munoz-Munoz, J.; Garcia-Molina, F.; Garcia-Canovas, F.; Saboury, A.A. A Comprehensive Review on Tyrosinase Inhibitors. J. Enzym. Inhib. Med. Chem. 2019, 34, 279–309. [Google Scholar] [CrossRef]
- Sariri, R.; Seifzadeh, S. Anti-Tyrosinase and Antioxidant Activity of Lavandula sp. Extracts. Pharmacologyonline 2009, 319–326. [Google Scholar]
- Lee, C.J.; Chen, L.G.; Chang, T.L.; Ke, W.M.; Lo, Y.F.; Wang, C.C. The Correlation between Skin-Care Effects and Phytochemical Contents in Lamiaceae Plants. Food Chem. 2011, 124, 833–841. [Google Scholar] [CrossRef]
- Moon, K.M.; Kwon, E.-B.; Lee, B.; Kim, C.Y. Recent Trends in Controlling the Enzymatic Browning of Fruit and Vegetable Products. Molecules 2020, 25, 2754. [Google Scholar] [CrossRef]
- Che Sulaiman, I.S.; Basri, M.; Fard Masoumi, H.R.; Chee, W.J.; Ashari, S.E.; Ismail, M. Effects of Temperature, Time, and Solvent Ratio on the Extraction of Phenolic Compounds and the Anti-Radical Activity of Clinacanthus Nutans Lindau Leaves by Response Surface Methodology. Chem. Cent. J. 2017, 11. [Google Scholar] [CrossRef]
- Radošević, K.; Čanak, I.; Panić, M.; Markov, K.; Bubalo, M.C.; Frece, J.; Srček, V.G.; Redovniković, I.R. Antimicrobial, Cytotoxic and Antioxidative Evaluation of Natural Deep Eutectic Solvents. Environ. Sci. Pollut Res. Int. 2018, 25, 14188–14196. [Google Scholar] [CrossRef]
- Karamac, M.; Koleva, L.; Kancheva, V.D.; Amarowicz, R. The Structure-Antioxidant Activity Relationship of Ferulates. Molecules 2017, 22, 527. [Google Scholar] [CrossRef]
- Kim, Y.J.; Jeong, S.-J.; Seo, C.-S.; Lim, H.-S.; Sohn, E.; Yun, J.; Kim, B.-Y. Simultaneous Determination of the Traditional Herbal Formula Ukgansan and the In Vitro Antioxidant Activity of Ferulic Acid as an Active Compound. Molecules 2018, 23, 1659. [Google Scholar] [CrossRef]
- Iraji, A.; Khoshneviszadeh, M.; Firuzi, O.; Khoshneviszadeh, M.; Edraki, N. Novel Small Molecule Therapeutic Agents for Alzheimer Disease: Focusing on BACE1 and Multi-Target Directed Ligands. Bioorganic Chem. 2020, 97, 103649. [Google Scholar] [CrossRef] [PubMed]
- Jabir, N.R.; Khan, F.R.; Tabrez, S. Cholinesterase Targeting by Polyphenols: A Therapeutic Approach for the Treatment of Alzheimer’s Disease. CNS Neurosci. Ther. 2018, 24, 753–762. [Google Scholar] [CrossRef] [PubMed]
- Kang, H.-S.; Kim, H.-R.; Byun, D.-S.; Park, H.-J.; Choi, J.-S. Rosmarinic Acid as a Tyrosinase Inhibitors from Salvia Miltiorrhiza. Nat. Prod. Sci. 2004, 10, 80–84. [Google Scholar]
- Zuo, A.-R.; Dong, H.-H.; Yu, Y.-Y.; Shu, Q.-L.; Zheng, L.-X.; Yu, X.-Y.; Cao, S.-W. The Antityrosinase and Antioxidant Activities of Flavonoids Dominated by the Number and Location of Phenolic Hydroxyl Groups. Chin. Med. 2018, 13. [Google Scholar] [CrossRef]
- Karioti, A.; Protopappa, A.; Megoulas, N.; Skaltsa, H. Identification of Tyrosinase Inhibitors from Marrubium Velutinum and Marrubium Cylleneum. Bioorganic Med. Chem. 2007, 15, 2708–2714. [Google Scholar] [CrossRef]
