Short-Term Changes in Depressive Symptoms Among Patients with Alzheimer’s Disease Following a Precision Medicine Intervention
Abstract
1. Introduction
2. Materials and Methods
2.1. ReCODE Protocol Components, Software and Program Implementation
2.2. Patient Health Questionnaire-9 (PHQ-9)
2.3. Study Design, Participants, Assessment and Statistical Analysis
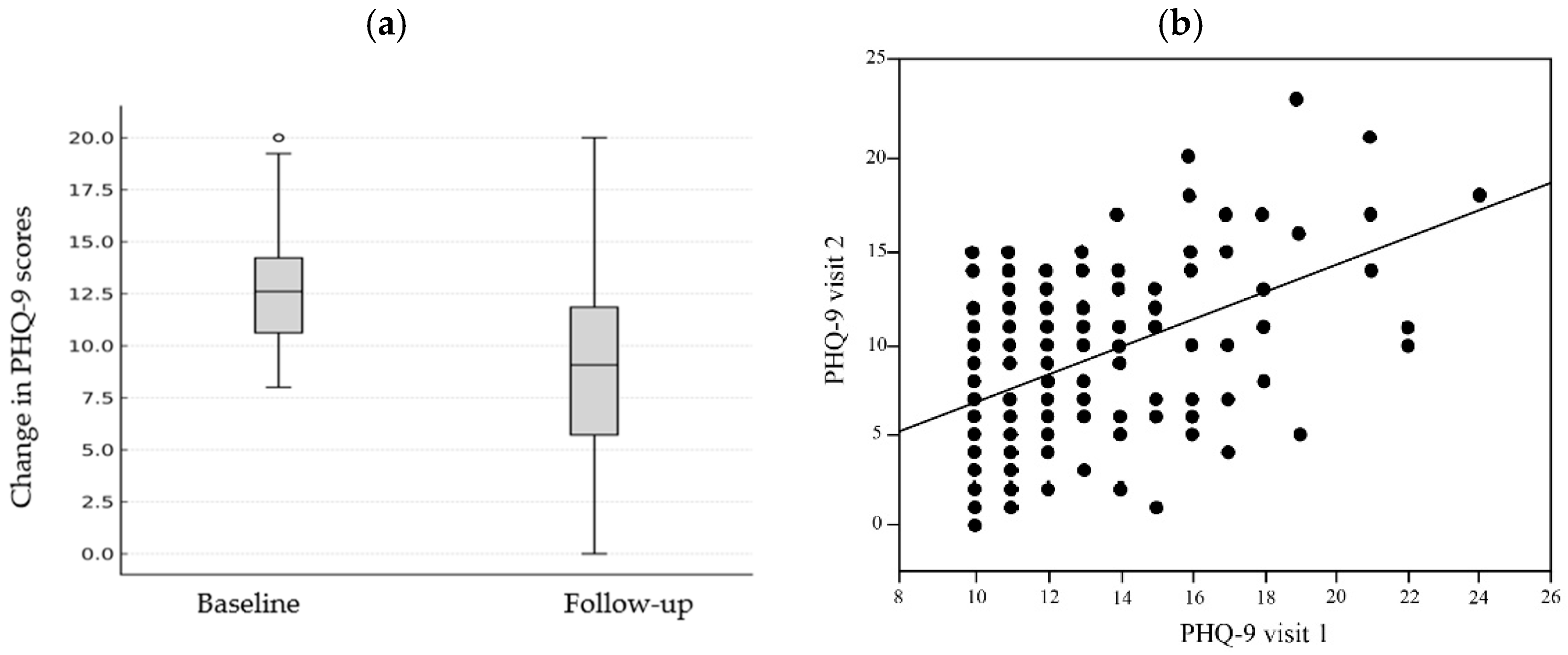
3. Results
3.1. PHQ-9 Score Changes
3.2. Baseline Depression Severity and Treatment Response
4. Discussion
5. Limitations of the Study
Author Contributions
Funding
Institutional Review Board Statement
Informed Consent Statement
Data Availability Statement
Acknowledgments
Conflicts of Interest
References
- El-Hayek, Y.H.; Wiley, R.E.; Khoury, C.P.; Daya, R.P.; Ballard, C.; Evans, A.R.; Karran, M.; Molinuevo, J.L.; Norton, M.; Atri, A. Tip of the Iceberg: Assessing the Global Socioeconomic Costs of Alzheimer’s Disease and Related Dementias and Strategic Implications for Stakeholders. J. Alzheimer’s Dis. 2019, 70, 323–341. [Google Scholar] [CrossRef]
- James, B.D.; Leurgans, S.E.; Hebert, L.E.; Scherr, P.A.; Yaffe, K.; Bennett, D.A. Contribution of Alzheimer disease to mortality in the United States. Neurology 2014, 82, 1045–1050. [Google Scholar] [CrossRef]
- Alzheimer’s Association. 2024 Alzheimer’s disease facts and figures. Alzheimer’s Dement. 2024, 20, 3708–3821. [Google Scholar] [CrossRef]
- Yiannopoulou, K.G.; Anastasiou, A.I.; Zachariou, V.; Pelidou, S.H. Reasons for Failed Trials of Disease-Modifying Treatments for Alzheimer Disease and Their Contribution in Recent Research. Biomedicines 2019, 7, 97. [Google Scholar] [CrossRef]
- Dubois, B.; Hampel, H.; Feldman, H.H.; Scheltens, P.; Aisen, P.; Andrieu, S.; Bakardjian, H.; Benali, H.; Bertram, L.; Blennow, K.; et al. Preclinical Alzheimer’s disease: Definition, natural history, and diagnostic criteria. Alzheimer’s Dement. 2016, 12, 292–323. [Google Scholar] [CrossRef] [PubMed]
- Rao, R.V.; Kumar, S.; Gregory, J.; Coward, C.; Okada, S.; Lipa, W.; Kelly, L.; Bredesen, D.E. ReCODE: A Personalized, Targeted, Multi-Factorial Therapeutic Program for Reversal of Cognitive Decline. Biomedicines 2021, 9, 1348. [Google Scholar] [CrossRef] [PubMed]
- Toups, K.; Hathaway, A.; Gordon, D.; Chung, H.; Raji, C.; Boyd, A.; Hill, B.D.; Hausman-Cohen, S.; Attarha, M.; Chwa, W.J.; et al. Precision Medicine Approach to Alzheimer’s Disease: Successful Pilot Project. J. Alzheimer’s Dis. 2022, 88, 1411–1421. [Google Scholar] [CrossRef] [PubMed]
- Bredesen, D.E. Inhalational Alzheimer’s disease: An unrecognized—and treatable—epidemic. Aging 2016, 8, 304–313. [Google Scholar] [CrossRef]
- Seto, M.; Weiner, R.L.; Dumitrescu, L.; Hohman, T.J. Protective genes and pathways in Alzheimer’s disease: Moving towards precision interventions. Mol. Neurodegener. 2021, 16, 29–44. [Google Scholar] [CrossRef]
