A Comparative Study on Cognitive Assessment in Cerebellar and Supratentorial Stroke
Abstract
1. Introduction
2. Materials and Methods
2.1. Participants
2.2. Demographics and Clinical Data Collection
2.3. Cognitive Data Collection
2.4. Statistical Analysis
3. Results
3.1. Demographic and Clinical Characteristics
3.2. Global Cognitive Performance among Three Groups
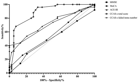
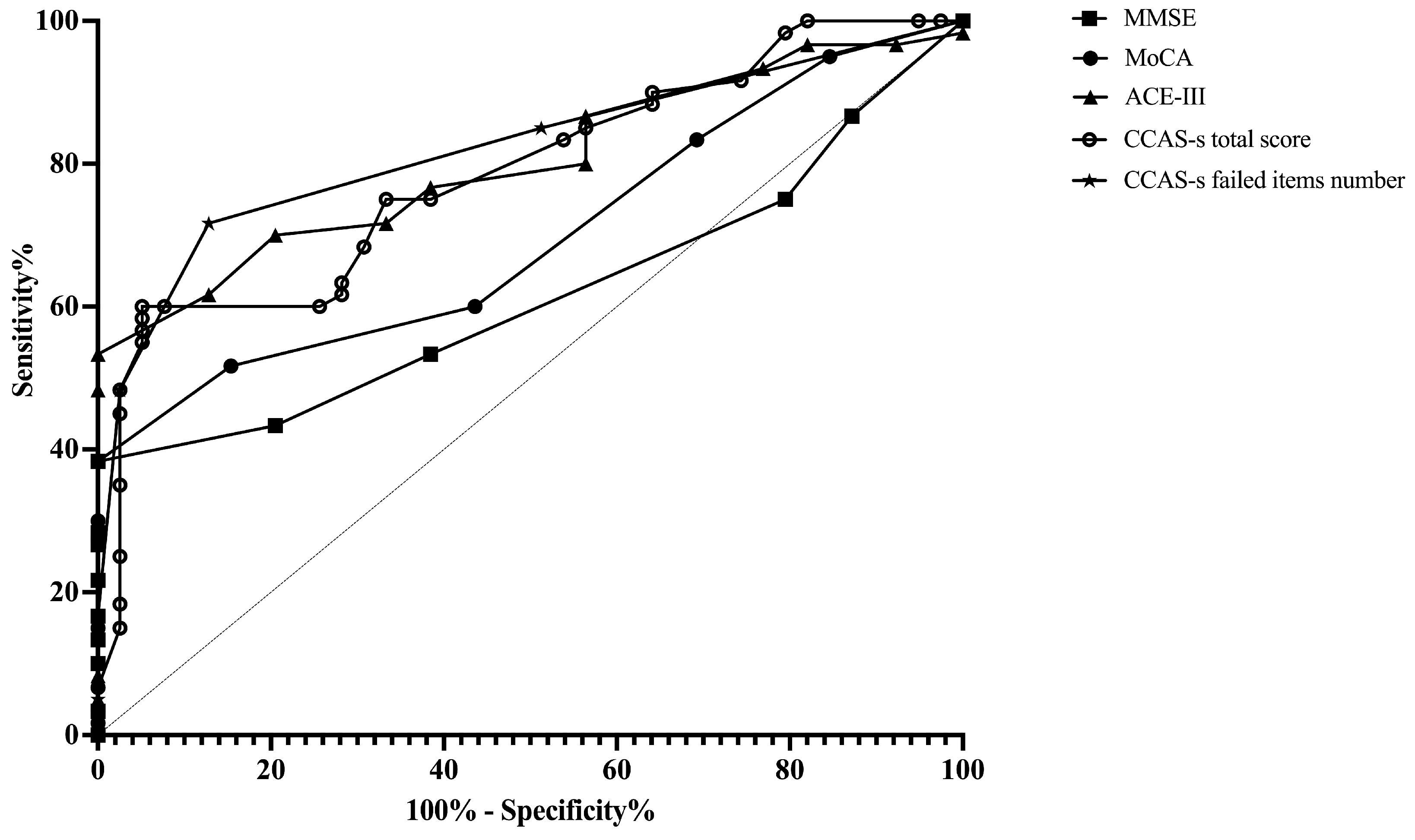
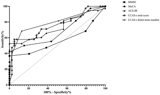
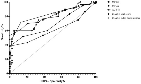
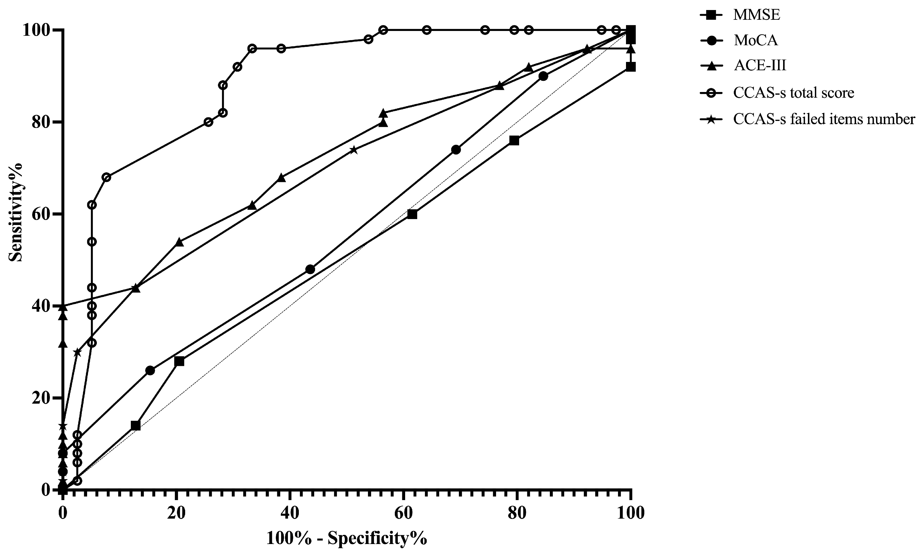
3.3. Discriminative Ability of Different Scales to Differentiate Patients from Cognitively Normal Group
3.4. Comparison of Cognitive Domain Impairment Characteristics among Groups
3.5. Sensitivity Analysis: Comparing Cognitive Function between Patients with Cerebellar Infarctions and Frontal Infarctions
4. Discussion
5. Conclusions
Supplementary Materials
Author Contributions
Funding
Institutional Review Board Statement
Informed Consent Statement
Data Availability Statement
Acknowledgments
Conflicts of Interest
References
- Argyropoulos, G.; van Dun, K.; Adamaszek, M.; Leggio, M.; Manto, M.; Masciullo, M.; Molinari, M.; Stoodley, C.; Van Overwalle, F.; Ivry, R.; et al. The Cerebellar Cognitive Affective/Schmahmann Syndrome: A Task Force Paper. Cerebellum 2020, 19, 102–125. [Google Scholar] [CrossRef]
- Schmahmann, J.; Sherman, J. The cerebellar cognitive affective syndrome. Brain 1998, 121 Pt 4, 561–579. [Google Scholar] [CrossRef] [PubMed]
- Hokkanen, L.; Kauranen, V.; Roine, R.; Salonen, O.; Kotila, M. Subtle cognitive deficits after cerebellar infarcts. Eur. J. Neurol. 2006, 13, 161–170. [Google Scholar] [CrossRef] [PubMed]
- Starowicz-Filip, A.; Prochwicz, K.; Kłosowska, J.; Chrobak, A.A.; Krzyżewski, R.; Myszka, A.; Rajtar-Zembaty, A.; Bętkowska-Korpała, B.; Kwinta, B. Is Addenbrooke’s Cognitive Examination III Sensitive Enough to Detect Cognitive Dysfunctions in Patients with Focal Cerebellar Lesions? Arch. Clin. Neuropsychol. 2022, 37, 423–436. [Google Scholar] [CrossRef]
- Kalashnikova, L.; Zueva, Y.; Pugacheva, O.; Korsakova, N. Cognitive impairments in cerebellar infarcts. Neurosci. Behav. Physiol. 2005, 35, 773–779. [Google Scholar] [CrossRef] [PubMed]
- Craig, B.; Morrill, A.; Anderson, B.; Danckert, J.; Striemer, C.L. Cerebellar lesions disrupt spatial and temporal visual attention. Cortex 2021, 139, 27–42. [Google Scholar] [CrossRef] [PubMed]
