Alterations in Brain White Matter Tractography in Older Long-Term Breast Cancer Survivors Treated with Chemotherapy
Abstract
1. Introduction
2. Methods
2.1. Demographic and Clinical Characteristics
2.2. Neuropsychological Testing
2.3. DTI Data Acquisition
2.4. Automated Fiber Tractography Analysis
2.5. Correlation Analysis
3. Results
3.1. Clinical and Demographic Characteristics
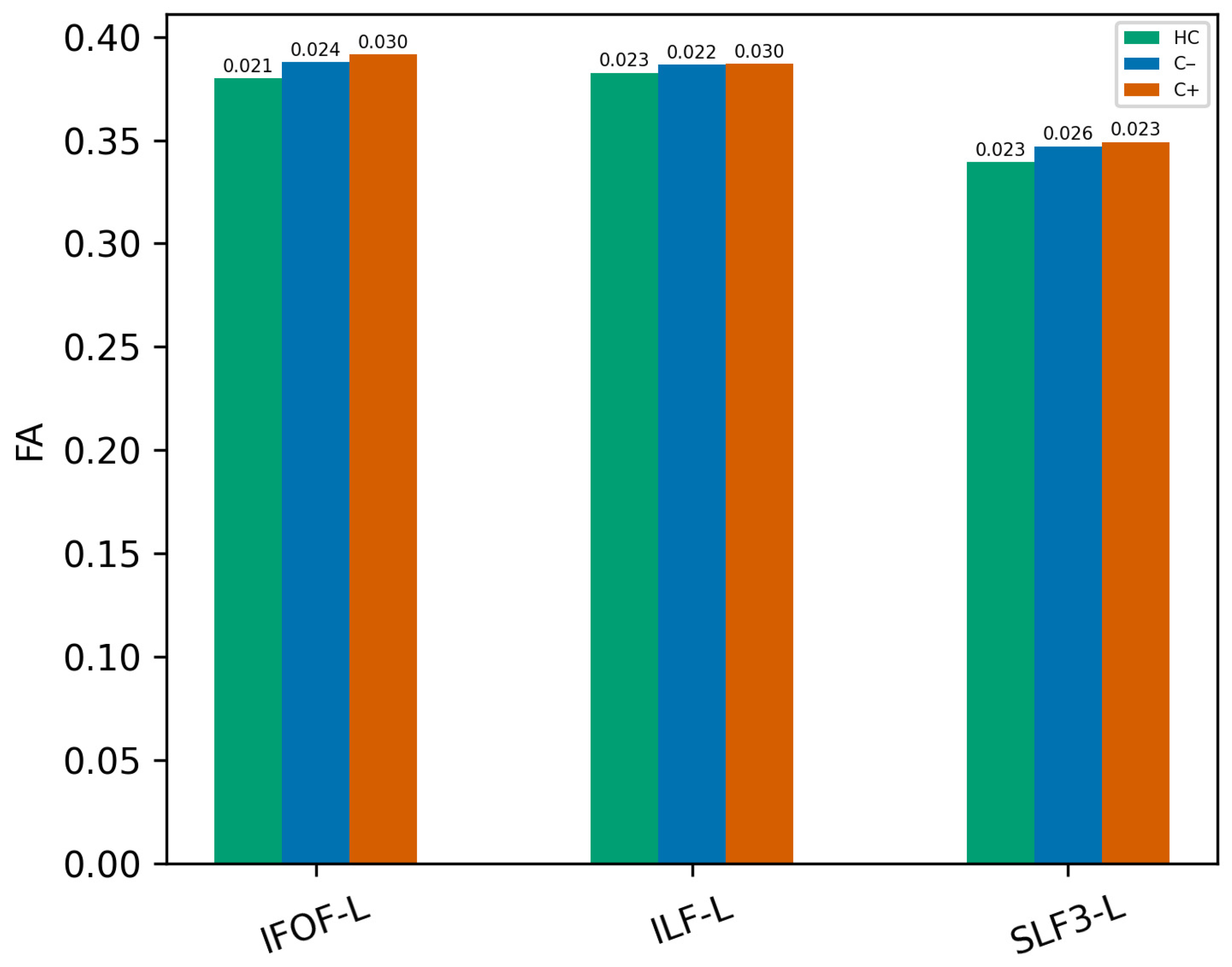
3.2. Automated White Matter Fiber Tractography
3.3. Neuropsychological Testing Data
3.4. Correlation Analysis
4. Discussion
5. Conclusions
Author Contributions
Funding
Institutional Review Board Statement
Informed Consent Statement
Data Availability Statement
Conflicts of Interest
References
- Arnold, M.; Morgan, E.; Rumgay, H.; Mafra, A.; Singh, D.; Laversanne, M.; Vignat, J.; Gralow, J.R.; Cardoso, F.; Siesling, S.; et al. Current and future burden of breast cancer: Global statistics for 2020 and 2040. Breast 2022, 66, 15–23. [Google Scholar] [CrossRef] [PubMed]
- Wilkinson, L.; Gathani, T. Understanding breast cancer as a global health concern. Br. J. Radiol. 2022, 95, 20211033. [Google Scholar] [CrossRef] [PubMed]
- Stein, K.D.; Syrjala, K.L.; Andrykowski, M.A. Physical and psychological long-term and late effects of cancer. Cancer 2008, 112, 2577–2592. [Google Scholar] [CrossRef] [PubMed]
- Lange, M.; Joly, F.; Vardy, J.; Ahles, T.; Dubois, M.; Tron, L.; Winocur, G.; De Ruiter, M.; Castel, H. Cancer-related cognitive impairment: An update on state of the art, detection, and management strategies in cancer survivors. Ann. Oncol. 2019, 30, 1925–1940. [Google Scholar] [CrossRef]
- Lange, M.; Rigal, O.; Clarisse, B.; Giffard, B.; Sevin, E.; Barillet, M.; Eustache, F.; Joly, F. Cognitive dysfunctions in elderly cancer patients: A new challenge for oncologists. Cancer Treat. Rev. 2014, 40, 810–817. [Google Scholar] [CrossRef]
- Magnuson, A.; Mohile, S.; Janelsins, M. Cognition and Cognitive Impairment in Older Adults with Cancer. Curr. Transl. Geriatr. Exp. Gerontol. Rep. 2016, 5, 213–219. [Google Scholar] [CrossRef]
- Pergolotti, M.; Battisti, N.M.L.; Padgett, L.; Sleight, A.G.; Abdallah, M.; Newman, R.; Van Dyk, K.; Covington, K.R.; Williams, G.R.; van den Bos, F.; et al. Embracing the complexity: Older adults with cancer-related cognitive decline—A Young International Society of Geriatric Oncology position paper. J. Geriatr. Oncol. 2020, 11, 237–243. [Google Scholar] [CrossRef]
- Zhang, Y.; Kesler, S.R.; Dietrich, J.; Chao, H.H. Cancer-Related Cognitive Impairment: A Practical Guide for Oncologists. JCO Oncol. Pract. 2025, 21, 1377–1381. [Google Scholar] [CrossRef]
