Expression of WNT Signaling Genes in the Dorsolateral Prefrontal Cortex in Schizophrenia
Abstract
1. Introduction
2. Methods and Materials
2.1. Subjects
2.2. RNA Extraction, Reverse Transcription and Complementary DNA (cDNA) Synthesis
2.3. Quantitative Real-Time Polymerase Chain Reaction (RT-qPCR)
2.4. In Silico “Lookup” Studies
2.5. Data Analysis
3. Results
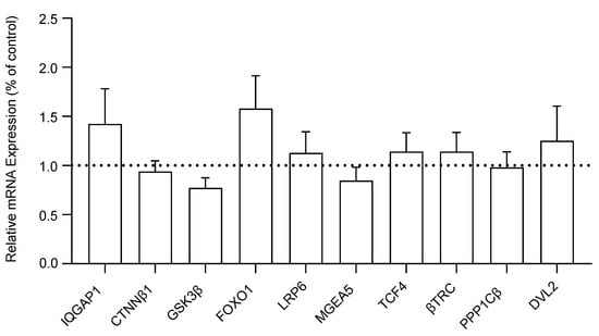
3.1. mRNA Expression of WNT Signaling Pathway Genes
3.2. Region-Level Transcriptomic Results for WNT Signaling Pathway Genes
3.3. Neuron-Level Transcriptomic Results for WNT Signaling Pathway Genes
3.4. Effect of Antipsychotics on the Expression of WNT Signaling Pathway Genes
4. Discussion
5. Conclusions
Supplementary Materials
Author Contributions
Funding
Institutional Review Board Statement
Informed Consent Statement
Data Availability Statement
Conflicts of Interest
References
- McGrath, J.; Saha, S.; Chant, D.; Welham, J. Schizophrenia: A concise overview of incidence, prevalence, and mortality. Epidemiol. Rev. 2008, 30, 67–76. [Google Scholar] [CrossRef] [PubMed]
- Ibrahim, H.M.; Tamminga, C.A. Schizophrenia: Treatment Targets Beyond Monoamine Systems. Ann. Rev. 2011, 51, 189–209. [Google Scholar] [CrossRef] [PubMed]
- Kanahara, N.; Sekine, Y.; Haraguchi, T.; Uchida, Y.; Hashimoto, K.; Shimizu, E.; Iyo, M. Orbitofrontal cortex abnormality and deficit schizophrenia. Schizophr. Res. 2013, 143, 246–252. [Google Scholar] [CrossRef] [PubMed]
- Kanahara, N.; Shimizu, E.; Sekine, Y.; Uchida, Y.; Shibuya, T.; Yamanaka, H.; Hashimoto, T.; Asaka, T.; Sasaki, T.; Miyatake, R.; et al. Does hypofrontality expand to global brain area in progression of schizophrenia? A cross-sectional study between first-episode and chronic schizophrenia. Prog. Neuropsychopharmacol. Biol. Psychiatry 2009, 33, 410–415. [Google Scholar] [CrossRef] [PubMed]
- Rubin, P.; Holm, S.; Madsen, P.L.; Friberg, L.; Videbech, P.; Andersen, H.S.; Bendsen, B.B.; Stromso, N.; Larsen, J.K.; Lassen, N.A.; et al. Regional cerebral blood flow distribution in newly diagnosed schizophrenia and schizophreniform disorder. Psychiatry Res. 1994, 53, 57–75. [Google Scholar] [CrossRef] [PubMed]
- Malaspina, D.; Harkavy-Friedman, J.; Corcoran, C.; Mujica-Parodi, L.; Printz, D.; Gorman, J.M.; Van Heertum, R. Resting neural activity distinguishes subgroups of schizophrenia patients. Biol. Psychiatry 2004, 56, 931–937. [Google Scholar] [CrossRef] [PubMed] [PubMed Central]
- Andreasen, N.C.; O’Leary, D.S.; Flaum, M.; Nopoulos, P.; Watkins, G.L.; Boles Ponto, L.L.; Hichwa, R.D. Hypofrontality in schizophrenia: Distributed dysfunctional circuits in neuroleptic-naive patients. Lancet 1997, 349, 1730–1734. [Google Scholar] [CrossRef] [PubMed]
- Catafau, A.M.; Parellada, E.; Lomena, F.J.; Bernardo, M.; Pavia, J.; Ros, D.; Setoain, J.; Gonzalez-Monclus, E. Prefrontal and temporal blood flow in schizophrenia: Resting and activation technetium-99m-HMPAO SPECT patterns in young neuroleptic-naive patients with acute disease. J. Nucl. Med. 1994, 35, 935–941. [Google Scholar] [PubMed]
