Abstract
Healthy brains display a wide range of firing patterns, from synchronized oscillations during slow-wave sleep to desynchronized firing during movement. These physiological activities coexist with periods of pathological hyperactivity in the epileptic brain, where neurons can fire in synchronized bursts. Most cortical neurons are pyramidal regular spiking (RS) cells with frequency adaptation and do not exhibit bursts in current-clamp experiments (in vitro). In this work, we investigate the transition mechanism of spike-to-burst patterns due to slow potassium and calcium currents, considering a conductance-based model of a cortical RS cell. The joint influence of potassium and calcium ion channels on high synchronous patterns is investigated for different synaptic couplings () and external current inputs (I). Our results suggest that slow potassium currents play an important role in the emergence of high-synchronous activities, as well as in the spike-to-burst firing pattern transitions. This transition is related to the bistable dynamics of the neuronal network, where physiological asynchronous states coexist with pathological burst synchronization. The hysteresis curve of the coefficient of variation of the inter-spike interval demonstrates that a burst can be initiated by firing states with neuronal synchronization. Furthermore, we notice that high-threshold () and low-threshold () ion channels play a role in increasing and decreasing the parameter conditions ( and I) in which bistable dynamics occur, respectively. For high values of conductance, a synchronous burst appears when neurons are weakly coupled and receive more external input. On the other hand, when the conductance increases, higher coupling and lower I are necessary to produce burst synchronization. In light of our results, we suggest that channel subtype-specific pharmacological interactions can be useful to induce transitions from pathological high bursting states to healthy states.
1. Introduction
The classical Hodgkin–Huxley model, proposed in 1952, gave perspectives on understanding the electrical properties of neuronal dynamics considering the biophysical mechanics of the exchange of charges by sodium and potassium ion channels [1,2]. Nowadays, much more is known about the variety of channels involved in the neuronal machinery [3,4] and their relation to healthy brain function [5,6] and diseases [7,8]. Despite that, the complete understanding of the role of such ion channels is still inciting many research questions in this matter [9,10]. Currently, an extensive perspective of research considering the neuroinformatics approach provides new insights into understanding and treating brain diseases [11,12]. Neuroinformatics has been used to fit and explore the dynamics of realistic neuron activities [13], including the influence of ion channels [14] and different currents to which neurons can be exposed [15,16]. In the present work, we are particularly interested in the ion channel influence as an adaptive mechanism that affects the firing pattern and synchronization transitions since adaptation plays an important role in synchronization [17,18].
The transition of neuronal single-cell firing patterns can emerge as a sum of different sources. In this framework, topology properties, such as the number [18,19], the type [20], the intensity of neuronal interactions [21,22,23,24,25], and the time delay of chemical transmission [26,27], can contribute to the firing patterns transitions. Besides that, noise input currents, as well as external perturbations, can also play a role in the spike and burst transitions [28,29,30]. The relationship between how single spikes and bursts are maintained in relation to theta and gamma oscillations was recently discovered [31]. However, beyond the topology factors, intrinsic neuronal properties have been pointed out as the main factor in firing pattern transitions [32,33]. For example, the mechanism of the adaptation of excitability appears to be a key factor in the transition between spike and burst patterns [34,35]. Typically, spike adaptation corresponds to the capability of neurons to reduce their spike frequency due to recent sub and over-threshold neuronal activities [36,37,38]. It is also known that potassium and calcium currents develop a role in neuronal adaptation mechanisms [39,40,41].
The emergence of different network firing patterns is mainly associated with the intrinsic properties of the neurons, for example, ion channel density [33,42] and type [43,44], as well as the synaptic input currents [45,46], noise [47,48], and other kinds of couplings and external inputs that the neurons of the network can submit [49]. A particular type of populational neuronal firing pattern in network dynamics is the synchronized state. In this context, the influence of the ion channels in synchronization was demonstrated by Boaretto et al. It was shown that small changes in ionic conductance can affect the capacity of the networks to exhibit phase synchronization [50]. Landenbauer et al. studied the impact of adaptation on synchronization by comparing coupled neuronal models, and highlighting the importance of the comprehension of such a mechanism on the emergence of the network dynamics [51]. Synchronized activities are essential for the correct functioning of the brain; however, highly synchronized activities with burst firing patterns are associated with epileptic seizures [52]. Besides the high synchronization levels, epileptic activities can also be related to burst firing patterns [53,54] and low synaptic inhibition [55]. The experimental results of cultured neuronal networks, based on multi-electrode arrays, indicated that burst activities present stronger synchrony capabilities with a sufficient level of excitation [56]. These currents are also known to develop frequency-dependent resonant mechanisms, an example being the hyperpolarization-activated current, which is related to and connected to theta resonance and the T-type voltage-dependent channel that acts as an amplifier [57]. In addition, T-type channels are related to the increase in burst activities in seizure generation [58] and have been identified to play a central role in epileptogenesis in the pilocarpine model of epilepsy [59]. Besides that, after status epilepticus, the density of T-type Ca2+ channels was upregulated in pyramidal neurons [60]. However, a deeper understanding of the complementary roles of channels in the complex firing patterns of neurons and networks has yet to be uncovered.