- Ziemus, B.; Baumann, O.; Luerding, R.; Schlosser, R.; Schuierer, G.; Bogdahn, U.; Greenlee, M.J.N. Impaired working-memory after cerebellar infarcts paralleled by changes in BOLD signal of a cortico-cerebellar circuit. Neuropsychologia 2007, 45, 2016–2024. [Google Scholar] [CrossRef]
- Tedesco, A.; Chiricozzi, F.; Clausi, S.; Lupo, M.; Molinari, M.; Leggio, M. The cerebellar cognitive profile. Brain 2011, 134, 3672–3686. [Google Scholar] [CrossRef] [PubMed]
- Silveri, M.; Di Betta, A.; Filippini, V.; Leggio, M.; Molinari, M. Verbal short-term store-rehearsal system and the cerebellum. Evidence from a patient with a right cerebellar lesion. Brain 1998, 121, 2175–2187. [Google Scholar] [CrossRef]
- Manes, F.; Villamil, A.; Ameriso, S.; Roca, M.; Torralva, T. “Real life” executive deficits in patients with focal vascular lesions affecting the cerebellum. J. Neurol. Sci. 2009, 283, 95–98. [Google Scholar] [CrossRef]
- Neau, J.P.; Arroyo-Anllo, E.; Bonnaud, V.; Ingrand, P.; Gil, R. Neuropsychological disturbances in cerebellar infarcts. Acta Neurol. Scand. 2000, 102, 363–370. [Google Scholar] [CrossRef]
- Alexander, M.P.; Gillingham, S.; Schweizer, T.; Stuss, D.T. Cognitive impairments due to focal cerebellar injuries in adults. Cortex 2012, 48, 980–990. [Google Scholar] [CrossRef] [PubMed]
- Koziol, L.F.; Budding, D.E.; Chidekel, D. From movement to thought: Executive function, embodied cognition, and the cerebellum. Cerebellum 2012, 11, 505–525. [Google Scholar] [CrossRef] [PubMed]
- Wang, D.; Yao, Q.; Yu, M.; Xiao, C.; Fan, L.; Lin, X.; Zhu, D.; Tian, M.; Shi, J. Topological Disruption of Structural Brain Networks in Patients With Cognitive Impairment Following Cerebellar Infarction. Front. Neurol. 2019, 10, 759. [Google Scholar] [CrossRef]
- Li, W.; Li, Y.; Chen, Y.; Yue, L.; Xiao, S. Association between physical exercise, executive function, and cerebellar cortex: A cross-sectional study among the elderly in Chinese communities. Front. Aging Neurosci. 2022, 14, 975329. [Google Scholar] [CrossRef] [PubMed]
- Myers, P.S.; McNeely, M.E.; Koller, J.M.; Earhart, G.M.; Campbell, M.C. Cerebellar Volume and Executive Function in Parkinson Disease with and without Freezing of Gait. J. Parkinsons Dis. 2017, 7, 149–157. [Google Scholar] [CrossRef] [PubMed]
- Clark, S.V.; Tannahill, A.; Calhoun, V.D.; Bernard, J.A.; Bustillo, J.; Turner, J.A. Weaker Cerebellocortical Connectivity Within Sensorimotor and Executive Networks in Schizophrenia Compared to Healthy Controls: Relationships with Processing Speed. Brain Connect 2020, 10, 490–503. [Google Scholar] [CrossRef]
