Awake Testing during Deep Brain Stimulation Surgery Predicts Postoperative Stimulation Side Effect Thresholds
Abstract
1. Introduction
2. Materials and Methods
2.1. Participants
2.2. Surgery and Initial Programming
2.3. Data Collection
2.4. Statistical Analyses
3. Results
3.1. Demographics
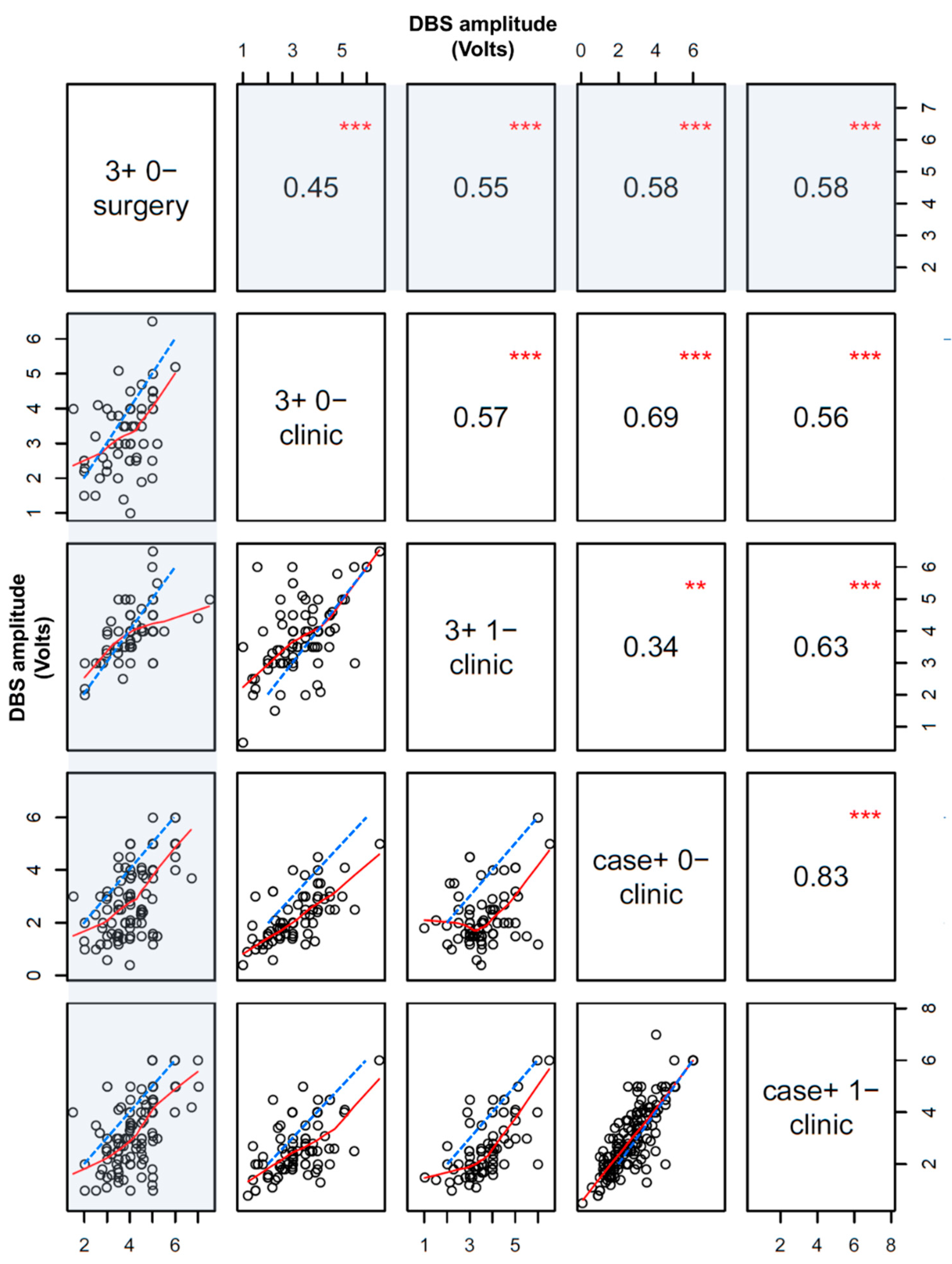
3.2. Intraoperative Macrostimulation Predicts Postoperative DBS Side Effects
3.3. Thresholds for Intraoperative and Postoperative Dose-Limiting Side Effects
4. Discussion
5. Conclusions
Author Contributions
Funding
Conflicts of Interest
References
- Deuschl, G.; Schade-Brittinger, C.; Krack, P.; Volkmann, J.; Schäfer, H.; Bötzel, K.; Daniels, C.; Deutschländer, A.; Dillmann, U.; Eisner, W.; et al. A randomized trial of deep-brain stimulation for parkinson’s disease. N. Engl. J. Med. 2006, 355, 896–908. [Google Scholar] [CrossRef]
- Gervais-Bernard, H.; Xie-Brustolin, J.; Mertens, P.; Polo, G.; Klinger, H.; Adamec, D.; Broussolle, E.; Thobois, S. Bilateral subthalamic nucleus stimulation in advanced parkinson’s disease: Five year follow-up. J. Neurol. 2009, 256, 225–233. [Google Scholar] [CrossRef]
- Hubble, J.P.; Busenbark, K.L.; Wilkinson, S.; Pahwa, R.; Paulson, G.W.; Lyons, K.; Koller, W.C. Effects of thalamic deep brain stimulation based on tremor type and diagnosis. Mov. Disord. 1997, 12, 337–341. [Google Scholar] [CrossRef] [PubMed]
- Krack, P.; Batir, A.; Van Blercom, N.; Chabardes, S.; Fraix, V.; Ardouin, C.; Koudsie, A.; Limousin, P.D.; Benazzouz, A.; LeBas, J.F.; et al. Five-year follow-up of bilateral stimulation of the subthalamic nucleus in advanced parkinson’s disease. N. Engl. J. Med. 2003, 349, 1925–1934. [Google Scholar] [CrossRef] [PubMed]
- Tagliati, M.; Krack, P.; Volkmann, J.; Aziz, T.; Krauss, J.K.; Kupsch, A.; Vidailhet, A.M. Long-term management of DBS in dystonia: Response to stimulation, adverse events, battery changes, and special considerations. Mov. Disord. 2011, 26, S54–S62. [Google Scholar] [CrossRef] [PubMed]
- Rodriguez-Oroz, M.C.; Obeso, J.A.; Lang, A.E.; Houeto, J.L.; Pollak, P.; Rehncrona, S.; Kulisevsky, J.; Albanese, A.; Volkmann, J.; Hariz, M.I.; et al. Bilateral deep brain stimulation in parkinson’s disease: A multicentre study with 4 years follow-up. Brain 2005, 128, 2240–2249. [Google Scholar] [CrossRef] [PubMed]