- Schechter, G.; Azad, G.K.; Rao, R.; McKeany, A.; Matulaitis, M.; Kalos, D.M.; Kennedy, B.K. A Comprehensive, Multi-Modal Strategy to Mitigate Alzheimer’s Disease Risk Factors Improves Aspects of Metabolism and Offsets Cognitive Decline in Individuals with Cognitive Impairment. J. Alzheimer’s Dis. Rep. 2020, 4, 223–230. [Google Scholar] [CrossRef]
- Neuvonen, E.; Lehtisalo, J.; Ngandu, T.; Levalahti, E.; Antikainen, R.; Hanninen, T.; Laatikainen, T.; Lindstrom, J.; Paajanen, T.; Soininen, H.; et al. Associations of Depressive Symptoms and Cognition in the FINGER Trial: A Secondary Analysis of a Randomised Clinical Trial. J. Clin. Med. 2022, 11, 1449. [Google Scholar] [CrossRef]
- Schneider, N.; Yvon, C. A review of multidomain interventions to support healthy cognitive ageing. J. Nutr. Health Aging 2013, 17, 252–257. [Google Scholar] [CrossRef]
- Bredesen, D.E.; Sharlin, K.; Jenkins, D.; Okuno, M.; Youngberg, W.; Cohen, S.H.; Stefani, A.; Brown, R.L.; Conger, S.; Tanio, C.; et al. Reversal of Cognitive Decline: 100 Patients. J. Alzheimer’s Dis. Park. 2018, 8, 450. [Google Scholar] [CrossRef]
- Bredesen, D.E.; Amos, E.C.; Canick, J.; Ackerley, M.; Raji, C.; Fiala, M.; Ahdidan, J. Reversal of cognitive decline in Alzheimer’s disease. Aging 2016, 8, 1250–1258. [Google Scholar] [CrossRef]
- Kivipelto, M.; Solomon, A.; Ahtiluoto, S.; Ngandu, T.; Lehtisalo, J.; Antikainen, R.; Backman, L.; Hanninen, T.; Jula, A.; Laatikainen, T.; et al. The Finnish Geriatric Intervention Study to Prevent Cognitive Impairment and Disability (FINGER): Study design and progress. Alzheimer’s Dement. 2013, 9, 657–665. [Google Scholar] [CrossRef] [PubMed]
- Lista, S.; Dubois, B.; Hampel, H. Paths to Alzheimer’s disease prevention: From modifiable risk factors to biomarker enrichment strategies. J. Nutr. Health Aging 2015, 19, 154–163. [Google Scholar] [CrossRef]
- Ross, M.K.; Raji, C.; Lokken, K.L.; Bredesen, D.E.; Roach, J.C.; Funk, C.C.; Price, N.; Rappaport, N.; Hood, L.; Heath, J.R. Case Study: A Precision Medicine Approach to Multifactorial Dementia and Alzheimer’s Disease. J. Alzheimer’s Dis. Park. 2021, 11, 18–36. [Google Scholar]
- Fotuhi, M.; Lubinski, B.; Trullinger, M.; Hausterman, N.; Riloff, T.; Hadadi, M.; Raji, C.A. A Personalized 12-week “Brain Fitness Program” for Improving Cognitive Function and Increasing the Volume of Hippocampus in Elderly with Mild Cognitive Impairment. J. Prev. Alzheimer’s Dis. 2016, 3, 133–137. [Google Scholar] [CrossRef]
- Nguyen, S.A.; Oughli, H.A.; Lavretsky, H. Complementary and Integrative Medicine for Neurocognitive Disorders and Caregiver Health. Curr. Psychiatry Rep. 2022, 24, 469–480. [Google Scholar] [CrossRef] [PubMed]
- Bredesen, D.E.; Toups, K.; Hathaway, A.; Gordon, D.; Chung, H.; Raji, C.; Boyd, A.; Hill, B.D.; Hausman-Cohen, S.; Attarha, M.; et al. Precision Medicine Approach to Alzheimer’s Disease: Rationale and Implications. J. Alzheimer’s Dis. 2023, 96, 429–437. [Google Scholar] [CrossRef] [PubMed]