- Luo, X.; Chen, G.; Jia, Y.; Gong, J.; Qiu, S.; Zhong, S.; Zhao, L.; Chen, F.; Lai, S.; Qi, Z.; et al. Disrupted Cerebellar Connectivity With the Central Executive Network and the Default-Mode Network in Unmedicated Bipolar II Disorder. Front. Psychiatry 2018, 9, 705. [Google Scholar] [CrossRef]
- Gao, J.; Tang, X.; Wang, C.; Yu, M.; Sha, W.; Wang, X.; Zhang, H.; Zhang, X.; Zhang, X. Aberrant cerebellar neural activity and cerebro-cerebellar functional connectivity involving executive dysfunction in schizophrenia with primary negative symptoms. Brain Imaging Behav. 2020, 14, 869–880. [Google Scholar] [CrossRef]
- Caulfield, M.D.; Zhu, D.C.; McAuley, J.D.; Servatius, R.J. Individual differences in resting-state functional connectivity with the executive network: Support for a cerebellar role in anxiety vulnerability. Brain Struct. Funct. 2016, 221, 3081–3093. [Google Scholar] [CrossRef]
- Rice, L.C.; Langan, M.T.; Cheng, D.T.; Sheu, Y.S.; Peterburs, J.; Hua, J.; Qin, Q.; Rilee, J.J.; Faulkner, M.L.; Mathena, J.R.; et al. Disrupted executive cerebro-cerebellar functional connectivity in alcohol use disorder. Alcohol. Clin. Exp. Res. 2024, 48, 33–47. [Google Scholar] [CrossRef] [PubMed]
- Sahel, A.; Ceschin, R.; Badaly, D.; Lewis, M.; Lee, V.K.; Wallace, J.; Weinberg, J.; Schmithorst, V.; Lo, C.; Panigrahy, A. Increased Cerebello-Prefrontal Connectivity Predicts Poor Executive Function in Congenital Heart Disease. J. Clin. Med. 2023, 12, 5264. [Google Scholar] [CrossRef] [PubMed]
- Badaly, D.; Beers, S.R.; Ceschin, R.; Lee, V.K.; Sulaiman, S.; Zahner, A.; Wallace, J.; Berdaa-Sahel, A.; Burns, C.; Lo, C.W.; et al. Cerebellar and Prefrontal Structures Associated With Executive Functioning in Pediatric Patients With Congenital Heart Defects. Front. Neurol. 2022, 13, 827780. [Google Scholar] [CrossRef] [PubMed]
- Semmel, E.S.; Dotson, V.M.; Burns, T.G.; Mahle, W.T.; King, T.Z. Posterior Cerebellar Volume and Executive Function in Young Adults With Congenital Heart Disease. J. Int. Neuropsychol. Soc. 2018, 24, 939–948. [Google Scholar] [CrossRef]
- Schmahmann, J.; Guell, X.; Stoodley, C.; Halko, M. The Theory and Neuroscience of Cerebellar Cognition. Annu. Rev. Neurosci. 2019, 42, 337–364. [Google Scholar] [CrossRef] [PubMed]
- Guell, X.; Schmahmann, J.; Gabrieli, J.; Ghosh, S. Functional gradients of the cerebellum. eLife 2018, 7, e36652. [Google Scholar] [CrossRef] [PubMed]
- Taskiran-Sag, A.; Uzuncakmak Uyanik, H.; Uyanik, S.; Oztekin, N. Prospective investigation of cerebellar cognitive affective syndrome in a previously non-demented population of acute cerebellar stroke. J. Stroke Cerebrovasc. Dis. 2020, 29, 104923. [Google Scholar] [CrossRef] [PubMed]