- Zeiler, F.A.; Wilkinson, M.; Krcek, J.P. Subthalamic nucleus deep brain stimulation: An invaluable role for MER. Can. J. Neurol. Sci. 2013, 40, 572–575. [Google Scholar] [CrossRef]
- Reddy, S.; Fenoy, A.; Furr-Stimming, E.; Schiess, M.; Mehanna, R. Does the use of intraoperative microelectrode recording influence the final location of lead implants in the ventral intermediate nucleus for deep brain stimulation? Cerebellum 2017, 16, 421–426. [Google Scholar] [CrossRef]
- Pollak, P.; Krack, P.; Fraix, V.; Mendes, A.; Moro, E.; Chabardes, S.; Benabid, A.L. Intraoperative micro- and macrostimulation of the subthalamic nucleus in parkinson’s disease. Mov. Disord. 2002, 17, S155–S161. [Google Scholar] [CrossRef]
- Saleh, S.; Swanson, K.; Lake, W.; Sillay, K. Awake neurophysiologically guided versus asleep MRI-guided STN DBS for parkinson disease: A comparison of outcomes using levodopa equivalents. Stereotact. Funct. Neurosurg. 2015, 93, 419–426. [Google Scholar] [CrossRef]
- Alesch, F.; Jain, R.; Chen, L.; Brucke, T.; Seijo, F.; Martin, E.S.S.; Haegelen, C.; Verin, M.; Maarouf, M.; Barbe, M.T.; et al. 135 A comparison of outcomes between deep brain stimulation under general anesthesia versus conscious sedation with awake evaluation. Neurosurgery 2016, 63, 155. [Google Scholar] [CrossRef]
- Harries, A.M.; Kausar, J.; Roberts, S.A.; Mocroft, A.P.; Hodson, J.A.; Pall, H.S.; Mitchell, R.D. Deep brain stimulation of the subthalamic nucleus for advanced parkinson disease using general anesthesia: Long-term results. J. Neurosurg. 2012, 116, 107–113. [Google Scholar] [CrossRef] [PubMed]
- Jacob, R.L.; Geddes, J.; McCartney, S.; Burchiel, K.J. Cost analysis of awake versus asleep deep brain stimulation: A single academic health center experience. J. Neurosurg. 2016, 124, 1517–1523. [Google Scholar] [CrossRef] [PubMed]
- Mirzadeh, Z.; Chapple, K.; Lambert, M.; Evidente, V.G.; Mahant, P.; Ospina, M.C.; Samanta, J.; Moguel-Cobos, G.; Salins, N.; Lieberman, A.; et al. Parkinson’s disease outcomes after intraoperative CT-guided “asleep” deep brain stimulation in the globus pallidus internus. J. Neurosurg. 2016, 124, 902–907. [Google Scholar] [CrossRef] [PubMed]