- Sandison, H.; Callan, N.G.L.; Rao, R.V.; Phipps, J.; Bradley, R. Observed Improvement in Cognition During a Personalized Lifestyle Intervention in People with Cognitive Decline. J. Alzheimer’s Dis. 2023, 94, 993–1004. [Google Scholar] [CrossRef]
- Keawtep, P.; Sungkarat, S.; Boripuntakul, S.; Sa-Nguanmoo, P.; Wichayanrat, W.; Chattipakorn, S.C.; Worakul, P. Effects of combined dietary intervention and physical-cognitive exercise on cognitive function and cardiometabolic health of postmenopausal women with obesity: A randomized controlled trial. Int. J. Behav. Nutr. Phys. Act. 2024, 21, 28. [Google Scholar] [CrossRef] [PubMed]
- Ornish, D.; Madison, C.; Kivipelto, M.; Kemp, C.; McCulloch, C.E.; Galasko, D.; Artz, J.; Rentz, D.; Lin, J.; Norman, K.; et al. Effects of intensive lifestyle changes on the progression of mild cognitive impairment or early dementia due to Alzheimer’s disease: A randomized, controlled clinical trial. Alzheimer’s Res. Ther. 2024, 16, 122. [Google Scholar] [CrossRef] [PubMed]
- Thunborg, C.; Wang, R.; Rosenberg, A.; Sindi, S.; Andersen, P.; Andrieu, S.; Broersen, L.M.; Coley, N.; Couderc, C.; Duval, C.Z.; et al. Integrating a multimodal lifestyle intervention with medical food in prodromal Alzheimer’s disease: The MIND-ADmini randomized controlled trial. Alzheimer’s Res. Ther. 2024, 16, 118. [Google Scholar] [CrossRef]
- Rao, R.V.; Subramaniam, K.G.; Gregory, J.; Bredesen, A.L.; Coward, C.; Okada, S.; Kelly, L.; Bredesen, D.E. Rationale for a Multi-Factorial Approach for the Reversal of Cognitive Decline in Alzheimer’s Disease and MCI: A Review. Int. J. Mol. Sci. 2023, 24, 1659. [Google Scholar] [CrossRef] [PubMed]
- Lee, H.B.; Lyketsos, C.G. Depression in Alzheimer’s disease: Heterogeneity and related issues. Biol. Psychiatry 2003, 54, 353–362. [Google Scholar] [CrossRef]
- Novais, F.; Starkstein, S. Phenomenology of Depression in Alzheimer’s Disease. J. Alzheimer’s Dis. 2015, 47, 845–855. [Google Scholar] [CrossRef]
- Kroenke, K.; Spitzer, R.L.; Williams, J.B. The PHQ-9: Validity of a brief depression severity measure. J. Gen. Intern. Med. 2001, 16, 606–613. [Google Scholar] [CrossRef]
- Levis, B.; Sun, Y.; He, C.; Wu, Y.; Krishnan, A.; Bhandari, P.M.; Neupane, D.; Imran, M.; Brehaut, E.; Negeri, Z.; et al. Accuracy of the PHQ-2 Alone and in Combination with the PHQ-9 for Screening to Detect Major Depression: Systematic Review and Meta-analysis. JAMA 2020, 323, 2290–2300. [Google Scholar] [CrossRef]
- Wu, Y.; Levis, B.; Riehm, K.E.; Saadat, N.; Levis, A.W.; Azar, M.; Rice, D.B.; Boruff, J.; Cuijpers, P.; Gilbody, S.; et al. Equivalency of the diagnostic accuracy of the PHQ-8 and PHQ-9: A systematic review and individual participant data meta-analysis. Psychol. Med. 2020, 50, 1368–1380. [Google Scholar] [CrossRef]
- Chi, S.; Wang, C.; Jiang, T.; Zhu, X.C.; Yu, J.T.; Tan, L. The prevalence of depression in Alzheimer’s disease: A systematic review and meta-analysis. Curr. Alzheimer Res. 2015, 12, 189–198. [Google Scholar] [CrossRef]