- Fischer, U.; Baumgartner, A.; Arnold, M.; Nedeltchev, K.; Gralla, J.; De Marchis, G.M.; Kappeler, L.; Mono, M.L.; Brekenfeld, C.; Schroth, G.; et al. What is a minor stroke? Stroke 2010, 41, 661–666. [Google Scholar] [CrossRef] [PubMed]
- Trouillas, P.; Takayanagi, T.; Hallett, M.; Currier, R.; Subramony, S.; Wessel, K.; Bryer, A.; Diener, H.; Massaquoi, S.; Gomez, C.; et al. International Cooperative Ataxia Rating Scale for pharmacological assessment of the cerebellar syndrome. The Ataxia Neuropharmacology Committee of the World Federation of Neurology. J. Neurol. Sci. 1997, 145, 205–211. [Google Scholar] [CrossRef]
- Tyson, S.; DeSouza, L. Development of the Brunel Balance Assessment: A new measure of balance disability post stroke. Clin. Rehabil. 2004, 18, 801–810. [Google Scholar] [CrossRef]
- Zung, W.W. The Depression Status Inventory: An adjunct to the Self-Rating Depression Scale. J. Clin. Psychol. 1972, 28, 539–543. [Google Scholar] [CrossRef]
- Merz, W.A.; Ballmer, U. Demographic factors influencing psychiatric rating scales (Zung SDS and SAS). Pharmacopsychiatry 1984, 17, 50–56. [Google Scholar] [CrossRef]
- Tang, W.; Chan, S.; Chiu, H.; Wong, K.; Kwok, T.; Mok, V.; Ungvari, G. Can IQCODE detect poststroke dementia? Int. J. Geriatr. Psychiatry 2003, 18, 706–710. [Google Scholar] [CrossRef] [PubMed]
- Katzman, R.; Zhang, M.Y.; Ouang Ya, Q.; Wang, Z.Y.; Liu, W.T.; Yu, E.; Wong, S.C.; Salmon, D.P.; Grant, I. A Chinese version of the Mini-Mental State Examination; impact of illiteracy in a Shanghai dementia survey. J. Clin. Epidemiol. 1988, 41, 971–978. [Google Scholar] [CrossRef] [PubMed]
- Hobson, J. The Montreal Cognitive Assessment (MoCA). Occup. Med. 2015, 65, 764–765. [Google Scholar] [CrossRef]
- Li, X.; Yang, L.; Yin, J.; Yu, N.; Ye, F. Validation Study of the Chinese Version of Addenbrooke’s Cognitive Examination III for Diagnosing Mild Cognitive Impairment and Mild Dementia. J. Clin. Neurol. 2019, 15, 313–320. [Google Scholar] [CrossRef]
- Hoche, F.; Guell, X.; Vangel, M.; Sherman, J.; Schmahmann, J. The cerebellar cognitive affective/Schmahmann syndrome scale. Brain J. Neurol. 2018, 141, 248–270. [Google Scholar] [CrossRef] [PubMed]
- Liu, Q.; Liu, C.; Nan, S.; Wang, P.; Zhang, Y.; Chen, Y. Recognition of Cognitive Dysfunction in Cerebellar Infarction: Validation of the Chinese Cerebellar Cognitive Affective Syndrome Scale. 13 June 2023, PREPRINT (Version 1); Available at Research Square. Available online: https://www.researchsquare.com/article/rs-3054967/v1 (accessed on 13 June 2023).