- Chen, T.; Mirzadeh, Z.; Chapple, K.M.; Lambert, M.; Evidente, V.G.H.; Moguel-Cobos, G.; Oravivattanakul, S.; Mahant, P.; Ponce, F.A. Intraoperative test stimulation versus stereotactic accuracy as a surgical end point: A comparison of essential tremor outcomes after ventral intermediate nucleus deep brain stimulation. J. Neurosurg. 2018, 129, 290–298. [Google Scholar] [CrossRef] [PubMed]
- Patel, D.M.; Walker, H.C.; Brooks, R.; Omar, N.; Ditty, B.; Guthrie, B.L. Adverse events associated with deep brain stimulation for movement disorders: Analysis of 510 consecutive cases. Neurosurgery 2015, 11, 190–199. [Google Scholar] [CrossRef] [PubMed]
- Walker, H.C.; Watts, R.L.; Guthrie, S.; Wang, D.; Guthrie, B.L. Bilateral effects of unilateral subthalamic deep brain stimulation on parkinson’s disease at 1 year. Neurosurgery 2009, 65, 302–309; discussion 309–310. [Google Scholar] [CrossRef] [PubMed]
- Volkmann, J.; Moro, E.; Pahwa, R. Basic algorithms for the programming of deep brain stimulation in parkinson’s disease. Mov. Disord. 2006, 21, S284–S289. [Google Scholar] [CrossRef] [PubMed]
- Picillo, M.; Lozano, A.M.; Kou, N.; Munhoz, R.P.; Fasano, A. Programming deep brain stimulation for tremor and dystonia: The toronto western hospital algorithms. Brain Stimul. 2016, 9, 438–452. [Google Scholar] [CrossRef] [PubMed]
- Picillo, M.; Lozano, A.M.; Kou, N.; Puppi Munhoz, R.; Fasano, A. Programming deep brain stimulation for parkinson’s disease: The toronto western hospital algorithms. Brain Stimul. 2016, 9, 425–437. [Google Scholar] [CrossRef] [PubMed]
- Satzer, D.; Lanctin, D.; Eberly, L.E.; Abosch, A. Variation in deep brain stimulation electrode impedance over years following electrode implantation. Stereotact. Funct. Neurosurg. 2014, 92, 94–102. [Google Scholar] [CrossRef] [PubMed]
- Butson, C.R.; Maks, C.B.; McIntyre, C.C. Sources and effects of electrode impedance during deep brain stimulation. Clin. Neurophysiol. 2006, 117, 447–454. [Google Scholar] [CrossRef] [PubMed]
- Tommasi, G.; Krack, P.; Fraix, V.; Le Bas, J.F.; Chabardes, S.; Benabid, A.L.; Pollak, P. Pyramidal tract side effects induced by deep brain stimulation of the subthalamic nucleus. J. Neurol. Neurosurg. Psychiatry 2008, 79, 813–819. [Google Scholar] [CrossRef] [PubMed]
- Mahlknecht, P.; Akram, H.; Georgiev, D.; Tripoliti, E.; Candelario, J.; Zacharia, A.; Zrinzo, L.; Hyam, J.; Hariz, M.; Foltynie, T.; et al. Pyramidal tract activation due to subthalamic deep brain stimulation in parkinson’s disease. Mov. Disord. 2017, 32, 1174–1182. [Google Scholar] [CrossRef]