- Dafsari, F.S.; Jessen, F. Depression-an underrecognized target for prevention of dementia in Alzheimer’s disease. Transl. Psychiatry 2020, 10, 160. [Google Scholar] [CrossRef]
- Wang, X.; Ye, T.; Alzheimer’s Disease Neuroimaging Initiative; Zhou, W.; Zhang, J. Sex-specific association of depressive symptom trajectories with cognitive decline and clinical progression in mild cognitive impairment. Alzheimer’s Dement. 2025, 21, e70548. [Google Scholar] [CrossRef] [PubMed] [PubMed Central]
- Byers, A.L.; Yaffe, K. Depression and risk of developing dementia. Nat. Rev. Neurol. 2011, 7, 323–331. [Google Scholar] [CrossRef]
- Wragg, R.E.; Jeste, D.V. Overview of depression and psychosis in Alzheimer’s disease. Am. J. Psychiatry 1989, 146, 577–587. [Google Scholar] [CrossRef] [PubMed]
- Maj, M.; Stein, D.J.; Parker, G.; Zimmerman, M.; Fava, G.A.; De Hert, M.; Demyttenaere, K.; McIntyre, R.S.; Widiger, T.; Wittchen, H.U. The clinical characterization of the adult patient with depression aimed at personalization of management. World Psychiatry 2020, 19, 269–293. [Google Scholar] [CrossRef]
- Yin, J.; John, A.; Cadar, D. Bidirectional Associations of Depressive Symptoms and Cognitive Function Over Time. JAMA Netw. Open 2024, 7, e2416305. [Google Scholar] [CrossRef] [PubMed]
- Yin, J.; Lassale, C.; Steptoe, A.; Cadar, D. Exploring the bidirectional associations between loneliness and cognitive functioning over 10 years: The English longitudinal study of ageing. Int. J. Epidemiol. 2019, 48, 1937–1948. [Google Scholar] [CrossRef]
- Zheng, F.; Zhong, B.; Song, X.; Xie, W. Persistent depressive symptoms and cognitive decline in older adults. Br. J. Psychiatry 2018, 213, 638–644. [Google Scholar] [CrossRef]
- Bredesen, D.E. Metabolic profiling distinguishes three subtypes of Alzheimer’s disease. Aging 2015, 7, 595–600. [Google Scholar] [CrossRef] [PubMed]
- Bredesen, D.E. Reversal of cognitive decline: A novel therapeutic program. Aging 2014, 6, 707–717. [Google Scholar] [CrossRef]
- Manea, L.; Gilbody, S.; McMillan, D. Optimal cut-off score for diagnosing depression with the Patient Health Questionnaire (PHQ-9): A meta-analysis. Can. Med Assoc. J. 2012, 184, E191–E196. [Google Scholar] [CrossRef]
- Sun, Y.; Fu, Z.; Bo, Q.; Mao, Z.; Ma, X.; Wang, C. The reliability and validity of PHQ-9 in patients with major depressive disorder in psychiatric hospital. BMC Psychiatry 2020, 20, 474. [Google Scholar] [CrossRef]
- Levis, B.; Benedetti, A.; Thombs, B.D.; DEPRESsion Screening Data (DEPRESSD) Collaboration. Accuracy of Patient Health Questionnaire-9 (PHQ-9) for screening to detect major depression: Individual participant data meta-analysis. BMJ 2019, 365, l1476. [Google Scholar] [CrossRef]