- Goff, M.; Ackerman, L. Personality-intelligence relations: Assessment of typical intellectual engagement. J. Educ. Psychol. 1992, 84, 537–552. [Google Scholar] [CrossRef]
- Loring, J.; Christopher, B. An Empirical Approach to Determining Criteria for Abnormality in Test Batteries With Multiple Measures. Neuropsychology 1996, 10, 120–124. [Google Scholar]
- Siddiqi, S.H.; Kording, K.P.; Parvizi, J.; Fox, M.D. Causal mapping of human brain function. Nat. Rev. Neurosci. 2022, 23, 361–375. [Google Scholar] [CrossRef]
- Schmahmann, J.D. The cerebrocerebellar system: Anatomic substrates of the cerebellar contribution to cognition and emotion. Int. Rev. Psychiatry 2001, 13, 247–260. [Google Scholar] [CrossRef]
- D’Angelo, E.; Mapelli, L.; Casellato, C.; Garrido, J.A.; Luque, N.; Monaco, J.; Prestori, F.; Pedrocchi, A.; Ros, E. Distributed Circuit Plasticity: New Clues for the Cerebellar Mechanisms of Learning. Cerebellum 2016, 15, 139–151. [Google Scholar] [CrossRef] [PubMed]
- Brandt, J.; Leroi, I.; O’Hearn, E.; Rosenblatt, A.; Margolis, R.L. Cognitive impairments in cerebellar degeneration: A comparison with Huntington’s disease. J. Neuropsychiatry Clin. Neurosci. 2004, 16, 176–184. [Google Scholar] [CrossRef] [PubMed]
- King, M.; Hernandez-Castillo, C.R.; Poldrack, R.A.; Ivry, R.B.; Diedrichsen, J. Functional boundaries in the human cerebellum revealed by a multi-domain task battery. Nat. Neurosci. 2019, 22, 1371–1378. [Google Scholar] [CrossRef] [PubMed]
- Fan, L.; Hu, J.; Ma, W.; Wang, D.; Yao, Q.; Shi, J. Altered baseline activity and connectivity associated with cognitive impairment following acute cerebellar infarction: A resting-state fMRI study. Neurosci. Lett. 2019, 692, 199–203. [Google Scholar] [CrossRef] [PubMed]
- Schmahmann, J.D. An emerging concept. The cerebellar contribution to higher function. Arch. Neurol. 1991, 48, 1178–1187. [Google Scholar] [CrossRef] [PubMed]
- Rodríguez-Labrada, R.; Batista-Izquierdo, A.; González-Melix, Z.; Reynado-Cejas, L.; Vázquez-Mojena, Y.; Sanz, Y.; Canales-Ochoa, N.; González-Zaldívar, Y.; Dogan, I.; Reetz, K.; et al. Cognitive Decline Is Closely Associated with Ataxia Severity in Spinocerebellar Ataxia Type 2: A Validation Study of the Schmahmann Syndrome Scale. Cerebellum 2021, 21, 391–403. [Google Scholar] [CrossRef] [PubMed]
- de Oliveira Scott, S.S.; Pedroso, J.L.; Elias, V.V.; Nóbrega, P.R.; Sobreira, E.S.T.; de Almeida, M.P.; Gama, M.T.D.; Massuyama, B.K.; Barsottini, O.G.P.; Frota, N.A.F.; et al. Translation, Cross-Cultural Adaptation, and Validation to Brazilian Portuguese of the Cerebellar Cognitive Affective/Schmahmann Syndrome Scale. Cerebellum 2022, 22, 282–294. [Google Scholar] [CrossRef] [PubMed]
- Maas, R.; Killaars, S.; van de Warrenburg, B.; Schutter, D. The cerebellar cognitive affective syndrome scale reveals early neuropsychological deficits in SCA3 patients. J. Neurol. 2021, 268, 3456–3466. [Google Scholar] [CrossRef]
- Thieme, A.; Faber, J.; Sulzer, P.; Reetz, K.; Dogan, I.; Barkhoff, M.; Krahe, J.; Jacobi, H.; Aktories, J.; Minnerop, M.; et al. The CCAS-scale in hereditary ataxias: Helpful on the group level, particularly in SCA3, but limited in individual patients. J. Neurol. 2022, 269, 4363–4374. [Google Scholar] [CrossRef]
- Stephen, C.; Balkwill, D.; James, P.; Haxton, E.; Sassower, K.; Schmahmann, J.; Eichler, F.; Lewis, R. Quantitative oculomotor and nonmotor assessments in late-onset GM2 gangliosidosis. Neurology 2020, 94, e705–e717. [Google Scholar] [CrossRef] [PubMed]