- Blume, J.; Rothenfußer-Korber, E.; Janzen, A.; Bogdahn, U.; Schlaier, J.; Lange, M. Can intraoperative clinical testing predict stimulation-induced effects of STN-DBS? Parkinsonism Relat. Disord. 2016, 22, e23. [Google Scholar] [CrossRef]
- Matias, C.M.; Frizon, L.A.; Nagel, S.J.; Lobel, D.A.; Machado, A.G. Deep brain stimulation outcomes in patients implanted under general anesthesia with frame-based stereotaxy and intraoperative MRI. J. Neurosurg. 2018, 129, 1572–1578. [Google Scholar] [CrossRef] [PubMed]
- Chen, T.; Mirzadeh, Z.; Chapple, K.M.; Lambert, M.; Shill, H.A.; Moguel-Cobos, G.; Tröster, A.I.; Dhall, R.; Ponce, F.A. Clinical outcomes following awake and asleep deep brain stimulation for parkinson disease. J. Neurosurg. 2018, 1–12. [Google Scholar] [CrossRef]


| Threshold with 3+ 0− DBS in Surgery <3.5 | Threshold in Surgery ≥3.5 V | No Dose-Limiting Side Effect in Surgery | |||||||
|---|---|---|---|---|---|---|---|---|---|
| Target | STN (n = 124) | VIM (n = 59) | GPi (n = 75) | STN (n = 124) | VIM (n = 59) | GPi (n = 75) | STN (n = 124) | VIM (n = 59) | GPi (n = 75) |
| (%) | 21 (17%) | 12 (20%) | 2 (4%) | 59 (48%) | 32 (54%) | 17 (21%) | 44 (35%) | 15 (25%) | 56 (75%) |
| case+ 0− | 1.8 ± 0.8 (0.86) | 1.9 ± 0.7 (0.67) | 3.1 ± 0.1 (1.0) | 2.4 ± 0.9 (0.64) | 2.7 ± 0.9 (0.56) | 2.7 ± 1.1 (0.94) | 2.8 ± 1.0 (0.66) | 2.6 ± 0.7 (0.67) | 3.6 ± 1.3 (0.43) |
| 1.4, 1.6, 2.0 | 1.4, 1.8, 2.5 | 3.1, 3.1, 3.5 | 1.7, 2.4, 2.9 | 2.2, 2.8, 3.2 | 2.2, 2.9, 3.3 | 2.0, 2.8, 3.5 | 2.3, 2.6, 3.0 | 3.0, 3.5, 4.4 | |
| case+ 1− | 2.1 ± 0.8 (0.81) | 2.4 ± 0.7 (0.58) | 4.1 ± 1.3 (1.0) | 2.5 ± 0.8 (0.68) | 2.9 ± 1.1 (0.63) | 3.1 ± 0.9 (0.71) | 2.9 ± 0.9 (0.64) | 3.5 ± 0.9 (0.80) | 4.1 ± 1.5 (0.46) |
| 1.5, 2.0, 2.5 | 1.8, 2.5, 2.8 | 3.7, 4.1, 4.6 | 2.0, 2.5, 3.0 | 2.2, 2.8, 3.7 | 2.2, 3.4, 3.8 | 2.0, 2.9, 3.7 | 2.9, 3.9, 4.0 | 3.5, 4.2, 4.7 | |
| case+ 2− | 2.5 ± 0.8 (0.81) | 2.6 ± 0.9 (0.67) | 4.1 (0.50) | 2.7 ± 0.9 (0.69) | 3.3 ± 1.3 (0.59) | 3.0 ± 1.0 (0.47) | 3.0 ± 0.8 (0.61) | 4.1 ± 1.2 (0.60) | 3.7 ± 1.1 (0.36) |
| 1.9, 2.3, 2.6 | 1.8, 2.4, 3.0 | 4.1, 4.1, 4.1 | 2.0, 2.5, 3.4 | 2.5, 3.0, 4.0 | 2.4, 3.0, 3.8 | 2.4, 3.0, 3.6 | 3.7, 4.0, 4.5 | 3.4, 3.8, 4.1 | |