- Karyotaki, E.; Efthimiou, O.; Miguel, C.; Bermpohl, F.M.G.; Furukawa, T.A.; Cuijpers, P.; Individual Patient Data Meta-Analyses for Depression Collaboration; Riper, H.; Patel, V.; Mira, A.; et al. Internet-Based Cognitive Behavioral Therapy for Depression: A Systematic Review and Individual Patient Data Network Meta-analysis. JAMA Psychiatry 2021, 78, 361–371. [Google Scholar] [CrossRef]
- Kendrick, T.; Moore, M.; Leydon, G.; Stuart, B.; Geraghty, A.W.A.; Yao, G.; Lewis, G.; Griffiths, G.; May, C.; Dewar-Haggart, R.; et al. Patient-reported outcome measures for monitoring primary care patients with depression (PROMDEP): Study protocol for a randomised controlled trial. Trials 2020, 21, 441. [Google Scholar] [CrossRef] [PubMed]
- Yao, X.; Wang, Y.; Zhou, Y.; Li, Z. A nurse-led positive psychological intervention among elderly community-dwelling adults with mild cognitive impairment and depression: A non-randomized controlled trial. Int. J. Geriatr. Psychiatry 2023, 38, e5951. [Google Scholar] [CrossRef] [PubMed]
- Theendakara, V.; Peters-Libeu, C.A.; Spilman, P.; Poksay, K.S.; Bredesen, D.E.; Rao, R.V. Direct Transcriptional Effects of Apolipoprotein E. J. Neurosci. 2016, 36, 685–700. [Google Scholar] [CrossRef] [PubMed]
- Theendakara, V.; Peters-Libeu, C.A.; Bredesen, D.E.; Rao, R.V. Transcriptional Effects of ApoE4: Relevance to Alzheimer’s Disease. Mol. Neurobiol. 2017, 55, 5243–5254. [Google Scholar] [CrossRef]
- Abbott, R.D.; Sherwin, K.; Klopf, H.; Mattingly, H.J.; Brogan, K. Efficacy of a Multimodal Online Lifestyle Intervention for Depressive Symptoms and Quality of Life in Individuals with a History of Major Depressive Disorder. Cureus 2020, 12, e9061. [Google Scholar] [CrossRef]
- Oakes-Cornellissen, A.; Morton, D.; Rankin, P.; Renfrew, M. Efficacy of a multimodal lifestyle intervention (The Lift Project) for improving the mental health of individuals with an affective mood disorder living in South Africa. Front. Psychol. 2023, 14, 1127068. [Google Scholar] [CrossRef]
- Pettit, R.S.; Sakon, C.M.; Kinney, K.E.; Brown, C.; Gallaway, K.A.; Wagner, S.A.; Tillman, E.M. Predictors of Selective Serotonin Reuptake Inhibitor Treatment Failure in Persons with Cystic Fibrosis. Pediatr. Pulmonol. 2025, 60, e27402. [Google Scholar] [CrossRef] [PubMed]
- Yi, J.; Lu, J.; Yang, A.; Marsh, E.B. In-hospital predictors of post-stroke depression for targeted initiation of Selective Serotonin Reuptake Inhibitors (SSRIs). BMC Psychiatry 2022, 22, 722. [Google Scholar] [CrossRef]
- Lewis, G.; Duffy, L.; Ades, A.; Amos, R.; Araya, R.; Brabyn, S.; Button, K.S.; Churchill, R.; Derrick, C.; Dowrick, C.; et al. The clinical effectiveness of sertraline in primary care and the role of depression severity and duration (PANDA): A pragmatic, double-blind, placebo-controlled randomised trial. Lancet Psychiatry 2019, 6, 903–914. [Google Scholar] [CrossRef]
- Kampf-Sherf, O.; Zlotogorski, Z.; Gilboa, A.; Speedie, L.; Lereya, J.; Rosca, P.; Shavit, Y. Neuropsychological functioning in major depression and responsiveness to selective serotonin reuptake inhibitors antidepressants. J. Affect. Disord. 2004, 82, 453–459. [Google Scholar] [CrossRef]