Bistable patterns are dynamic behaviors that can be exhibited from the levels of a single neuron [61] to a network [62,63]. Bistability in synchronization emerges as a collective dynamic interplay between excitatory and inhibitory interactions between neurons [64]. Recently, Akcay et al. reported that bistability with different phases can emerge in a pair of Type I neurons connected by chemical synapses [65], a phenomenon related to the history dependency of the system and known as hysteresis. Bistability and hysteresis are two mechanisms that can be associated with the emergence of burst oscillations [66]. In cortical neurons, the state-dependent coexistence of tonic and burst firings gathers the conditions for the emergence of bistability and hysteresis [67].Simplified neuronal and oscillator models have reported the emergence of bistable firing patterns [34,68]. Bistable and multi-stable dynamics are said to play a role in both healthy [69] and abnormal brain activities [70]. For this reason, studying a detailed description of ion channels in biophysical neuronal models can bring new light to understanding such firing patterns that emerge in brain activities.
The main purpose of this work is to investigate the impact of potassium and calcium currents as an adaptive mechanism that enables the emergence of burst synchronization associated with a bistable regime [34]. In our simulations, burst activities emerge with highly synchronized firing patterns for a range of synaptic couplings () and external current input (I). Slow potassium currents promote the emergence of high-synchronous activities and spike-to-burst firing pattern transitions. This transition is bistable where physiological asynchronous states coexist with pathological burst synchronization. The hysteresis curve of the coefficient of variation of the inter-spike interval demonstrates that a burst can be initiated by synchronized firing states; however, asynchronous states result in an asynchronous spike firing pattern. Furthermore, we notice that for high values of high-threshold () conductance, a synchronous burst appears when neurons are weakly coupled and receive more external input. On the other hand, when the conductance increases, the opposite is observed. As our main conclusions, we show how the dynamic and biophysical characteristics of the slow potassium and calcium currents in networks promote bistable transitions. We believe that this work has the potential to uncover pharmacological targets in a manner in which high synchronization can be efficiently hindered.
Our paper is organized as follows. In Section 2, we describe the fundamental equations that govern the dynamics of the model and the diagnostics considered for the analysis of neuronal dynamics. In Section 3, we present our results. We depict the neuronal dynamics by first presenting the perspective of a single network and, following that, presenting the network configuration. We gradually introduce the role of potassium and calcium currents by observing how the emergence of the bistable regime takes place. Finally, in Section 4, we present our discussion to expose our future perspectives and conclusions of this work.
2. Materials and Methods
2.1. Neural Model
We consider a conductance-based model in which the membrane potential V [71] is given by the following equation:
where 1 F/cm2 is the specific capacitance of the membrane, is the resting membrane conductance, the reversal potential, and is the sum of partial ionic currents . The voltage-dependent ionic currents have the same general equation:
where the j-th ionic current is expressed as the product of the maximum conductance of each ion j with the conductance of the respective ion. The variables m and n are the activation variables of sodium and potassium, respectively, and h is the inactivation variable of the sodium ion channel [1]. The difference between the membrane potential V and the reversal potential for a specific ion is [71].
2.2. Description of Ionic Currents
The total ionic current described in Equation (1) is given by:
where and are the basic sodium and potassium currents of the Hodgkin–Huxley model [72], is a slow voltage-dependent potassium current responsible for spike frequency adaptation [73], is a high-threshold calcium current, and is a low-threshold calcium current [74,75].
2.2.1. Sodium and Potassium Currents
The voltage-dependent sodium and potassium currents are described by the Hodgkin–Huxley equations and were adapted for central neurons by Traub and Miles [72]. The sodium currents are described in the following equations:
and the potassium currents are described by
The conductance of sodium and potassium are mS/cm2, mS/cm2, and the reversal potentials are mV, mV, respectively. The variable is used to adjust the peak threshold in our simulations: mV.
