Flow Diversion for Cerebral Aneurysms: A Decade-Long Experience with Improved Outcomes and Predictors of Success
Abstract
1. Introduction
2. Methods
2.1. Interventions and Follow-Up
2.2. Outcome Measures
2.3. Statistical Analyses
3. Results
4. Discussion
4.1. Comparison between Early and Recent Treatment Groups
4.2. Implications for Clinical Practice
4.3. Limitations
5. Conclusions
Author Contributions
Funding
Institutional Review Board Statement
Informed Consent Statement
Data Availability Statement
Conflicts of Interest
References
- Becske, T.; Kallmes, D.F.; Saatci, I.; McDougall, C.G.; Szikora, I.; Lanzino, G.; Moran, C.J.; Woo, H.H.; Lopes, D.K.; Berez, A.L.; et al. Pipeline for Uncoilable or Failed Aneurysms: Results from a Multicenter Clinical Trial. Radiology 2013, 267, 858–868. [Google Scholar] [CrossRef] [PubMed]
- Chancellor, B.; Raz, E.; Shapiro, M.; Tanweer, O.; Nossek, E.; Riina, H.A.; Nelson, P.K. Flow Diversion for Intracranial Aneurysm Treatment: Trials Involving Flow Diverters and Long-Term Outcomes. Neurosurgery 2020, 86, S36–S45. [Google Scholar] [CrossRef] [PubMed]
- Brinjikji, W.; Murad, M.H.; Lanzino, G.; Cloft, H.J.; Kallmes, D.F. Endovascular treatment of intracranial aneurysms with flow diverters: A meta-analysis. Stroke 2013, 44, 442–447. [Google Scholar] [CrossRef] [PubMed]
- Cagnazzo, F.; Lefevre, P.H.; Derraz, I.; Dargazanli, C.; Gascou, G.; di Carlo, D.T.; Perrini, P.; Ahmed, R.; Hak, J.F.; Riquelme, C.; et al. Flow-Diversion Treatment for Unruptured Nonsaccular Intracranial Aneurysms of the Posterior and Distal Anterior Circulation: A Meta-Analysis. AJNR Am. J. Neuroradiol. 2020, 41, 134–139. [Google Scholar] [CrossRef] [PubMed]
- Jee, T.K.; Yeon, J.Y.; Kim, K.H.; Kim, J.S.; Hong, S.C.; Jeon, P. Treatment Outcomes After Single-Device Flow Diversion for Large or Giant Aneurysms. World Neurosurg. 2021, 153, e36–e45. [Google Scholar] [CrossRef] [PubMed]
- Salem, M.M.; Sweid, A.; Kuhn, A.L.; Dmytriw, A.A.; Gomez-Paz, S.; Maragkos, G.A.; Waqas, M.; Parra-Farinas, C.; Salehani, A.; Adeeb, N.; et al. Repeat Flow Diversion for Cerebral Aneurysms Failing Prior Flow Diversion: Safety and Feasibility From Multicenter Experience. Stroke 2022, 53, 1178–1189. [Google Scholar] [CrossRef] [PubMed]
- Jee, T.K.; Yeon, J.Y.; Kim, K.H.; Kim, J.S.; Jeon, P. Evaluation of the Significance of Persistent Remnant Filling and Enlargement After Flow Diversion for Intracranial Aneurysms. World Neurosurg. 2024, 184, e144–e153. [Google Scholar] [CrossRef] [PubMed]