- Saliba, D.; DiFilippo, S.; Edelen, M.O.; Kroenke, K.; Buchanan, J.; Streim, J. Testing the PHQ-9 interview and observational versions (PHQ-9 OV) for MDS 3.0. J. Am. Med. Dir. Assoc. 2012, 13, 618–625. [Google Scholar] [CrossRef] [PubMed]
- Belanger, E.; Thomas, K.S.; Jones, R.N.; Epstein-Lubow, G.; Mor, V. Measurement validity of the Patient-Health Questionnaire-9 in US nursing home residents. Int. J. Geriatr. Psychiatry 2019, 34, 700–708. [Google Scholar] [CrossRef]
- Boyle, L.L.; Richardson, T.M.; He, H.; Xia, Y.; Tu, X.; Boustani, M.; Conwell, Y. How do the PHQ-2, the PHQ-9 perform in aging services clients with cognitive impairment? Int. J. Geriatr. Psychiatry 2011, 26, 952–960. [Google Scholar] [CrossRef] [PubMed]
- Wong, B.; Ismail, Z.; Goodarzi, Z. Detecting depression in persons living with mild cognitive impairment: A systematic review. Int. Psychogeriatr. 2022, 34, 453–465. [Google Scholar] [CrossRef]

Disclaimer/Publisher’s Note: The statements, opinions and data contained in all publications are solely those of the individual author(s) and contributor(s) and not of MDPI and/or the editor(s). MDPI and/or the editor(s) disclaim responsibility for any injury to people or property resulting from any ideas, methods, instructions or products referred to in the content. |
© 2025 by the authors. Licensee MDPI, Basel, Switzerland. This article is an open access article distributed under the terms and conditions of the Creative Commons Attribution (CC BY) license.
Share and Cite
Rao, R.V.; Boyd, A.; Okada, S.; Lipa, W.; Kelly, L.; Coward, C.; Bredesen, A.L.; Gregory, J.; Bredesen, D.E. Short-Term Changes in Depressive Symptoms Among Patients with Alzheimer’s Disease Following a Precision Medicine Intervention. Brain Sci. 2026, 16, 2. https://doi.org/10.3390/brainsci16010002
Rao RV, Boyd A, Okada S, Lipa W, Kelly L, Coward C, Bredesen AL, Gregory J, Bredesen DE. Short-Term Changes in Depressive Symptoms Among Patients with Alzheimer’s Disease Following a Precision Medicine Intervention. Brain Sciences. 2026; 16(1):2. https://doi.org/10.3390/brainsci16010002
Chicago/Turabian StyleRao, Rammohan V., Alan Boyd, Sho Okada, William Lipa, Lance Kelly, Christine Coward, Aida L. Bredesen, Julie Gregory, and Dale E. Bredesen. 2026. "Short-Term Changes in Depressive Symptoms Among Patients with Alzheimer’s Disease Following a Precision Medicine Intervention" Brain Sciences 16, no. 1: 2. https://doi.org/10.3390/brainsci16010002
APA StyleRao, R. V., Boyd, A., Okada, S., Lipa, W., Kelly, L., Coward, C., Bredesen, A. L., Gregory, J., & Bredesen, D. E. (2026). Short-Term Changes in Depressive Symptoms Among Patients with Alzheimer’s Disease Following a Precision Medicine Intervention. Brain Sciences, 16(1), 2. https://doi.org/10.3390/brainsci16010002