- Kawasaki, Y.; Maeda, Y.; Suzuki, M.; Urata, K.; Higashima, M.; Kiba, K.; Yamaguchi, N.; Matsuda, H.; Hisada, K. SPECT analysis of regional cerebral blood flow changes in patients with schizophrenia during the Wisconsin Card Sorting Test. Schizophr. Res. 1993, 10, 109–116. [Google Scholar] [CrossRef] [PubMed]
- Mathew, R.J.; Wilson, W.H.; Tant, S.R.; Robinson, L.; Prakash, R. Abnormal resting regional cerebral blood flow patterns and their correlates in schizophrenia. Arch. Gen. Psychiatry 1988, 45, 542–549. [Google Scholar] [CrossRef] [PubMed]
- Collado-Torres, L.; Burke, E.E.; Peterson, A.; Shin, J.; Straub, R.E.; Rajpurohit, A.; Semick, S.A.; Ulrich, W.S.; BrainSeq, C.; Price, A.J.; et al. Regional Heterogeneity in Gene Expression, Regulation, and Coherence in the Frontal Cortex and Hippocampus across Development and Schizophrenia. Neuron 2019, 103, 203–216.e208. [Google Scholar] [CrossRef] [PubMed]
- Weinberger, D.R.; Berman, K.F.; Zec, R.F. Physiologic dysfunction of dorsolateral prefrontal cortex in schizophrenia. I. Regional cerebral blood flow evidence. Arch. Gen. Psychiatry 1986, 43, 114–124. [Google Scholar] [CrossRef] [PubMed]
- Middleton, F.A.; Mirnics, K.; Pierri, J.N.; Lewis, D.A.; Levitt, P. Gene expression profiling reveals alterations of specific metabolic pathways in schizophrenia. J. Neurosci. 2002, 22, 2718–2729. [Google Scholar] [CrossRef] [PubMed]
- Hagenauer, M.H.; Schulmann, A.; Li, J.Z.; Vawter, M.P.; Walsh, D.M.; Thompson, R.C.; Turner, C.A.; Bunney, W.E.; Myers, R.M.; Barchas, J.D.; et al. Inference of cell type content from human brain transcriptomic datasets illuminates the effects of age, manner of death, dissection, and psychiatric diagnosis. PLoS ONE 2018, 13, e0200003. [Google Scholar] [CrossRef] [PubMed] [PubMed Central]
- Ramaker, R.C.; Bowling, K.M.; Lasseigne, B.N.; Hagenauer, M.H.; Hardigan, A.A.; Davis, N.S.; Gertz, J.; Cartagena, P.M.; Walsh, D.M.; Vawter, M.P.; et al. Post-mortem molecular profiling of three psychiatric disorders. Genome Med. 2017, 9, 72. [Google Scholar] [CrossRef] [PubMed] [PubMed Central]
- Sullivan, C.R.; Koene, R.H.; Hasselfeld, K.; O’Donovan, S.M.; Ramsey, A.; McCullumsmith, R.E. Neuron-specific deficits of bioenergetic processes in the dorsolateral prefrontal cortex in schizophrenia. Mol. Psychiatry 2019, 24, 1319–1328. [Google Scholar] [CrossRef] [PubMed] [PubMed Central]
- Koni, M.; Pinnarò, V.; Brizzi, M.F. The Wnt Signalling Pathway: A Tailored Target in Cancer. Int. J. Mol. Sci. 2020, 21, 7697. [Google Scholar] [CrossRef] [PubMed] [PubMed Central]
- Sullivan, C.R.; Mielnik, C.A.; O’Donovan, S.M.; Funk, A.J.; Bentea, E.; DePasquale, E.A.; Alganem, K.; Wen, Z.; Haroutunian, V.; Katsel, P.; et al. Connectivity Analyses of Bioenergetic Changes in Schizophrenia: Identification of Novel Treatments. Mol. Neurobiol. 2019, 56, 4492–4517. [Google Scholar] [CrossRef] [PubMed]