- Bender, M.T.; Colby, G.P.; Lin, L.M.; Jiang, B.; Westbroek, E.M.; Xu, R.; Campos, J.K.; Huang, J.; Tamargo, R.J.; Coon, A.L. Predictors of cerebral aneurysm persistence and occlusion after flow diversion: A single-institution series of 445 cases with angiographic follow-up. J. Neurosurg. 2018, 130, 259–267. [Google Scholar] [CrossRef] [PubMed]
- Oishi, H.; Teranishi, K.; Yatomi, K.; Fujii, T.; Yamamoto, M.; Arai, H. Flow Diverter Therapy Using a Pipeline Embolization Device for 100 Unruptured Large and Giant Internal Carotid Artery Aneurysms in a Single Center in a Japanese Population. Neurol. Med.-Chir. 2018, 58, 461–467. [Google Scholar] [CrossRef] [PubMed]
- Madaelil, T.P.; Grossberg, J.A.; Howard, B.M.; Cawley, C.M.; Dion, J.; Nogueira, R.G.; Haussen, D.C.; Tong, F.C. Aneurysm Remnants after Flow Diversion: Clinical and Angiographic Outcomes. AJNR Am. J. Neuroradiol. 2019, 40, 694–698. [Google Scholar] [CrossRef]
- Kallmes, D.F.; Brinjikji, W.; Boccardi, E.; Ciceri, E.; Diaz, O.; Tawk, R.; Woo, H.; Jabbour, P.; Albuquerque, F.; Chapot, R.; et al. Aneurysm Study of Pipeline in an Observational Registry (ASPIRe). Interv. Neurol. 2016, 5, 89–99. [Google Scholar] [CrossRef]
- Liu, J.M.; Zhou, Y.; Li, Y.; Li, T.; Leng, B.; Zhang, P.; Liang, G.; Huang, Q.; Yang, P.F.; Shi, H.; et al. Parent Artery Reconstruction for Large or Giant Cerebral Aneurysms Using the Tubridge Flow Diverter: A Multicenter, Randomized, Controlled Clinical Trial (PARAT). AJNR Am. J. Neuroradiol. 2018, 39, 807–816. [Google Scholar] [CrossRef]
- Martinez-Galdamez, M.; Lamin, S.M.; Lagios, K.G.; Liebig, T.; Ciceri, E.F.; Chapot, R.; Stockx, L.; Chavda, S.; Kabbasch, C.; Farago, G.; et al. Treatment of intracranial aneurysms using the pipeline flex embolization device with shield technology: Angiographic and safety outcomes at 1-year follow-up. J. Neurointerv. Surg. 2019, 11, 396–399. [Google Scholar] [CrossRef]
- Jee, T.K.; Yeon, J.Y.; Kim, K.H.; Kim, J.S.; Hong, S.C.; Jeon, P. Early clinical experience of using the Surpass Evolve flow diverter in the treatment of intracranial aneurysms. Neuroradiology 2022, 64, 343–351. [Google Scholar] [CrossRef]