- Kubo, I.; Kinst-Hori, I.; Chaudhuri, S.K.; Kubo, Y.; Sánchez, Y.; Ogura, T. Flavonols from Heterotheca Inuloides: Tyrosinase Inhibitory Activity and Structural Criteria. Bioorganic Med. Chem. 2000, 8, 1749–1755. [Google Scholar] [CrossRef]
- Liu, M.-Y.; Zeng, F.; Shen, Y.; Wang, Y.-Y.; Zhang, N.; Geng, F. Bioguided Isolation and Structure Identification of Acetylcholinesterase Enzyme Inhibitors from Drynariae Rhizome. J. Anal. Methods Chem. 2020, 2020. [Google Scholar] [CrossRef] [PubMed]
- Sevindik, H.G.; Güvenalp, Z.; Yerdelen, K.Ö.; Yuca, H.; Demirezer, L.Ö. The Discovery of Potential Anticholinesterase Compounds from Achillea millefolium L. Ind. Crop. Prod. 2015, 76, 873–879. [Google Scholar] [CrossRef]
- Crascì, L.; Basile, L.; Panico, A.; Puglia, C.; Bonina, F.P.; Basile, P.M.; Rizza, L.; Guccione, S. Correlating In Vitro Target-Oriented Screening and Docking: Inhibition of Matrix Metalloproteinases Activities by Flavonoids. Planta Med. 2017, 83, 901–911. [Google Scholar] [CrossRef]




| Abbreviations | Component 1 (HBA) | Component 2 (HBD) | Molar Ratio | Appearance |
|---|---|---|---|---|
| Gly:CA | Glycerol | Citric acid | 2:1 | Transparent light-yellow semi viscous liquid |
| Gly:U | Glycerol | Urea | 1:1 | Transparent colourless liquid |
| Glu:CA | Glucose | Citric Acid | 1:1 | Faintly yellow viscous liquid |
| Glu:U | Glucose | Urea | 1:2 | Transparent colourless semi viscous liquid |
| Glu:LA | Glucose | Lactic Acid | 1:5 | Transparent colourless liquid |
| CC:U | Choline Chloride | Urea | 1:2 | Transparent colourless liquid |
| CC:X | Choline Chloride | Xylitol | 2:1 | Transparent colourless liquid |
| CC:MA | Choline Chloride | Malic Acid | 1:1 | Transparent colourless liquid |
| CC:LA | Choline Chloride | Lactic Acid | 1:2 | Transparent colourless liquid |
| Pro:LA | Proline | Lactic Acid | 1:1 | Transparent colourless liquid |
| Compound | Conventional Solvents | NADES | |||||||||||
|---|---|---|---|---|---|---|---|---|---|---|---|---|---|
| MeOH | EtOH 80 | Water | Gly:CA | Gly:U | Glu:CA | Glu:U | Glu:LA | CC:U | CC:X | CC:MA | CC:LA | Pro:LA | |
| O-Caffeoylquinic acid | <LOQ | 68.41 | <LOQ | n.d. | n.d. | n.d. | n.d. | n.d. | n.d. | n.d. | n.d. | n.d. | n.d. |
| Gallic acid | <LOD | n.d. | <LOD | n.d. | n.d. | n.d. | <LOD | n.d. | n.d. | n.d. | n.d. | n.d. | n.d. |
| Vanillic acid | <LOQ | <LOQ | <LOQ | <LOQ | 68.03 b | <LOQ | 78.69 b | 86.98 b | 91.35 b | <LOQ | <LOQ | 97.55 b | 179.1 a |
| Caffeic acid hexoside | 79.90 bc | 67.76 bcd | 62.22 cd | 53.25 d | <LOQ | <LOQ | 106.1 a | 77.97 bc | 86.24 b | 64.47 cd | 68.43 bcd | 81.32 bc | 72.92 bcd |
| Caffeic acid hexoside | 112.8 a | 93.26 abc | 72.44 cd | 60.23 d | <LOQ | <LOQ | 100.1 ab | 89.62 bc | 100.5 ab | 72.22 cd | 79.22 bcd | 81.64 bcd | 86.19 bc |
| Chlorogenic acid (5-O-caffeoylquinic acid) | <LOD | <LOD | <LOD | <LOD | <LOD | n.d. | <LOD | n.d. | <LOD | n.d. | <LOD | n.d. | n.d. |