2.2.2. Slow Potassium Current
The non-inactivating slow current of potassium ions is described by the equations:
where mS/cm2 and ms [40,73].
2.2.3. Calcium Currents
The first calcium current used to produce bursting is due to a high-threshold current (, L-type, and long-lasting current) and is described as:
where the maximum conductance of is mS/cm2 [75].
The equations for the second type of calcium current, the low-threshold current (, T-type, transient current), are:
where mS/cm2 is the maximal conductance of the low-threshold calcium current, and mV is a uniform shift of the voltage dependence [76,77].
Calcium currents change intracellular calcium concentration , and as a consequence, the potential reversal of calcium ions (), which is given by
where J is the universal gas constant, is the temperature, and is the Faraday constant. The dynamics of the calcium concentration is given by
where is the intracellular concentration, = 2.0 mM is the extracellular concentration, is the maximum concentration of calcium inside the cell, m and ms.
2.2.4. Neuronal Network
We consider a randomly connected neuronal network composed of Hodgkin–Huxley neurons described in the previous sections, where the neurons are 80% excitatory and 20% inhibitory [78]. We consider an Erdös–Rényi network with a connection probability , and there are no auto-connections [79]. For the representation of each neuron i in a network, Equation (1) with the addition of synaptic connections is represented by
where represents the membrane potential, corresponds to the ion currents, I is a constant current that is the same for all neurons, and A = 0.2895 × cm2 represents the membrane area. The neuron area taken as a cylinder is given by , with cm [40]. The specific capacitance of the membrane is 1 F/cm2; therefore, the total capacitance is 0.2895 × F. All the terms in Equation (12) have units of current (A). The parameters , , , , , , and are density conductances with mS/cm2 as the unit.
The chemical synaptic current that arrives in the neuron i is represented by
where represents the synaptic reversal potential, M is the adjacency matrix of the connections, and is the synaptic conductance from the neuron k. assumes a value equal to = = 0 mV for excitatory and = = −80 mV for inhibitory synaptic connection from the neuron k. The adjacency matrix is composed of element equal to 1 to represent connections from neuron k to neuron i, and equal to 0 to represent the absence of such a connection. is updated in the time of neuron k overpass with a positive potential derivative (). The time of spikes of a certain neuron k, denoted as , is also defined by these two conditions in the membrane potential. In this way, the update in synaptic conductance is represented by , where is the chemical intensity of the synaptic updates, the same for excitatory and inhibitory connections. In addition to the update rule due to spiking, each synaptic conductance evolves by an exponential decay described by with ms.
2.3. Measures
2.3.1. Firing Rate
We calculate the mean firing rate (in Hz) of all neurons in the network by
where is the time of the i-th spike, N = 1000 is the number of neurons, and T = 5 s is the time window considered for the analyses.
2.3.2. Coefficient of Variation
We use the inter-spike intervals (ISIs), where the i-th interval is defined as the difference between two consecutive spike times and , namely . From the ISI series, the first interval is referred to as followed by the subsequent intervals, namely , , …, and . The ratio between the standard deviation and the mean (indicated by ) gives rise to the coefficient of variation
for the i-th neuron. Finally, the average of over all neurons is given by
2.3.3. Synchronization
To measure the level of synchronization exhibited by the neuronal network, we consider the complex order parameter of Kuramoto [80] given by
where the phase of each neuron j is represented by
where represents the m-th spikes of the neuron j. The time t of the parameter is defined in the interval . The time-average order parameter is calculated by
where and represent the initial and final times for the analyses of synchronization in the neuronal network [81].
The implementation of the numerical simulations was performed using self-developed C and NetPyNE codes [82] and can be freely accessed in https://github.com/FernandoSBorges/BistabilityHH (accessed on 1 September 2023).
3. Results
3.1. Neuron Dynamics
We begin by presenting some essential dynamical characteristics of the neurons and networks. Figure 1 displays the biophysical properties of neurons and their dependence on the ionic conductance of the slow potassium M-current, and Figure 2 displays the additional presence of calcium currents.