- Bonney, P.A.; Connor, M.; Fujii, T.; Singh, P.; Koch, M.J.; Stapleton, C.J.; Mack, W.J.; Walcott, B.P. Failure of Flow Diverter Therapy: Predictors and Management Strategies. Neurosurgery 2020, 86, S64–S73. [Google Scholar] [CrossRef] [PubMed]
- Bae, H.J.; Park, Y.K.; Cho, D.Y.; Choi, J.H.; Kim, B.S.; Shin, Y.S. Predictors of the Effects of Flow Diversion in Very Large and Giant Aneurysms. AJNR Am. J. Neuroradiol. 2021, 42, 1099–1103. [Google Scholar] [CrossRef]
- Rouchaud, A.; Brinjikji, W.; Lanzino, G.; Cloft, H.J.; Kadirvel, R.; Kallmes, D.F. Delayed hemorrhagic complications after flow diversion for intracranial aneurysms: A literature overview. Neuroradiology 2016, 58, 171–177. [Google Scholar] [CrossRef] [PubMed]
- Daou, B.; Atallah, E.; Chalouhi, N.; Starke, R.M.; Oliver, J.; Montano, M.; Jabbour, P.; Rosenwasser, R.H.; Tjoumakaris, S.I. Aneurysms with persistent filling after failed treatment with the Pipeline embolization device. J. Neurosurg. 2018, 130, 1376–1382. [Google Scholar] [CrossRef] [PubMed]
- Issa, R.; Al-Homedi, Z.; Syed, D.H.; Aziz, W.; Al-Omari, B. Surpass Evolve Flow Diverter for the Treatment of Intracranial Aneurysm: A Systematic Review. Brain Sci. 2022, 12, 810. [Google Scholar] [CrossRef] [PubMed]
- Acerbi, F.; Mazzapicchi, E.; Falco, J.; Vetrano, I.G.; Restelli, F.; Faragò, G.; La Corte, E.; Bonomo, G.; Bersano, A.; Canavero, I.; et al. The Role of Bypass Surgery for the Management of Complex Intracranial Aneurysms in the Anterior Circulation in the Flow-Diverter Era: A Single-Center Series. Brain Sci. 2022, 12, 1339. [Google Scholar] [CrossRef] [PubMed]


| Age (year) | 59.4 ± 12.9 |
| Female | 82 (67.8%) |
| Previous treatment | |
| -No | 113 (93.4%) |
| -Clipping | 2 (1.7%) |
| -Distal occlusion, Bypass | 1 (0.8%) |
| -Multiple stents | 1 (0.8%) |
| -Coil embolization | 4 (3.3%) |
| Anterior circulation | 85 (70.2%) |
| Location | |
| -ICA | 75 (62.0%) |
| -ACA | 4 (3.3%) |
| -MCA | 6 (5.0%) |
| -PCA | 1 (0.8%) |
| -BA | 6 (5.0%) |
| -VA | 29 (24.0%) |
| Non-saccular type | 76 (62.8%) |
| Aneurysm diameter (mm) | 15.2 ± 7.0 |
| -<10 | 24 (19.8%) |
| -10–25 | 82 (67.8%) |
| -≥25 | 15 (12.4%) |
| Neck diameter (mm) | 8.9 ± 4.8 |
| Incorporated branch | 33 (27.3%) |
| Pre-treatment mRS | |
| -0 | 112 (92.6%) |
| -1 | 8 (6.6%) |
| -2 | 1 (0.8%) |
| Pre-treatment DAPT | |
| -On DAPT | 4 (3.3%) |
| -Loading dose | 8 (6.6%) |
| -Scheduled | 109 (90.1%) |
| Pre-treatment DAPT regimen | |
| -Aspirin + Cilostazol | 1 (0.8%) |