- Henneghan, A.; Rao, V.; Harrison, R.A.; Karuturi, M.; Blayney, D.W.; Palesh, O.; Kesler, S.R. Cortical Brain Age from Pre-treatment to Post-chemotherapy in Patients with Breast Cancer. Neurotox. Res. 2020, 37, 788–799. [Google Scholar] [CrossRef]
- Daniel, E.; Deng, F.; Patel, S.K.; Sedrak, M.S.; Kim, H.; Razavi, M.; Sun, C.-L.; Root, J.C.; Ahles, T.A.; Dale, W.; et al. Cortical thinning in chemotherapy-treated older long-term breast cancer survivors. Brain Imaging Behav. 2023, 17, 66–76. [Google Scholar] [CrossRef]
- Daniel, E.; Deng, F.; Patel, S.K.; Sedrak, M.S.; Kim, H.; Razavi, M.; Sun, C.; Root, J.C.; Ahles, T.A.; Dale, W.; et al. Altered gyrification in chemotherapy-treated older long-term breast cancer survivors. Brain Behav. 2024, 14, e3634. [Google Scholar] [CrossRef]
- Madan, C.R. Age-related decrements in cortical gyrification: Evidence from an accelerated longitudinal dataset. Eur. J. Neurosci. 2020, 53, 1661–1671. [Google Scholar] [CrossRef] [PubMed]
- de Vareilles, H.; Rivière, D.; Mangin, J.; Dubois, J. Development of cortical folds in the human brain: An attempt to review biological hypotheses, early neuroimaging investigations and functional correlates. Dev. Cogn. Neurosci. 2023, 61, 101249. [Google Scholar] [CrossRef] [PubMed]
- Akula, S.K.; Exposito-Alonso, D.; Walsh, C.A. Shaping the brain: The emergence of cortical structure and folding. Dev. Cell 2023, 58, 2836–2849. [Google Scholar] [CrossRef] [PubMed]
- Babcock, K.R.; Page, J.S.; Fallon, J.R.; Webb, A.E. Adult Hippocampal Neurogenesis in Aging and Alzheimer’s Disease. Stem Cell Rep. 2021, 16, 681–693. [Google Scholar] [CrossRef]
- Daniel, E.; Deng, F.; Patel, S.K.; Sedrak, M.S.; Young, J.; Kim, H.; Razavi, M.; Sun, C.-L.; Root, J.C.; Ahles, T.A.; et al. Effect of chemotherapy on hippocampal volume and shape in older long-term breast cancer survivors. Front. Aging Neurosci. 2024, 16, 1347721. [Google Scholar] [CrossRef]
- O’donnell, L.J.; Westin, C.-F. An introduction to diffusion tensor image analysis. Neurosurg. Clin. N. Am. 2011, 22, 185–196. [Google Scholar] [CrossRef]
- Chen, B.T.; Ye, N.; Wong, C.W.; Patel, S.K.; Jin, T.; Sun, C.-L.; Rockne, R.C.; Kim, H.; Root, J.C.; Saykin, A.J.; et al. Effects of chemotherapy on aging white matter microstructure: A longitudinal diffusion tensor imaging study. J. Geriatr. Oncol. 2020, 11, 290–296. [Google Scholar] [CrossRef]
- Menning, S.; de Ruiter, M.B.; Veltman, D.J.; Boogerd, W.; Oldenburg, H.S.A.; Reneman, L.; Schagen, S.B. Changes in brain white matter integrity after systemic treatment for breast cancer: A prospective longitudinal study. Brain Imaging Behav. 2018, 12, 324–334. [Google Scholar] [CrossRef]