- Hoffmann, M.; Schmitt, F.; Bromley, E. Vascular cognitive syndromes: Relation to stroke etiology and topography. Acta Neurol. Scand. 2009, 120, 161–169. [Google Scholar] [CrossRef] [PubMed]
- Vitturi, B.K.; Mitre, L.P.; Kim, A.I.H.; Gagliardi, R.J. Prevalence and Predictors of Fatigue and Neuropsychiatric Symptoms in Patients with Minor Ischemic Stroke. J. Stroke Cerebrovasc. Dis. 2021, 30, 105964. [Google Scholar] [CrossRef] [PubMed]
- Arevalo-Rodriguez, I.; Smailagic, N.; Roqué, I.F.M.; Ciapponi, A.; Sanchez-Perez, E.; Giannakou, A.; Pedraza, O.L.; Bonfill Cosp, X.; Cullum, S. Mini-Mental State Examination (MMSE) for the detection of Alzheimer’s disease and other dementias in people with mild cognitive impairment (MCI). Cochrane Database Syst. Rev. 2015, 7, Cd010783. [Google Scholar]
- Dong, Y.; Sharma, V.K.; Chan, B.P.; Venketasubramanian, N.; Teoh, H.L.; Seet, R.C.; Tanicala, S.; Chan, Y.H.; Chen, C. The Montreal Cognitive Assessment (MoCA) is superior to the Mini-Mental State Examination (MMSE) for the detection of vascular cognitive impairment after acute stroke. J. Neurol. Sci. 2010, 299, 15–18. [Google Scholar] [CrossRef] [PubMed]
- Hsieh, S.; Schubert, S.; Hoon, C.; Mioshi, E.; Hodges, J.R. Validation of the Addenbrooke’s Cognitive Examination III in frontotemporal dementia and Alzheimer’s disease. Dement. Geriatr. Cogn. Disord. 2013, 36, 242–250. [Google Scholar] [CrossRef] [PubMed]
- Tombaugh, T. Trail Making Test A and B: Normative data stratified by age and education. Arch. Clin. Neuropsychol. 2004, 19, 203–214. [Google Scholar] [CrossRef] [PubMed]
- Peak, A.M.; Marceaux, J.C.; Chicota-Carroll, C.; Soble, J.R. Cross-validation of the Trail Making Test as a non-memory-based embedded performance validity test among veterans with and without cognitive impairment. J. Clin. Exp. Neuropsychol. 2024, 46, 16–24. [Google Scholar] [CrossRef] [PubMed]
- Wechsler, D. WAIS-III Administration and Scoring Manual; Psychological Corporation: San Antonio, TX, USA, 1997. [Google Scholar]
- Wechsler, D. Wechsler Memory Scale (WMS-III), 3rd ed.; Psychological Corp.: London, UK, 1998. [Google Scholar]
- Leung, J.L.; Lee, G.T.; Lam, Y.H.; Chan, R.C.; Wu, J.Y. The use of the Digit Span Test in screening for cognitive impairment in acute medical inpatients. Int. Psychogeriatr. 2011, 23, 1569–1574. [Google Scholar] [CrossRef]
- Rey, A. The psychological examination in cases of traumatic encepholopathy. Arch. Psychol. 1941, 28, 215–218. (In French) [Google Scholar]
- Simfukwe, C.; An, S.S.; Youn, Y.C. Comparison of RCF Scoring System to Clinical Decision for the Rey Complex Figure Using Machine-Learning Algorithm. Dement. Neurocogn. Disord. 2021, 20, 70–79. [Google Scholar] [CrossRef]
- Kaplan, E.; Goodglass, H.; Weintraub, S. Boston Naming Test; Pro-ed: Austin, TX, USA, 2001. [Google Scholar]
- Li, D.; Yu, Y.Y.; Hu, N.; Zhang, M.; Liu, L.; Fan, L.M.; Ruan, S.-S.; Wang, F. A Color-Picture Version of Boston Naming Test Outperformed the Black-and-White Version in Discriminating Amnestic Mild Cognitive Impairment and Mild Alzheimer’s Disease. Front. Neurol. 2022, 13, 884460. [Google Scholar]
- Rey, A. The Clinical Examination in Psychology; Presses Universitaires de France: Paris, France, 1958. (In French) [Google Scholar]