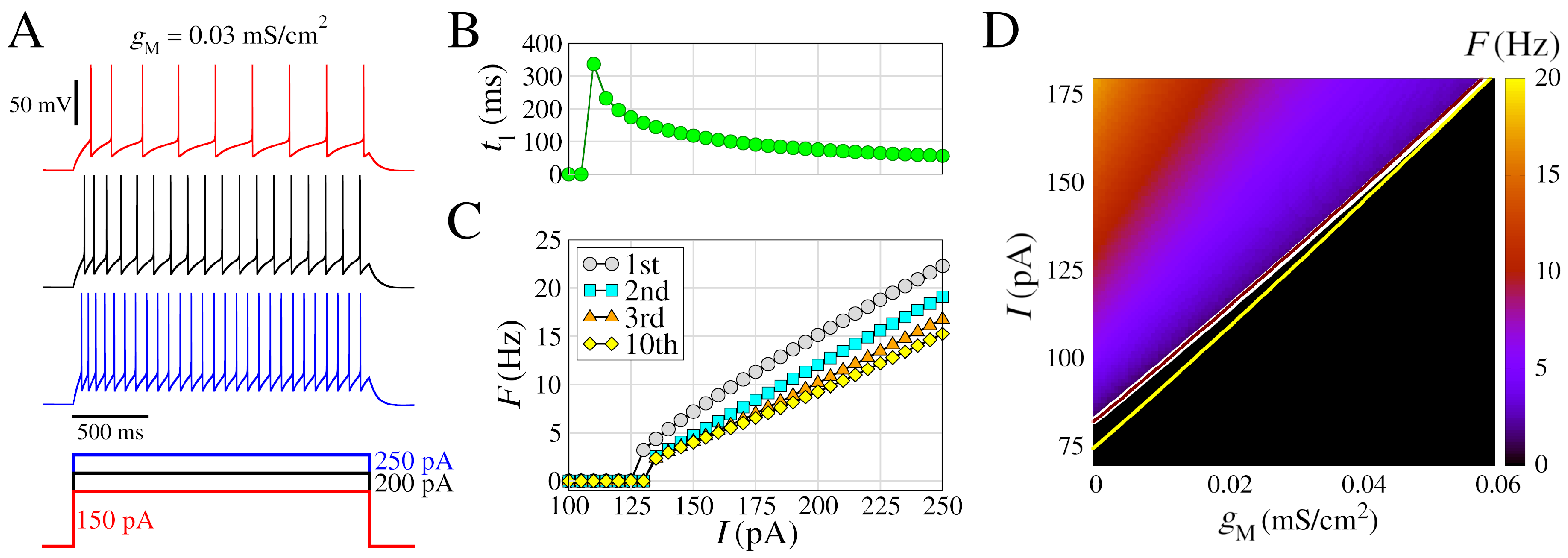
Figure 1.
Model of regular spiking neuron, with and for spike generation, and slow K+ current () for spike frequency adaptation. (A) (Top) Voltage traces with different amplitudes of the depolarizing pulses (bottom), mV before the depolarizing pulses. (B) Time to first spike () as a function of the injected current (amplitude of the pulse I). (C) Frequency–current curves (), where the instantaneous firing rate (inverse of the inter-spike interval) is represented as a function of I. The curves indicated by different colors correspond to the 1st, the 2nd, the 3rd, and the 10th spikes in the train. (D) Spike frequency F (in color) as function of and I, considering 5.0 s time window. The white line represents the transition where for = 0 and = 0. Additionally, this transition lines for = 0 and = 0.1 mS/cm2 (brown line), and = 0.4 mS/cm2 and = 0 (yellow line) are shown. Other parameters are m, mS/cm2, = −85.0 mV, = 50 mS/cm2, mV, mS/cm2, = 1000 ms, and = 0.03 mS/cm2. The absolute values of the membrane potential of (A) are available at https://github.com/FernandoSBorges/BistabilityHH (accessed on 1 September 2023).
Figure 2.
Firing pattern for different , , and conductances. (A) Firing rate in colored ()-diagram for mS/cm2. (B) The same as (A) for the CV. (C) Firing rate in colored ()-diagram for mS/cm2. (D) The same as (C) for the CV. (E) Exemplar voltage traces considering different values of , , and , where each parameter combination is shown atop and mV before the depolarizing pulses. Other parameters are the same as Figure 1 with I = 200 pA.
In Figure 1, we present extended characteristics for the regular spiking model by changing the input amplitudes. This model includes and for the generation of spikes, and slow K+ current () for the adaptation of the spike frequency. The frequency of the action potentials increases with the input amplitude as shown by the three exemplar voltage traces (Figure 1A). For input amplitudes of pA, the neuron exhibits a single spike after ≈ 350 ms from the start of stimulus (Figure 1B). The second spike occurs for 130 pA, where the first frequency F is obtained by . Regular spiking behavior is observed for 135 pA (Figure 1C). As the amplitude increases, no bursting appears but rather a linear increase in frequency with progressively lower frequencies for each spike in the train as a consequence of the adaptation mechanism (Figure 1C).