- Deprez, S.; Amant, F.; Smeets, A.; Peeters, R.; Leemans, A.; Van Hecke, W.; Verhoeven, J.S.; Christiaens, M.-R.; Vandenberghe, J.; Vandenbulcke, M.; et al. Longitudinal assessment of chemotherapy-induced structural changes in cerebral white matter and its correlation with impaired cognitive functioning. J. Clin. Oncol. 2012, 30, 274–281. [Google Scholar] [CrossRef]
- Billiet, T.; Emsell, L.; Vandenbulcke, M.; Peeters, R.; Christiaens, D.; Leemans, A.; Van Hecke, W.; Smeets, A.; Amant, F.; Sunaert, S.; et al. Recovery from chemotherapy-induced white matter changes in young breast cancer survivors? Brain Imaging Behav. 2018, 12, 64–77. [Google Scholar] [CrossRef] [PubMed]
- de Ruiter, M.B.; Reneman, L.; Kieffer, J.M.; Oldenburg, H.S.A.; Schagen, S.B. Brain White Matter Microstructure as a Risk Factor for Cognitive Decline After Chemotherapy for Breast Cancer. J. Clin. Oncol. 2021, 39, 3908–3917. [Google Scholar] [CrossRef] [PubMed]
- Koppelmans, V.; de Groot, M.; de Ruiter, M.B.; Boogerd, W.; Seynaeve, C.; Vernooij, M.W.; Niessen, W.J.; Schagen, S.B.; Breteler, M.M. Global and focal white matter integrity in breast cancer survivors 20 years after adjuvant chemotherapy. Hum. Brain Mapp. 2014, 35, 889–899. [Google Scholar] [CrossRef]
- Daniel, E.; Deng, F.; Patel, S.K.; Sedrak, M.S.; Kim, H.; Razavi, M.; Sun, C.; Root, J.C.; Ahles, T.A.; Dale, W.; et al. Brain white matter microstructural changes in chemotherapy-treated older long-term breast cancer survivors. Cancer Med. 2024, 13, e6881. [Google Scholar] [CrossRef] [PubMed]
- Burke, T.; Holleran, L.; Mothersill, D.; Lyons, J.; O’ROurke, N.; Gleeson, C.; Cannon, D.M.; McKernan, D.P.; Morris, D.W.; Kelly, J.P.; et al. Bilateral anterior corona radiata microstructure organisation relates to impaired social cognition in schizophrenia. Schizophr. Res. 2023, 262, 87–94. [Google Scholar] [CrossRef]
- Riedel, D.; Lorke, N.; Fellerhoff, T.; Mierau, A.; Strüder, H.K.; Wolf, D.; Fischer, F.; Fellgiebel, A.; Tüscher, O.; Kollmann, B.; et al. Interhemispheric transfer time correlates with white matter integrity of the corpus callosum in healthy older adults. Neuropsychologia 2024, 193, 108761. [Google Scholar] [CrossRef]
- Bach, M.; Laun, F.B.; Leemans, A.; Tax, C.M.; Biessels, G.J.; Stieltjes, B.; Maier-Hein, K.H. Methodological considerations on tract-based spatial statistics (TBSS). NeuroImage 2014, 100, 358–369. [Google Scholar] [CrossRef]
- Mori, S.; van Zijl, P.C.M. Fiber tracking: Principles and strategies—A technical review. NMR Biomed. 2002, 15, 468–480. [Google Scholar] [CrossRef]
- Jeurissen, B.; Descoteaux, M.; Mori, S.; Leemans, A. Diffusion MRI fiber tractography of the brain. NMR Biomed. 2019, 32, e3785. [Google Scholar] [CrossRef]