- Soble, J.R.; Sharp, D.W.; Carter, D.A.; Jennette, K.J.; Resch, Z.J.; Ovsiew, G.P.; Critchfield, E.A. Cross-validation of a forced-choice validity indicator to enhance the clinical utility of the Rey Auditory Verbal Learning Test. Psychol. Assess. 2021, 33, 568–573. [Google Scholar] [CrossRef]
- Spreen, O.; Strauss, E. A Compendium of Neuropsychological Tests: Administration, Norms, and Commentary; Oxford University Press: Oxford, UK, 1998. [Google Scholar]
- Tombaugh, T.; Kozak, J.; Rees, L. Normative data stratified by age and education for two measures of verbal fluency: FAS and animal naming. Arch. Clin. Neuropsychol. 1999, 14, 167–177. [Google Scholar]
- Muangpaisan, W.; Intalapaporn, S.; Assantachai, P. Digit span and verbal fluency tests in patients with mild cognitive impairment and normal subjects in Thai-community. J. Med. Assoc. 2010, 93, 224–230. [Google Scholar]
- Stroop, J. Studies of interference in serial verbal reactions. J. Exp. Psychol. 1935, 18, 643–662. [Google Scholar] [CrossRef]
- Snyder, H.R. Major depressive disorder is associated with broad impairments on neuropsychological measures of executive function: A meta-analysis and review. Psychol. Bull. 2013, 139, 81–132. [Google Scholar] [CrossRef]
Cerebellar Infarction Patients n = 50 | Supratentorial Infarction Patients n = 60 | Healthy Controls n = 39 | p Value | |
---|---|---|---|---|
Age (y) | 53.1 ± 12.5 | 50.4 ± 11.9 | 50.8 ± 7.8 | 0.34 |
Male, n (%) | 39 (78.0) | 44 (73.3) | 30 (76.9) | 0.84 |
Education (y) | 11.1 ± 3.0 | 11.2 ± 3.0 | 11.0 ± 2.0 | 0.94 |
BMI (kg/m2) | 23.4 ± 0.4 | 23.0 ± 0.3 | 22.7 ± 0.4 | 0.34 |
Current smoker (n, %) | 15 (30.0) | 26 (43.3) | 12 (30.8) | 0.38 |
Current drinker (n, %) | 16 (32.0) | 17 (28.3) | 10 (25.6) | 0.51 |
Medical history (n, %) | ||||
Hypertension | 34 (68.0) | 45 (75.0) | 24 (61.5) | 0.36 |
Diabetes | 18 (36.0) | 20 (33.3) | 12 (30.8) | 0.06 |
Dyslipidemia | 11 (22.0) | 16 (26.7) | 15 (38.5) | 0.22 |
Disease duration (d) | 8.7 ± 4.9 | 7.1 ± 3.8 | - | 0.03 |
Lesion volume (cm3) | 17.0 ± 8.1 | 17.8 ± 8.2 | - | 0.48 |
NIHSS score | 1.1 ± 0.9 | 1.2 ± 1.3 | - | 0.63 |
ICARS score | 7.5 ± 6.9 | - | - | - |
BBA score | 11.0 ± 1.4 | - | - | - |
SAS score | 36.3 ± 5.5 | 35.7 ± 6.8 | 31.6 ± 6.0 | 0.001 a,b |
SDS score | 35.7 ± 6.7 | 35.0 ± 6.6 | 35.6 ± 5.8 | 0.73 |
Screening Test | Cerebellar Infarction Patients n = 50 | Supratentorial Infarction Patients n = 60 | Healthy Controls n = 39 | p Value |
---|---|---|---|---|
MMSE | 27.7 ± 1.6 | 25.8 ± 3.7 | 27.7 ± 1.3 | 0.05 |
MoCA | 27.5 ± 1.5 | 26.2 ± 2.4 | 27.9 ± 1.3 | 0.001 b,c |
ACE-III | 89.8 ± 4.7 | 88.4 ± 4.7 | 93.3 ± 2.9 | <0.001 a,b |
CCAS-s | 93.1 ± 10.1 | 89.6 ± 8.8 | 99.0 ± 6.1 | <0.001 a,b |
Number of CCAS-s failed items | 1.8 ± 1.7 | 2.3 ± 1.4 | 0.7 ± 0.8 | <0.001 a,b |
Cognitive Domains | Cerebellar Infarction Patients n = 50 | Supratentorial Infarction Patients n = 60 | Healthy Controls n = 39 | p Value a | Post Hoc Analysis | |||||
---|---|---|---|---|---|---|---|---|---|---|
Mean ± SD | Range | Mean ± SD | Range | Mean ± SD | Range | Cerebellar/ Supratentorial | Cerebellar/ Controls | Supratentorial/Controls | ||
Attention | −0.73 ± 1.22 | −3.34~2.31 | −1.38 ± 0.87 | −3.83~0.28 | −0.00 ± 0.73 | −1.59~1.37 | <0.001 | 0.002 | 0.003 | <0.001 |
Visuospatial | 0.09 ± 1.12 | −3.53~0.68 | 0.09 ± 1.05 | −2.47~0.68 | −0.00 ± 1.00 | −4.05~0.68 | 0.08 | − | ||
Language | −0.04 ± 1.24 | −3.24~2.06 | 0.10 ± 1.19 | −3.24~2.06 | −0.01 ± 1.01 | −2.06~2.06 | 0.67 | − | ||