| Fertaric acid | 53.15 g | 163.1 f | 278.8 bc | 174.6 ef | 283.5 b | 91.70 g | 229.4 bcde | 277.8 bc | 341.7 a | 208.8 ef | 213.5 def | 270.2 bcd | 223.7 cde |
| Caffeic acid | 81.50 cd | 75.14 d | 427.4 a | 103.4 cd | <LOD | <LOQ | 90.72 cd | 160.0 c | 248.3 b | 76.68 cd | <LOQ | 157.3 cd | 137.6 cd |
| Feruloyl hexose | 259.8 a | 233.5 b | 201.2 c | 97.46 g | 195.8 cd | 56.95 h | 140.5 f | 197.7 c | 212.0 bc | 163.6 ef | 170.4 de | 208.7 bc | 184.9 cde |
| Ferulic acid | 1846 e | 3079 c | 3657 ab | 1427 f | 3020 c | 546.9 g | 2868 cd | 3105 c | 3774 a | 2557 d | 2979 c | 3417 b | 2585 d |
| Rosmarinic acid | 7224 a | 6882 a | 2416 cde | 2973 bcde | 59.66 e | 1620 de | 1556 de | 4252 abcd | 5239 abc | 5828 ab | 4181 abcd | 4375 abcd | 6089 ab |
| Salvianolic acid A isomer I | 57.46 c | 121.2 ab | 95.52 bc | 58.66 c | 46.13 c | <LOQ | 81.72 bc | 90.11 bc | 158.8 a | 104.7 abc | 87.88 bc | 101.5 abc | 132.2 ab |
| Salvianolic acid I | <LOD | <LOQ | <LOQ | <LOD | <LOD | <LOD | <LOD | <LOQ | <LOD | <LOQ | <LOQ | <LOQ | <LOQ |
| Salvianolic acid B | 930.9 bcd | 2322 a | 1414 abc | 701.2 bcd | <LOD | 342.3 cd | 233.7 d | 1710 ab | 1220 abcd | 1472 abc | 1527 ab | 2144 a | 2277 a |
| Salvianolic acid A isomer III | <LOD | <LOD | <LOD | <LOD | <LOD | <LOD | <LOD | <LOD | <LOD | <LOD | <LOD | <LOD | <LOD |
| Total Phenolic Acids | 10646 ab | 13106 a | 8624 bc | 5649 cd | 3673 d | 2658 d | 5485 cd | 10048 ab | 11473 ab | 10549 ab | 9307 abc | 10934 ab | 11967 ab |
| Luteolin-7-O-glucuronide | 84.32 gh | 216.6 bcd | 97.82 fgh | 66.94 h | 145.7 ef | <LOD | 121.3 efg | 265.7 ab | 209.2 cd | 170.4 de | 203.7 cd | 291.9 a | 231.4 bc |
| Luteolin-7-O-glucoside | 58.11 cde | 71.07 bc | <LOD | <LOQ | 25.97 f | <LOD | <LOQ | 64.38 cd | 45.98 de | 44.07 e | 52.84 cde | 91.15 a | 83.54 ab |
| Apigenin-7-O-glucoside | 98.05 a | 73.68 a | <LOD | 31.59 b | 95.37 a | <LOQ | 44.44 b | 25.20 b | 32.84 b | 30.31 b | 24.74 b | 28.22 b | 37.23 b |
| Apigenin-7-O-acetylglucoside | <LOD | 30.67 | <LOD | <LOQ | <LOD | <LOD | <LOQ | <LOQ | <LOQ | <LOQ | <LOQ | <LOQ | <LOQ |
| Luteolin | 154.1 c | 78.26 ef | 632.8 a | 90.82 de | <LOD | 32.22 f | <LOD | 94.14 de | 114.4 cde | 171.1 bc | 58.78 ef | 138.8 cd | 215.3 b |
| Naringenin | <LOQ | <LOQ | <LOD | <LOD | <LOD | <LOD | <LOD | <LOD | <LOD | <LOD | <LOD | <LOD | <LOD |
| Apigenin | 242.8 a | 208.4 ab | 267.3 a | 126.1 bcd | <LOD | 63.78 d | 55.70 d | 131.9 bcd | 92.54 cd | 129.0 bcd | 111.6 bcd | 140.3 bcd | 175.1 abc |
| Total Flavonoids | 637.4 bcd | 678.6 bc | 998.0 a | 315.4 efg | 267.0 fgh | 96.00 h | 221.4 gh | 581.3 bcd | 495.0 cde | 544.9 bcd | 451.6 def | 690.4 bc | 742.6 b |
| Herniarin | <LOQ | 43.96 ± 6.05 | n.d. | n.d. | n.d. | n.d. | n.d. | n.d. | n.d. | <LOQ | <LOQ | n.d. | <LOQ |
| Total Phenolic Compounds | 11283 a | 13828 a | 9623 ab | 5965 bc | 3940 c | 2754 c | 5707 bc | 10629 a | 11968 a | 11094 a | 9759 ab | 11625 a | 12709 a |
| Individual Phenolic Compounds | Antioxidant Activity | Enzyme Inhibitory Activity | ||||||