- Bukkieva, T.; Pospelova, M.; Efimtsev, A.; Fionik, O.; Alekseeva, T.; Samochernykh, K.; Gorbunova, E.; Krasnikova, V.; Makhanova, A.; Nikolaeva, A.; et al. Microstructural Properties of Brain White Matter Tracts in Breast Cancer Survivors: A Diffusion Tensor Imaging Study. Pathophysiology 2022, 29, 595–609. [Google Scholar] [CrossRef]
- Weintraub, S.; Dikmen, S.S.; Heaton, R.K.; Tulsky, D.S.; Zelazo, P.D.; Bauer, P.J.; Carlozzi, N.E.; Slotkin, J.; Blitz, D.; Wallner-Allen, K.; et al. Cognition assessment using the NIH Toolbox. Neurology 2013, 80, S54–S64. [Google Scholar] [CrossRef] [PubMed]
- Gershon, R.C.; Wagster, M.V.; Hendrie, H.C.; Fox, N.A.; Cook, K.F.; Nowinski, C.J. NIH toolbox for assessment of neurological and behavioral function. Neurology 2013, 80, S2–S6. [Google Scholar] [CrossRef] [PubMed]
- Yeh, F.-C. Population-based tract-to-region connectome of the human brain and its hierarchical topology. Nat. Commun. 2022, 13, 4933. [Google Scholar] [CrossRef] [PubMed]
- Yeh, F.-C. Shape analysis of the human association pathways. NeuroImage 2020, 223, 117329. [Google Scholar] [CrossRef]
- Yeh, F.-C.; Badre, D.; Verstynen, T. Connectometry: A statistical approach harnessing the analytical potential of the local connectome. NeuroImage 2016, 125, 162–171. [Google Scholar] [CrossRef]
- Guevara, P.; Duclap, D.; Poupon, C.; Marrakchi-Kacem, L.; Fillard, P.; Le Bihan, D.; Leboyer, M.; Houenou, J.; Mangin, J.-F. Automatic fiber bundle segmentation in massive tractography datasets using a multi-subject bundle atlas. NeuroImage 2012, 61, 1083–1099. [Google Scholar] [CrossRef]
- Mayer, K.M.; Vuong, Q.C. TBSS and probabilistic tractography reveal white matter connections for attention to object features. Anat. Embryol. 2014, 219, 2159–2171. [Google Scholar] [CrossRef]
- Smith, S.M.; Jenkinson, M.; Johansen-Berg, H.; Rueckert, D.; Nichols, T.E.; Mackay, C.E.; Watkins, K.E.; Ciccarelli, O.; Cader, M.Z.; Matthews, P.M.; et al. Tract-based spatial statistics: Voxelwise analysis of multi-subject diffusion data. NeuroImage 2006, 31, 1487–1505. [Google Scholar] [CrossRef]
- Gómez-Ocádiz, R.; Silberberg, G. Corticostriatal pathways for bilateral sensorimotor functions. Curr. Opin. Neurobiol. 2023, 83, 102781. [Google Scholar] [CrossRef]
- Haber, S.N. Corticostriatal circuitry. Dialog-Clin. Neurosci. 2016, 18, 7–21. [Google Scholar] [CrossRef]
- Janelle, F.; Iorio-Morin, C.; D’AMour, S.; Fortin, D. Superior Longitudinal Fasciculus: A Review of the Anatomical Descriptions With Functional Correlates. Front. Neurol. 2022, 13, 794618. [Google Scholar] [CrossRef] [PubMed]