| -Aspirin + Clopidogrel | 120 (99.2%) |
| ARU | 445.4 ± 67.7 |
| PRU | 177.4 ± 69.5 |
| Post-treatment DAPT | |
| -Aspirin + Cilostazol | 1 (0.8%) |
| -Aspirin + Clopidogrel | 99 (81.8%) |
| -Aspirin + Ticlopidine | 21 (17.4%) |
| Device | |
| -Surpass Flow Diverter, Evolve | 67 (55.4%) |
| -Surpass Flow Diverter, Streamline | 31 (25.6%) |
| -Pipeline Embolization Device, Flex | 22 (18.2%) |
| -Derivo Embolization Device | 1 (0.8%) |
| Additional coil | 3 (2.5%) |
| Number of fow diverters used | |
| -1 | 116 (95.9%) |
| -2 | 5 (4.1%) |
| Balloon angioplasty | 40 (33.1%) |
| Procedure time (min) | 91.1 ± 44.9 |
| Angiographic follow-up (month) | 26.0 ± 19.0 |
| Clinical follow-up (month) | 29.5 ± 22.2 |
| Complete aneurysm occlusion * | 88 (72.7%) |
| Safety outcomes | 11 (9.1%) |
| Hemorrhagic stroke | 4 (3.3%) |
| Delayed RIPH | 2 (1.7%) |
| Delayed rupture, SAH | 2 (1.6%) |
| Major ischemic stroke † | 4 (3.3%) |
| Downstream embolic infarction | 1 (0.8%) |
| Covered perforator territory infarction | 1 (0.8%) |
| Stent thrombosis | 2 (1.7%) |
| Stent thrombosis without infarction | 2 (1.7%) |
| Sudden death, unknown cause | 1 (0.8%) |
| Aneurysm enlargement ‡ | 14 (11.6%) |
| Unfavorable functional outcome § | 5 (4.1%) |
| Complete Aneurysm Occlusion * | ||||||
|---|---|---|---|---|---|---|
| Univariate Analysis | Multivariate Analysis | |||||
| p Value | OR | 95% CI | p Value | OR | 95% CI | |
| Age | 0.311 | 0.98 | 0.95–1.01 | |||
| Male | 0.552 | 0.77 | 0.34–1.83 | |||
| Posterior circulation | 0.158 | 0.54 | 0.23–1.28 | 0.584 | 0.71 | 0.21–2.51 |
| Non-saccular type | 0.048 | 0.44 | 0.19–0.99 | 0.663 | 1.32 | 0.39–4.74 |
| Aneurysm diameter | <0.001 | 0.89 | 0.83–0.95 | 0.009 | 0.89 | 0.82–0.97 |
| Neck diameter | 0.001 | 0.85 | 0.77–0.94 | 0.415 | 0.94 | 0.81–1.08 |
| Incorporated branch | 0.002 | 0.25 | 0.11–0.60 | 0.003 | 0.22 | 0.08–0.59 |
| Number of flow diverters used | 0.52 | 0.55 | 0.09–4.30 | |||
| Safety Outcomes † | ||||||
| Univariate analysis | Multivariate analysis | |||||
| p value | OR | 95% CI | p value | OR | 95% CI | |
| Age | 0.555 | 1.02 | 0.97–1.07 | |||
| Male | 0.759 | 1.22 | 0.30–4.33 | |||
| Posterior circulation | 0.850 | 0.88 | 0.18–3.24 | |||
| Non-saccular type | 0.220 | 2.18 | 0.62–8.02 | |||
| Aneurysm diameter | <0.001 | 1.20 | 1.09–1.34 | 0.001 | 1.21 | 1.09–1.37 |
| Neck diameter | 0.068 | 1.10 | 0.99–1.23 | 0.702 | 0.98 | 0.85–1.11 |