- Hoseth, E.Z.; Krull, F.; Dieset, I.; Morch, R.H.; Hope, S.; Gardsjord, E.S.; Steen, N.E.; Melle, I.; Brattbakk, H.R.; Steen, V.M.; et al. Exploring the Wnt signaling pathway in schizophrenia and bipolar disorder. Transl. Psychiatry 2018, 8, 55. [Google Scholar] [CrossRef] [PubMed] [PubMed Central]
- Ibanez, K.; Boullosa, C.; Tabares-Seisdedos, R.; Baudot, A.; Valencia, A. Molecular evidence for the inverse comorbidity between central nervous system disorders and cancers detected by transcriptomic meta-analyses. PLoS Genet. 2014, 10, e1004173. [Google Scholar] [CrossRef] [PubMed] [PubMed Central]
- Briggs, M.W.; Li, Z.; Sacks, D.B. IQGAP1-mediated stimulation of transcriptional co-activation by beta-catenin is modulated by calmodulin. J. Biol. Chem. 2002, 277, 7453–7465. [Google Scholar] [CrossRef] [PubMed]
- Goto, T.; Sato, A.; Adachi, S.; Iemura, S.; Natsume, T.; Shibuya, H. IQGAP1 protein regulates nuclear localization of beta-catenin via importin-beta5 protein in Wnt signaling. J. Biol. Chem. 2013, 288, 36351–36360. [Google Scholar] [CrossRef] [PubMed] [PubMed Central]
- Goto, T.; Sato, A.; Shimizu, M.; Adachi, S.; Satoh, K.; Iemura, S.; Natsume, T.; Shibuya, H. IQGAP1 functions as a modulator of dishevelled nuclear localization in Wnt signaling. PLoS ONE 2013, 8, e60865. [Google Scholar] [CrossRef] [PubMed] [PubMed Central]
- Carmon, K.S.; Gong, X.; Yi, J.; Thomas, A.; Liu, Q. RSPO-LGR4 functions via IQGAP1 to potentiate Wnt signaling. Proc. Natl. Acad. Sci. USA 2014, 111, E1221–E1229. [Google Scholar] [CrossRef] [PubMed] [PubMed Central]
- Jaworski, T.; Banach-Kasper, E.; Gralec, K. GSK-3. Neural Plast. 2019, 2019, 4209475. [Google Scholar] [CrossRef] [PubMed] [PubMed Central]
- Tamai, K.; Semenov, M.; Kato, Y.; Spokony, R.; Liu, C.; Katsuyama, Y.; Hess, F.; Saint-Jeannet, J.P.; He, X. LDL-receptor-related proteins in Wnt signal transduction. Nature 2000, 407, 530–535. [Google Scholar] [CrossRef] [PubMed]
- Bond, M.R.; Hanover, J.A. A little sugar goes a long way: The cell biology of O-GlcNAc. J. Cell Biol. 2015, 208, 869–880. [Google Scholar] [CrossRef] [PubMed] [PubMed Central]
- Hennig, K.M.; Fass, D.M.; Zhao, W.N.; Sheridan, S.D.; Fu, T.; Erdin, S.; Stortchevoi, A.; Lucente, D.; Cody, J.D.; Sweetser, D.; et al. WNT/β-Catenin Pathway and Epigenetic Mechanisms Regulate the Pitt-Hopkins Syndrome and Schizophrenia Risk Gene. Mol. Neuropsychiatry 2017, 3, 53–71. [Google Scholar] [CrossRef] [PubMed] [PubMed Central]
- Kim, D.J.; Yi, Y.W.; Seong, Y.S. Beta-Transducin Repeats-Containing Proteins as an Anticancer Target. Cancers 2023, 15, 4248. [Google Scholar] [CrossRef] [PubMed] [PubMed Central]
- Luo, W.; Peterson, A.; Garcia, B.A.; Coombs, G.; Kofahl, B.; Heinrich, R.; Shabanowitz, J.; Hunt, D.F.; Yost, H.J.; Virshup, D.M. Protein phosphatase 1 regulates assembly and function of the beta-catenin degradation complex. EMBO J. 2007, 26, 1511–1521. [Google Scholar] [CrossRef] [PubMed] [PubMed Central]