- Hofer, S.; Frahm, J. Topography of the human corpus callosum revisited—Comprehensive fiber tractography using diffusion tensor magnetic resonance imaging. NeuroImage 2006, 32, 989–994. [Google Scholar] [CrossRef] [PubMed]
- Di Virgilio, G.; Clarke, S. Direct interhemispheric visual input to human speech areas. Hum. Brain Mapp. 1997, 5, 347–354. [Google Scholar] [CrossRef]
- Altieri, R.; Melcarne, A.; Junemann, C.; Zeppa, P.; Zenga, F.; Garbossa, D.; Certo, F.; Barbagallo, G. Inferior Fronto-Occipital fascicle anatomy in brain tumor surgeries: From anatomy lab to surgical theater. J. Clin. Neurosci. 2019, 68, 290–294. [Google Scholar] [CrossRef]
- Conner, A.K.; Briggs, R.G.; Sali, G.; Rahimi, M.; Baker, C.M.; Burks, J.D.; A Glenn, C.; Battiste, J.D.; E Sughrue, M. A Connectomic Atlas of the Human Cerebrum—Chapter 13: Tractographic Description of the Inferior Fronto-Occipital Fasciculus. Oper. Neurosurg. 2018, 15, S436–S443. [Google Scholar] [CrossRef]
- Almairac, F.; Herbet, G.; Moritz-Gasser, S.; de Champfleur, N.M.; Duffau, H. The left inferior fronto-occipital fasciculus subserves language semantics: A multilevel lesion study. Anat. Embryol. 2015, 220, 1983–1995. [Google Scholar] [CrossRef]
- Von Der Heide, R.J.; Skipper, L.M.; Klobusicky, E.; Olson, I.R. Dissecting the uncinate fasciculus: Disorders, controversies and a hypothesis. Brain 2013, 136, 1692–1707. [Google Scholar] [CrossRef]
- Taoka, T.; Morikawa, M.; Akashi, T.; Miyasaka, T.; Nakagawa, H.; Kiuchi, K.; Kishimoto, T.; Kichikawa, K. Fractional anisotropy–threshold dependence in tract-based diffusion tensor analysis: Evaluation of the uncinate fasciculus in Alzheimer disease. Am. J. Neuroradiol. 2009, 30, 1700–1703. [Google Scholar] [CrossRef]
- Oishi, K.; Zilles, K.; Amunts, K.; Faria, A.; Jiang, H.; Li, X.; Akhter, K.; Hua, K.; Woods, R.; Toga, A.W.; et al. Human brain white matter atlas: Identification and assignment of common anatomical structures in superficial white matter. NeuroImage 2008, 43, 447–457. [Google Scholar] [CrossRef]
- de Ruiter, M.B.; Reneman, L.; Boogerd, W.; Veltman, D.J.; Caan, M.; Douaud, G.; Lavini, C.; Linn, S.C.; Boven, E.; van Dam, F.S.; et al. Late effects of high-dose adjuvant chemotherapy on white and gray matter in breast cancer survivors: Converging results from multimodal magnetic resonance imaging. Hum. Brain Mapp. 2012, 33, 2971–2983. [Google Scholar] [CrossRef]
- Ahles, T.A.; Orlow, I.; Schofield, E.; Li, Y.; Ryan, E.; Root, J.C.; Patel, S.K.; McNeal, K.; Gaynor, A.; Tan, H.; et al. The impact of APOE and smoking history on cognitive function in older, long-term breast cancer survivors. J. Cancer Surviv. 2022, 18, 575–585. [Google Scholar] [CrossRef]