Episodic Memory | −0.28 ± 1.03 | −2.82~1.35 | −0.47 ± 0.89 | −2.46~1.35 | 0.00 ± 0.79 | −1.80~1.78 | 0.03 | 0.47 | 0.58 | 0.02 |
Executive Function | −0.63 ± 0.96 | −3.56~1.03 | −0.65 ± 0.93 | −3.42~2.26 | 0.00 ± 0.51 | −1.14~1.16 | <0.001 | 0.002 | 0.003 | <0.001 |
Cognitive Domains | No. of Outcomes (n, %) | Relative Odds Ratio (95% Confidence Interval) | ||||
---|---|---|---|---|---|---|
Cerebellar Infarction Patients n = 50 | Supratentorial Infarction Patients n = 60 | Frontal Infarction Patients n = 38 | Cerebellar Infarction Patients | Supratentorial Infarction Patients | Frontal Infarction Patients | |
Attention | 22 (44.9%) | 45 (75.0%) | 30 (78.9%) | 1.58 (1.20–2.09) | 3.49 (2.21–5.49) | 4.14 (2.21–7.76) |
Visuospatial | 7 (14.6%) | 10 (16.7%) | 6 (15.8%) | 1.02 (0.86–1.21) | 1.05 (0.89–1.23) | 1.04 (0.86–1.24) |
Language | 9 (18.8%) | 7 (11.7%) | 4 (10.5%) | 1.07 (0.90–1.29) | 0.99 (0.85–1.15) | 0.97 (0.83–1.15) |
Episodic Memory | 15 (30.6%) | 26 (44.1%) | 14 (37.8%) | 1.22 (0.97–1.53) | 1.51 (1.16–1.97) | 1.36 (0.98–1.81) |
Executive Function | 29 (58.0%) | 34 (56.7%) | 20 (52.6%) | 2.02 (1.42–2.87) | 1.95 (1.42–2.69) | 1.79 (1.25–2.56) |
Cognitive Domains | Cerebellar Infarction Patients n = 50 | Frontal Infarction Patients n = 38 | Healthy Controls n = 39 | p Value a | Post Hoc Analysis | |||||
---|---|---|---|---|---|---|---|---|---|---|
Mean ± SD | Range | Mean ± SD | Range | Mean ± SD | Range | Cerebellar/ Frontal | Cerebellar/ Controls | Frontal/ Controls | ||
Attention | −0.73 ± 1.22 | −3.34~2.31 | −1.36 ± 0.88 | −3.73~0.28 | −0.00 ± 0.73 | −1.59~1.37 | <0.001 | 0.009 | 0.003 | <0.001 |
Visuospatial | 0.09 ± 1.12 | −3.53~0.68 | 0.12 ± 1.05 | −2.47~0.68 | −0.00 ± 1.00 | −4.05~0.68 | 0.09 | − | ||
Language | −0.04 ± 1.24 | −3.24~2.06 | 0.19 ± 1.23 | −3.24~2.06 | −0.01 ± 1.01 | −2.06~2.06 | 0.46 | − | ||
Episodic Memory | −0.28 ± 1.03 | −2.82~1.35 | −0.20 ± 0.90 | −1.45~1.35 | 0.00 ± 0.79 | −1.80~1.78 | 0.41 | − | ||
Executive Function | −0.63 ± 0.96 | −3.56~1.03 | −0.62 ± 1.03 | −3.42~2.26 | 0.00 ± 0.51 | −1.14~1.16 | 0.001 | 1.00 | 0.002 | 0.004 |
Disclaimer/Publisher’s Note: The statements, opinions and data contained in all publications are solely those of the individual author(s) and contributor(s) and not of MDPI and/or the editor(s). MDPI and/or the editor(s) disclaim responsibility for any injury to people or property resulting from any ideas, methods, instructions or products referred to in the content. |
© 2024 by the authors. Licensee MDPI, Basel, Switzerland. This article is an open access article distributed under the terms and conditions of the Creative Commons Attribution (CC BY) license (https://creativecommons.org/licenses/by/4.0/).
Share and Cite
Liu, Q.; Zhang, Y. A Comparative Study on Cognitive Assessment in Cerebellar and Supratentorial Stroke. Brain Sci. 2024, 14, 676. https://doi.org/10.3390/brainsci14070676
Liu Q, Zhang Y. A Comparative Study on Cognitive Assessment in Cerebellar and Supratentorial Stroke. Brain Sciences. 2024; 14(7):676. https://doi.org/10.3390/brainsci14070676
Chicago/Turabian StyleLiu, Qi, and Yumei Zhang. 2024. "A Comparative Study on Cognitive Assessment in Cerebellar and Supratentorial Stroke" Brain Sciences 14, no. 7: 676. https://doi.org/10.3390/brainsci14070676
APA StyleLiu, Q., & Zhang, Y. (2024). A Comparative Study on Cognitive Assessment in Cerebellar and Supratentorial Stroke. Brain Sciences, 14(7), 676. https://doi.org/10.3390/brainsci14070676