| case+ 3− | 2.7 ± 1.4 (0.67) | 3.3 ± 1.0 (0.58) | 0.0 | 3.0 ± 0.9 (0.46) | 3.1 ± 1.6 (0.38) | 3.1 ± 1.2 (0.41) | 3.4 ± 0.8 (0.34) | 4.4 ± 2.0 (0.40) | 3.8 ± 1.4 (0.30) |
| 1.5, 2.6, 3.6 | 2.8, 3.5, 3.8 | 2.5, 3.0, 3.5 | 2.0, 3.1, 4.0 | 2.7, 3.5, 3.8 | 3.0, 3.2, 4.0 | 3.2, 3.9, 4.9 | 3.0, 3.6, 4.5 | ||
| 3+ 0− | 2.6 ± 0.9 (0.52) | 2.7 ± 0.9 (0.58) | 0.0 | 3.1 ± 1.0 (0.36) | 3.1 ± 1.1 (0.28) | 2.5 ± 0.9 (0.41) | 2.7 ± 0.8 (0.22) | 3.9 ± 1.0 (0.40) | 3.6 ± 0.9 (0.16) |
| 2.2, 2.4, 3.1 | 2.0, 2.5, 3.2 | 2.5, 3.0, 3.8 | 3.0, 3.0, 3.5 | 2.2, 2.7, 3.2 | 2.2, 2.8, 3.0 | 3.5, 3.8, 4.4 | 3.5, 4.0, 4.0 | ||
| 3+ 1− | 3.0 ± 1.0 (0.48) | 3.4 ± 0.8 (0.58) | 0.0 | 3.8 ± 0.9 (0.31) | 4.3 ± 0.7 (0.31) | 4.0 ± 0.9 (0.41) | 3.2 ± 1.0 (0.18) | 3.6 ± 1.4 (0.27) | 3.0 ± 1.2 (0.09) |
| 2.4, 3.2, 3.5 | 3.1, 3.5, 4.0 | 3.1, 3.9, 4.2 | 4.0, 4.3, 5.0 | 3.4, 3.5, 4.5 | 2.9, 3.1, 3.5 | 2.8, 3.8, 4.6 | 2.1, 2.9, 3.0 | ||
© 2019 by the authors. Licensee MDPI, Basel, Switzerland. This article is an open access article distributed under the terms and conditions of the Creative Commons Attribution (CC BY) license (http://creativecommons.org/licenses/by/4.0/).
Share and Cite
Walker, H.C.; Faulk, J.; Rahman, A.F.; Gonzalez, C.L.; Roush, P.; Nakhmani, A.; Crowell, J.L.; Guthrie, B.L. Awake Testing during Deep Brain Stimulation Surgery Predicts Postoperative Stimulation Side Effect Thresholds. Brain Sci. 2019, 9, 44. https://doi.org/10.3390/brainsci9020044
Walker HC, Faulk J, Rahman AF, Gonzalez CL, Roush P, Nakhmani A, Crowell JL, Guthrie BL. Awake Testing during Deep Brain Stimulation Surgery Predicts Postoperative Stimulation Side Effect Thresholds. Brain Sciences. 2019; 9(2):44. https://doi.org/10.3390/brainsci9020044
Chicago/Turabian StyleWalker, Harrison C., Jesse Faulk, AKM Fazlur Rahman, Christopher L. Gonzalez, Patrick Roush, Arie Nakhmani, Jason L. Crowell, and Barton L. Guthrie. 2019. "Awake Testing during Deep Brain Stimulation Surgery Predicts Postoperative Stimulation Side Effect Thresholds" Brain Sciences 9, no. 2: 44. https://doi.org/10.3390/brainsci9020044
APA StyleWalker, H. C., Faulk, J., Rahman, A. F., Gonzalez, C. L., Roush, P., Nakhmani, A., Crowell, J. L., & Guthrie, B. L. (2019). Awake Testing during Deep Brain Stimulation Surgery Predicts Postoperative Stimulation Side Effect Thresholds. Brain Sciences, 9(2), 44. https://doi.org/10.3390/brainsci9020044