- Jeurissen, B.; Leemans, A.; Tournier, J.; Jones, D.K.; Sijbers, J. Investigating the prevalence of complex fiber configurations in white matter tissue with diffusion magnetic resonance imaging. Hum. Brain Mapp. 2013, 34, 2747–2766. [Google Scholar] [CrossRef]
- Gradishar, W.J.; Moran, M.S.; Abraham, J.; Abramson, V.; Aft, R.; Agnese, D.; Allison, K.H.; Anderson, B.; Bailey, J.; Burstein, H.J.; et al. NCCN Guidelines® Insights: Breast Cancer, Version 5.2025. J. Natl. Compr. Cancer Netw. 2025, 23, 426–436. [Google Scholar] [CrossRef]




| TP1 | Longitudinal Subset Analyzed in This Study (with Both TP1 and TP2 Available) | |||||||
|---|---|---|---|---|---|---|---|---|
| Parameters | C+ N = 20 | C− N = 20 | HC N = 20 | p | C+ N = 12 | C− N = 12 | HC N = 15 | p |
| Age (years) | ||||||||
| Mean (SD) | 73.5 (5.06) | 76.85 (4.63) | 74.00 (6.09) | 0.106 | 73.75 (5.41) | 76.50 (4.28) | 74.53 (6.73) | 0.48 |
| Range | 66–84 | 69–86 | 66–88 | 68–84 | 71–86 | 66–88 | ||
| Race (N, %) | ||||||||
| Caucasian | 15 (75) | 18 (90) | 18 (90) | 0.096 | 10 (83) | 11 (92) | 14 (93) | 0.76 |
| Black | 1 (5) | 2 (10) | - | 1 (8) | 1 (8) | - | ||
| Other | 4 (20) | - | 2 (20) | 1 (8) | - | 1 (7) | ||
| Education (N, %) | ||||||||
| High school or less | 4 (20) | 5 (25) | 6 (30) | 0.359 | 3 (25) | 4 (33) | 4 (27) | 0.99 |
| Above high school | 16 (80) | 15 (75) | 14 (70) | 9 (75) | 8 (67) | 11 (73) | ||
| AJCC Stage (N, %) | ||||||||
| DCIS/I | 5 (25) | 17 (85) | . | 2 (17) | 10 (83) | |||
| II/III | 15 (75) | 3(15) | . | 10 (83) | 2 (17) | |||
| Tract Name | C+ Group | C− Group | HC Group | ||||||
|---|---|---|---|---|---|---|---|---|---|
| Mean | Std | p Value | Mean | Std | p Value | Mean | Std | p Value | |
| Inferior fronto-occipital fasciculus (L) | 0.02 | 0.02 | <0.01 | 0.01 | 0.01 | 0.01 | 0.00 | 0.03 | 0.96 |
| Inferior fronto-occipital fasciculus (R) | 0.01 | 0.01 | 0.01 | 0.01 | 0.01 | 0.01 | 0.00 | 0.02 | 0.99 |
| Inferior longitudinal fasciculus (L) | 0.01 | 0.01 | <0.01 | 0.01 | 0.02 | 0.04 | 0.00 | 0.02 | 0.93 |
| Inferior longitudinal fasciculus (R) | 0.01 | 0.01 | 0.04 | 0.01 | 0.01 | 0.02 | 0.00 | 0.02 | 0.86 |
| Superior longitudinal fasciculus3 (L) | 0.01 | 0.01 | <0.01 | 0.01 | 0.02 | 0.10 | 0.01 | 0.02 | 0.25 |
| Uncinate fasciculus (L) | 0.01 | 0.01 | 0.01 | 0.01 | 0.02 | 0.10 | 0.01 | 0.04 | 0.35 |
| Vertical occipital fasciculus (L) | 0.01 | 0.01 | 0.05 | 0.01 | 0.03 | 0.12 | 0.00 | 0.02 | 0.89 |
| Vertical occipital fasciculus (R) | 0.01 | 0.01 | 0.02 | 0.01 | 0.01 | 0.01 | 0.00 | 0.02 | 0.90 |
| Corticostriatal tract anterior (L) | 0.01 | 0.01 | <0.01 | 0.01 | 0.01 | 0.02 | 0.01 | 0.02 | 0.22 |