|---|---|---|---|---|---|---|---|---|
| DPPH | FRAP | ABTS | ORAC | AChE | BChE | Tyr | ||
| Fertaric acid | 0.799 ** | 0.561 ** | 0.688 ** | 0.605 ** | −0.010 | −0.104 | −0.087 | |
| Ferulic acid | 0.846 ** | 0.708 ** | 0.846 ** | 0.717 ** | −0.312 | −0.333 | −0.349 | |
| Feruloyl hexose | 0.536 ** | 0.582 ** | 0.623 ** | 0.528 ** | −0.402 * | −0.361 | −0.400 * | |
| Luteolin-7-O-glucuronide | 0.593 ** | 0.685 ** | 0.354 | 0.822 ** | 0.438 * | 0.454 * | 0.498 * | |
| Luteolin-7-O-glucoside | −0.142 | 0.432 | −0.483 * | 0.211 | 0.321 | 0.373 | 0.593 ** | |
| Rosmarinic acid | 0.105 | 0.483 * | 0.187 | 0.196 | 0.164 | 0.152 | 0.127 | |
| Salvianolic acid A isomer I | 0.480 * | 0.732 ** | 0.498 ** | 0.314 | 0.231 | 0.085 | 0.139 | |
| Salvianolic acid B | 0.535 ** | 0.684 ** | 0.426 * | 0.713 * | 0.075 | 0.064 | 0.149 | |
| Total phenolic contents | F-C | 0.741 ** | 0.765 ** | 0.580 ** | 0.822 ** | −0.176 | −0.174 | −0.015 |
| HPLC | 0.429 * | 0.731 ** | 0.463 * | 0.484 * | 0.072 | 0.050 | 0.048 | |
Publisher’s Note: MDPI stays neutral with regard to jurisdictional claims in published maps and institutional affiliations. |
© 2021 by the authors. Licensee MDPI, Basel, Switzerland. This article is an open access article distributed under the terms and conditions of the Creative Commons Attribution (CC BY) license (https://creativecommons.org/licenses/by/4.0/).
Share and Cite
Mansinhos, I.; Gonçalves, S.; Rodríguez-Solana, R.; Ordóñez-Díaz, J.L.; Moreno-Rojas, J.M.; Romano, A. Ultrasonic-Assisted Extraction and Natural Deep Eutectic Solvents Combination: A Green Strategy to Improve the Recovery of Phenolic Compounds from Lavandula pedunculata subsp. lusitanica (Chaytor) Franco. Antioxidants 2021, 10, 582. https://doi.org/10.3390/antiox10040582
Mansinhos I, Gonçalves S, Rodríguez-Solana R, Ordóñez-Díaz JL, Moreno-Rojas JM, Romano A. Ultrasonic-Assisted Extraction and Natural Deep Eutectic Solvents Combination: A Green Strategy to Improve the Recovery of Phenolic Compounds from Lavandula pedunculata subsp. lusitanica (Chaytor) Franco. Antioxidants. 2021; 10(4):582. https://doi.org/10.3390/antiox10040582
Chicago/Turabian StyleMansinhos, Inês, Sandra Gonçalves, Raquel Rodríguez-Solana, José Luis Ordóñez-Díaz, José Manuel Moreno-Rojas, and Anabela Romano. 2021. "Ultrasonic-Assisted Extraction and Natural Deep Eutectic Solvents Combination: A Green Strategy to Improve the Recovery of Phenolic Compounds from Lavandula pedunculata subsp. lusitanica (Chaytor) Franco" Antioxidants 10, no. 4: 582. https://doi.org/10.3390/antiox10040582
APA StyleMansinhos, I., Gonçalves, S., Rodríguez-Solana, R., Ordóñez-Díaz, J. L., Moreno-Rojas, J. M., & Romano, A. (2021). Ultrasonic-Assisted Extraction and Natural Deep Eutectic Solvents Combination: A Green Strategy to Improve the Recovery of Phenolic Compounds from Lavandula pedunculata subsp. lusitanica (Chaytor) Franco. Antioxidants, 10(4), 582. https://doi.org/10.3390/antiox10040582