- Moparthi, L.; Koch, S. FOX transcription factors are common regulators of Wnt/β-catenin-dependent gene transcription. J. Biol. Chem. 2023, 299, 104667. [Google Scholar] [CrossRef] [PubMed] [PubMed Central]
- McGuire, J.L.; Depasquale, E.A.; Funk, A.J.; O’Donnovan, S.M.; Hasselfeld, K.; Marwaha, S.; Hammond, J.H.; Hartounian, V.; Meador-Woodruff, J.H.; Meller, J.; et al. Abnormalities of signal transduction networks in chronic schizophrenia. NPJ Schizophr. 2017, 3, 30. [Google Scholar] [CrossRef] [PubMed] [PubMed Central]
- Sullivan, C.R.; O’Donovan, S.M.; McCullumsmith, R.E.; Ramsey, A. Defects in Bioenergetic Coupling in Schizophrenia. Biol. Psychiatry 2018, 83, 739–750. [Google Scholar] [CrossRef] [PubMed] [PubMed Central]
- Alganem, K.; Imami, A.S.; Sahay, S.; Eby, H.; Arvay, T.O.; Abel, M.; Zhang, X.; McIntyre, W.B.; Lee, J.; Au-Yeung, C.; et al. Kaleidoscope: A Bioinformatics Web Application for In Silico Exploration of Omics Data. J. Bioinform. Syst. Biol. 2023, 6, 327–338. [Google Scholar] [CrossRef]
- Hwang, Y.; Kim, J.; Shin, J.Y.; Kim, J.I.; Seo, J.S.; Webster, M.J.; Lee, D.; Kim, S. Gene expression profiling by mRNA sequencing reveals increased expression of immune/inflammation-related genes in the hippocampus of individuals with schizophrenia. Transl. Psychiatry 2013, 3, e321. [Google Scholar] [CrossRef] [PubMed] [PubMed Central]
- Kim, A.H.; Reimers, M.; Maher, B.; Williamson, V.; McMichael, O.; McClay, J.L.; van den Oord, E.J.; Riley, B.P.; Kendler, K.S.; Vladimirov, V.I. MicroRNA expression profiling in the prefrontal cortex of individuals affected with schizophrenia and bipolar disorders. Schizophr. Res. 2010, 124, 183–191. [Google Scholar] [CrossRef] [PubMed] [PubMed Central]
- O’Donovan, S.M.; Sullivan, C.; Koene, R.; Devine, E.; Hasselfeld, K.; Moody, C.L.; McCullumsmith, R.E. Cell-subtype-specific changes in adenosine pathways in schizophrenia. Neuropsychopharmacology 2018, 43, 1667–1674. [Google Scholar] [CrossRef] [PubMed] [PubMed Central]
- Schmitt, A.; Koschel, J.; Zink, M.; Bauer, M.; Sommer, C.; Frank, J.; Treutlein, J.; Schulze, T.; Schneider-Axmann, T.; Parlapani, E.; et al. Gene expression of NMDA receptor subunits in the cerebellum of elderly patients with schizophrenia. Eur. Arch. Psychiatry Clin. Neurosci. 2010, 260, 101–111. [Google Scholar] [CrossRef] [PubMed] [PubMed Central]
- Roberts, R.C.; Roche, J.K.; Conley, R.R.; Lahti, A.C. Dopaminergic synapses in the caudate of subjects with schizophrenia: Relationship to treatment response. Synapse 2009, 63, 520–530. [Google Scholar] [CrossRef] [PubMed] [PubMed Central]
- Sahay, S.; Henkel, N.D.; Vargas, C.F.; McCullumsmith, R.E.; O’Donovan, S.M. Activity of Protein Kinase A in the Frontal Cortex in Schizophrenia. Brain Sci. 2023, 14, 13. [Google Scholar] [CrossRef] [PubMed] [PubMed Central]
- O’Donovan, S.M.; Hasselfeld, K.; Bauer, D.; Simmons, M.; Roussos, P.; Haroutunian, V.; Meador-Woodruff, J.H.; McCullumsmith, R.E. Glutamate transporter splice variant expression in an enriched pyramidal cell population in schizophrenia. Transl. Psychiatry 2015, 5, e579. [Google Scholar] [CrossRef] [PubMed] [PubMed Central]