| Incorporated branch | 0.483 | 0.57 | 0.08–2.35 | |||
| Number of flow diverters used | 0.403 | 2.65 | 0.13–20.22 | |||
| Hemorrhagic and Major Ischemic Stroke | ||||||
| Univariate analysis | Multivariate analysis | |||||
| p value | OR | 95% CI | p value | OR | 95% CI | |
| Age | 0.812 | 1.01 | 0.95–1.07 | |||
| Male | 0.652 | 0.68 | 0.10–3.14 | |||
| Posterior circulation | 0.293 | 0.32 | 0.02–1.89 | |||
| Non-saccular type | 0.443 | 1.76 | 0.40–7.79 | |||
| Aneurysm diameter | 0.003 | 1.18 | 1.06–1.33 | 0.003 | 1.18 | 1.06–1.33 |
| Neck diameter | 0.477 | 1.05 | 0.90–1.18 | |||
| Incorporated branch | 0.881 | 0.88 | 0.12–4.07 | |||
| Number of flow diverters used | 0.251 | 3.89 | 0.19–31.23 | |||
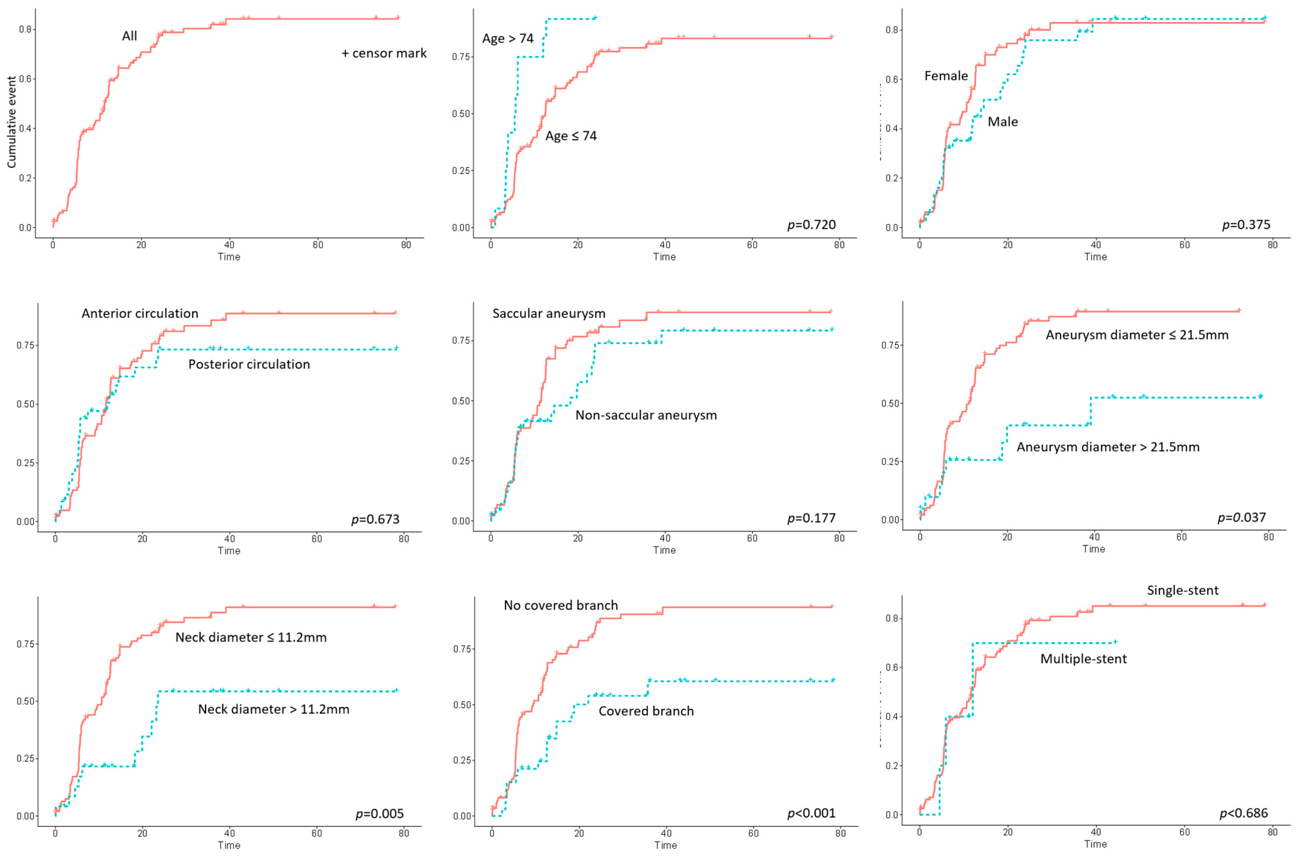
| Univariate Analysis | Multivariate Analysis | |||||
|---|---|---|---|---|---|---|
| p Value | HR | 95% CI | p Value | HR | 95% CI | |
| Age | 0.720 | 1.00 | 0.98–1.01 | |||
| Male | 0.375 | 0.81 | 0.52–1.28 | |||
| Posterior circulation | 0.673 | 0.90 | 0.56–1.45 | |||
| Non-saccular type | 0.177 | 0.73 | 0.47–1.15 | |||
| Aneurysm diameter | 0.037 | 0.97 | 0.94–1.00 | |||
| Neck diameter | 0.006 | 0.93 | 0.88–0.98 | 0.009 | 0.92 | 0.87–0.98 |
| Incorporated branch | 0.001 | 0.39 | 0.23–0.66 | 0.001 | 0.40 | 0.24–0.69 |
| Multiple flow diverters use | 0.686 | 0.79 | 0.25–2.25 | |||
| Total | Early Group | Recent Group | p Value | |
|---|---|---|---|---|
| (n = 121) | (n = 47) | (n = 74) | ||
| Age (year) | 59.1 ± 13.0 | 58.7 ± 14.2 | 59.3 ± 12.2 | 0.803 |
| Female | 82 (67.8%) | 23 (48.9%) | 59 (79.7%) | 0.001 |
| Anterior circulation | 85 (70.2%) | 29 (61.7%) | 56 (75.7%) | 0.151 |
| Location | 0.058 | |||
| -ICA | 75 (62.0%) | 22 (46.8%) | 53 (71.6%) | |
| -ACA | 4 (3.3%) | 3 (6.4%) | 1 (1.4%) | |
| -MCA | 6 (5.0%) | 4 (8.5%) | 2 (2.7%) | |
| -PCA | 1 (0.8%) | 1 (2.1%) | 0 (0.0%) | |
| -BA | 6 (5.0%) | 2 (4.3%) | 4 (5.4%) | |
| -VA | 29 (24.0%) | 15 (31.9%) | 14 (18.9%) | |
| Non-saccular type | 45 (37.2%) | 25 (53.2%) | 20 (27.0%) | 0.007 |
| Aneurysm diameter (mm) | 15.2 ± 7.0 | 19.3 ± 6.2 | 12.6 ± 6.3 | <0.001 |
| Neck diameter (mm) | 8.9 ± 4.8 | 10.3 ± 5.3 | 7.9 ± 4.1 | 0.005 |
| Incorporated branch | 33 (27.3%) | 17 (36.2%) | 16 (21.6%) | 0.123 |
| Device | <0.001 | |||
| -Surpass Flow Diverter, Streamline | 31 (25.6%) | 31 (66.0%) | 0 (0.0%) | |