| Corticostriatal tract anterior (R) | 0.01 | 0.01 | 0.01 | 0.01 | 0.01 | 0.02 | 0.00 | 0.02 | 0.55 |
| Thalamic radiation anterior (L) | 0.02 | 0.02 | 0.04 | 0.01 | 0.03 | 0.12 | 0.00 | 0.03 | 0.93 |
| Fornix (L) | 0.01 | 0.02 | 0.02 | 0.02 | 0.01 | <0.01 | 0.00 | 0.02 | 0.90 |
| Optic radiation (L) | 0.01 | 0.02 | 0.04 | 0.01 | 0.01 | 0.10 | 0.00 | 0.03 | 0.61 |
| Optic radiation (R) | 0.01 | 0.02 | 0.03 | 0.01 | 0.02 | 0.05 | 0.01 | 0.03 | 0.27 |
| Anterior commissure | 0.02 | 0.02 | 0.01 | 0.01 | 0.01 | 0.03 | 0.00 | 0.03 | 0.97 |
| Corpus callosum forceps minor | 0.01 | 0.02 | 0.03 | 0.01 | 0.02 | 0.01 | 0.00 | 0.04 | 0.83 |
| C+ Group | C− Group | HC Group | |
|---|---|---|---|
| R | 0.65 | −0.37 | 0.42 |
| p-value | 0.03 | 0.27 | 0.12 |
Disclaimer/Publisher’s Note: The statements, opinions and data contained in all publications are solely those of the individual author(s) and contributor(s) and not of MDPI and/or the editor(s). MDPI and/or the editor(s) disclaim responsibility for any injury to people or property resulting from any ideas, methods, instructions or products referred to in the content. |
© 2026 by the authors. Licensee MDPI, Basel, Switzerland. This article is an open access article distributed under the terms and conditions of the Creative Commons Attribution (CC BY) license.
Share and Cite
Daniel, E.; Young, J.R.; Deng, F.; Patel, S.K.; Sedrak, M.S.; Kim, H.; Razavi, M.; Sun, C.-L.; Root, J.C.; Ahles, T.A.; et al. Alterations in Brain White Matter Tractography in Older Long-Term Breast Cancer Survivors Treated with Chemotherapy. Brain Sci. 2026, 16, 266. https://doi.org/10.3390/brainsci16030266
Daniel E, Young JR, Deng F, Patel SK, Sedrak MS, Kim H, Razavi M, Sun C-L, Root JC, Ahles TA, et al. Alterations in Brain White Matter Tractography in Older Long-Term Breast Cancer Survivors Treated with Chemotherapy. Brain Sciences. 2026; 16(3):266. https://doi.org/10.3390/brainsci16030266
Chicago/Turabian StyleDaniel, Ebenezer, Jonathan R. Young, Frank Deng, Sunita K. Patel, Mina S. Sedrak, Heeyoung Kim, Marianne Razavi, Can-Lan Sun, James C. Root, Tim A. Ahles, and et al. 2026. "Alterations in Brain White Matter Tractography in Older Long-Term Breast Cancer Survivors Treated with Chemotherapy" Brain Sciences 16, no. 3: 266. https://doi.org/10.3390/brainsci16030266
APA StyleDaniel, E., Young, J. R., Deng, F., Patel, S. K., Sedrak, M. S., Kim, H., Razavi, M., Sun, C.-L., Root, J. C., Ahles, T. A., Dale, W., & Chen, B. T. (2026). Alterations in Brain White Matter Tractography in Older Long-Term Breast Cancer Survivors Treated with Chemotherapy. Brain Sciences, 16(3), 266. https://doi.org/10.3390/brainsci16030266