- Barrett, T.; Wilhite, S.E.; Ledoux, P.; Evangelista, C.; Kim, I.F.; Tomashevsky, M.; Marshall, K.A.; Phillippy, K.H.; Sherman, P.M.; Holko, M.; et al. NCBI GEO: Archive for functional genomics data sets--update. Nucleic Acids Res. 2013, 41, D991–D995. [Google Scholar] [CrossRef] [PubMed] [PubMed Central]
- Edgar, R.; Domrachev, M.; Lash, A.E. Gene Expression Omnibus: NCBI gene expression and hybridization array data repository. Nucleic Acids Res. 2002, 30, 207–210. [Google Scholar] [CrossRef] [PubMed] [PubMed Central]
- Beasley, C.; Cotter, D.; Everall, I. An investigation of the Wnt-signalling pathway in the prefrontal cortex in schizophrenia, bipolar disorder and major depressive disorder. Schizophr. Res. 2002, 58, 63–67. [Google Scholar] [CrossRef] [PubMed]
- Pandey, G.N.; Rizavi, H.S.; Tripathi, M.; Ren, X. Region-specific dysregulation of glycogen synthase kinase-3beta and beta-catenin in the postmortem brains of subjects with bipolar disorder and schizophrenia. Bipolar Disord. 2015, 17, 160–171. [Google Scholar] [CrossRef] [PubMed] [PubMed Central]
- Upadhyay, A.; Joshi, V.; Amanullah, A.; Mishra, R.; Arora, N.; Prasad, A.; Mishra, A. E3 Ubiquitin Ligases Neurobiological Mechanisms: Development to Degeneration. Front. Mol. Neurosci. 2017, 10, 151. [Google Scholar] [CrossRef] [PubMed] [PubMed Central]
- Jones, M.E.; Büchler, J.; Dufor, T.; Palomer, E.; Teo, S.; Martin-Flores, N.; Boroviak, K.; Metzakopian, E.; Gibb, A.; Salinas, P.C. A genetic variant of the Wnt receptor LRP6 accelerates synapse degeneration during aging and in Alzheimer’s disease. Sci. Adv. 2023, 9, eabo7421. [Google Scholar] [CrossRef] [PubMed] [PubMed Central]
- Bitanihirwe, B.K.; Woo, T.U. Oxidative stress in schizophrenia: An integrated approach. Neurosci. Biobehav. Rev. 2011, 35, 878–893. [Google Scholar] [CrossRef] [PubMed] [PubMed Central]
- McCullumsmith, R.E.; Hammond, J.H.; Shan, D.; Meador-Woodruff, J.H. Postmortem brain: An underutilized substrate for studying severe mental illness. Neuropsychopharmacology 2015, 40, 1307. [Google Scholar] [CrossRef] [PubMed] [PubMed Central]
- Harrison, P.J. The neuropathology of schizophrenia. A critical review of the data and their interpretation. Brain 1999, 122 Pt 4, 593–624. [Google Scholar] [CrossRef] [PubMed]
- Zhuang, W.; Ye, T.; Wang, W.; Song, W.; Tan, T. CTNNB1 in neurodevelopmental disorders. Front. Psychiatry 2023, 14, 1143328. [Google Scholar] [CrossRef] [PubMed] [PubMed Central]
- McLaughlin, C.N.; Broihier, H.T. Keeping Neurons Young and Foxy: FoxOs Promote Neuronal Plasticity. Trends Genet. 2018, 34, 65–78. [Google Scholar] [CrossRef] [PubMed] [PubMed Central]
- Jiang, D.; Cope, A.L.; Zhang, J.; Pennell, M. On the Decoupling of Evolutionary Changes in mRNA and Protein Levels. Mol. Biol. Evol. 2023, 40, msad169. [Google Scholar] [CrossRef] [PubMed] [PubMed Central]