| -Pipeline Embolization Device, Flex | 22 (18.2%) | 13 (27.7%) | 9 (12.2%) | |
| -Surpass Flow Diverter, Evolve | 67 (55.4%) | 3 (6.4%) | 64 (86.5%) | |
| -Derivo Embolization Device | 1 (0.8%) | 0 (0.0%) | 1 (1.4%) | |
| Balloon angioplasty | 40 (33.1%) | 22 (46.8%) | 18 (24.3%) | 0.018 |
| Procedure time (min) | 91.1 ± 44.9 | 113.4 ± 52.8 | 77.0 ± 32.2 | <0.001 |
| Complete aneurysm occlusion * | 88 (72.7%) | 29 (61.7%) | 59 (79.7%) | 0.050 |
| Aneurysm enlargement † | 14 (11.6%) | 12 (25.5%) | 2 (2.7%) | <0.001 |
| Safety outcomes ‡ | 11 (9.1%) | 8 (17.0%) | 3 (4.1%) | 0.036 |
| All stroke | 8 (6.6%) | 7 (14.9%) | 1 (1.4%) | 0.011 |
| -Hemorrhagic stroke | 4 (3.3%) | 4 (8.5%) | 0 (0.0%) | 0.042 |
| -Major ischemic stroke § | 4 (3.3%) | 3 (6.4%) | 1 (1.4%) | 0.324 |
Disclaimer/Publisher’s Note: The statements, opinions and data contained in all publications are solely those of the individual author(s) and contributor(s) and not of MDPI and/or the editor(s). MDPI and/or the editor(s) disclaim responsibility for any injury to people or property resulting from any ideas, methods, instructions or products referred to in the content. |
© 2024 by the authors. Licensee MDPI, Basel, Switzerland. This article is an open access article distributed under the terms and conditions of the Creative Commons Attribution (CC BY) license (https://creativecommons.org/licenses/by/4.0/).
Share and Cite
Jee, T.K.; Yeon, J.Y.; Kim, K.H.; Kim, J.-S.; Jeon, P. Flow Diversion for Cerebral Aneurysms: A Decade-Long Experience with Improved Outcomes and Predictors of Success. Brain Sci. 2024, 14, 847. https://doi.org/10.3390/brainsci14080847
Jee TK, Yeon JY, Kim KH, Kim J-S, Jeon P. Flow Diversion for Cerebral Aneurysms: A Decade-Long Experience with Improved Outcomes and Predictors of Success. Brain Sciences. 2024; 14(8):847. https://doi.org/10.3390/brainsci14080847
Chicago/Turabian StyleJee, Tae Keun, Je Young Yeon, Keon Ha Kim, Jong-Soo Kim, and Pyoung Jeon. 2024. "Flow Diversion for Cerebral Aneurysms: A Decade-Long Experience with Improved Outcomes and Predictors of Success" Brain Sciences 14, no. 8: 847. https://doi.org/10.3390/brainsci14080847
APA StyleJee, T. K., Yeon, J. Y., Kim, K. H., Kim, J.-S., & Jeon, P. (2024). Flow Diversion for Cerebral Aneurysms: A Decade-Long Experience with Improved Outcomes and Predictors of Success. Brain Sciences, 14(8), 847. https://doi.org/10.3390/brainsci14080847