- Gabriele, J.P.; Pontoriero, G.F.; Thomas, N.; Ferro, M.A.; Mahadevan, G.; MacCrimmon, D.J.; Pristupa, Z.B.; Mishra, R.K. Antipsychotic drug use is correlated with CRP40/mortalin mRNA expression in the dorsolateral prefrontal cortex of human postmortem brain specimens. Schizophr. Res. 2010, 119, 228–231. [Google Scholar] [CrossRef] [PubMed]




| Control | Schizophrenia | |
|---|---|---|
| N | 20 | 20 |
| Tissue pH | 6.6 ± 0.3 | 6.7 ± 0.4 |
| PMI (hours) | 12.6 ± 5.0 | 15.5 ± 6.1 |
| Age (years) | 42.7 ± 10.1 | 44.2 ± 9.4 |
| Sex | 10F/10M | 10F/10M |
| RIN | 4.5 ± 1.2 | 4.5 ± 1.8 |
| Race | 6B/14W | 7B/13W |
| Medication | 0/0/20 | 5/8/7 |
| Gene | Assay | Primer ID |
|---|---|---|
| GAPDH | Glyceraldehyde-3-phosphate dehydrogenase | Hs99999905_m1 |
| β2M | Beta2-microglobulin | Hs99999907_m1 |
| IQGAP1 | IQ motif containing GTPase activating protein 1 | Hs00896595_m1 |
| CTNNβ1 | Beta-catenin | Hs00355045_m1 |
| GSK3β | Glycogen synthase kinase 3 beta | Hs01047719_m1 |
| FOXO1 | Forkhead box O1 | Hs00231106_m1 |
| LRP6 | Low-density lipoprotein receptor-related protein 6 | Hs00233945_m1 |
| MGEA5 | Meningioma expressed antigen 5 (hyaluronidase) | Hs01028844_m1 |
| TCF4 | Transcription factor 4 | Hs00162613_m1 |
| βTRC | Beta-transducin repeat containing E3 ubiquitin protein ligase | Hs00182707_m1 |
| PP1Cβ | Protein phosphatase 1 catalytic subunit beta | Hs01027793_m1 |
| DVL2 | Disheveled segment polarity protein 2 | Hs01005253_m1 |
Disclaimer/Publisher’s Note: The statements, opinions and data contained in all publications are solely those of the individual author(s) and contributor(s) and not of MDPI and/or the editor(s). MDPI and/or the editor(s) disclaim responsibility for any injury to people or property resulting from any ideas, methods, instructions or products referred to in the content. |
© 2024 by the authors. Licensee MDPI, Basel, Switzerland. This article is an open access article distributed under the terms and conditions of the Creative Commons Attribution (CC BY) license (https://creativecommons.org/licenses/by/4.0/).
Share and Cite
Sahay, S.; Hamoud, A.-r.; Osman, M.; Pulvender, P.; McCullumsmith, R.E. Expression of WNT Signaling Genes in the Dorsolateral Prefrontal Cortex in Schizophrenia. Brain Sci. 2024, 14, 649. https://doi.org/10.3390/brainsci14070649
Sahay S, Hamoud A-r, Osman M, Pulvender P, McCullumsmith RE. Expression of WNT Signaling Genes in the Dorsolateral Prefrontal Cortex in Schizophrenia. Brain Sciences. 2024; 14(7):649. https://doi.org/10.3390/brainsci14070649
Chicago/Turabian StyleSahay, Smita, Abdul-rizaq Hamoud, Mahasin Osman, Priyanka Pulvender, and Robert E. McCullumsmith. 2024. "Expression of WNT Signaling Genes in the Dorsolateral Prefrontal Cortex in Schizophrenia" Brain Sciences 14, no. 7: 649. https://doi.org/10.3390/brainsci14070649
APA StyleSahay, S., Hamoud, A.-r., Osman, M., Pulvender, P., & McCullumsmith, R. E. (2024). Expression of WNT Signaling Genes in the Dorsolateral Prefrontal Cortex in Schizophrenia. Brain Sciences, 14(7), 649. https://doi.org/10.3390/brainsci14070649