In Figure 1D, we show F (in color) as a function of and I, where F (Equation (14)) is calculated considering spikes in a time window of 5.0 s. The has a great influence on the way the neuron fires by changing the minimum value of I, where (white line), and in addition, higher values of have lower values of F for the same value of I. This shows that the slow K+ current (), related to the adaptation of the spike frequency, has a strong influence on the response of the neuronal firing to external stimuli. On the other hand, low-threshold calcium currents () have low alterations in F (yellow line), and high-threshold calcium currents () have an almost null effect (brown line).
In order to understand the role of calcium currents in the neuron model, we show some diagrams that vary the low-threshold () and high-threshold () conductances. We delimited the range of the parameter based on the firing rate values lower than 20 Hz. Figure 2A–D display colored () and ()-diagrams for F and CV. Figure 2E exhibits some examples of selected simulations. The initial burst extends into sustained bursting due to the influence of high-threshold Ca2+; this phenomenon becomes evident for mS/cm2 (Figure 2B). This observed frequency remains below 12 Hz for mS/cm2 and mS/cm2 (Figure 2C), which is typically found in neurons in the rat somatosensory cortex [83]. The coefficient of variation (CV) undergoes a transition from 0.3 to >1.0 depending on the value of for 0.022 mS/cm2. This CV transition is abrupt and occurs at approximately 0.25 mS/cm2 (Figure 2D). The two main effects of increasing are a reduction in the time to the first spike and to generate the initial bursting pattern (Figure 2E and Figure S1). For some values of the and combination, regular bursts appear. Furthermore, the amplitude of the input current is also responsible for the change in the area in which regular burst activity (CV > 1.0) is observed in the colored diagram. Higher values of I increase the minimum values to have bursts, for pA the minimum mS/cm2, while for pA, 0.038 mS/cm2 is necessary (Figure S2).
The panels in Figure 2 provide clear evidence of the impact of adaptation and burst development resulting from the influence of slow potassium and calcium currents. In the next section, we will move forward with the network effects.
3.2. Neuron Networks
Next, we study the behavior of networks of neurons, such as the ones discussed above, connected via chemical synapses. As such, the type of behavior varies depending on the input current I and the strength of the synapses . A highly interesting phenomenon that arises in the network spiking pattern is the transition from asynchronous spiking to burst synchronization. Moreover, in this transition, bistable firing patterns are observed, where both asynchronous and synchronous states coexist.
In Figure 3, we present a systematic study of the parameter combinations of constant applied current and the chemical synaptic conductance (I and ) in the measures F, CV, and R (see Section 2.3). These measures are displayed, respectively, in Figure 3A–C. Notice that here, we purposely remove the effect of to show that without the slow potassium and calcium currents, there is no burst no matter the input amplitude and coupling (Figure 3B). Moreover, the firing rate increases with I and (Figure 3A). Interestingly, however, as seen in Figure 3C,D, even without the effect of , the raster plot shows a synchronized behavior with activity around 4 Hz due to population dynamics. This is noticed for combined low values of input current I and , whereas for higher values, only asynchronous behavior is observed (Figure 3E).
Figure 3.
Spike synchronization in space parameters as a function of I and synaptic conductance (). (A) Mean firing frequency. (B) Coefficient of variation, and (C) mean order parameter. (D,E) Raster plot and the neuronal membrane potentials for the parameter indicated in (A–C). (D) Synchronized spikes for the parameters I = 88.3 pA and = 0.2 S/cm2. (E) Desynchronized spikes for the parameters I = 98.9 pA and = 0.5 S/cm2. We use the model without slow potassium and calcium currents, i.e., .
The results demonstrate that the lack of slow potassium and calcium currents hinders the possibility of observing single-cell bursting, even in a network. Transitions from asynchronous to synchronous activity are still present as seen in how the circle and square are in areas of different values of R in Figure 3C, but the CV changes are slight and nearly absent, indicating only spikes.
3.3. Bistable Regime
The results are different when the effect of the slow potassium current is added. As shown in Figure 4, increasing results in transitions from asynchronous activity to a burst synchronization. Noticeably, the voltage traces exhibit individual bursting for neurons with a regular spike firing pattern without coupling. These network bursts are observed for fixed values of I < 200.0 pA and > 1.0 S/cm2.
Figure 4.
Burst synchronization in space parameters as a function of I and chemical synaptic conductance (). (A) Mean firing frequency. (B) Coefficient of variation. (C) Mean order parameter. (D,E) Raster plot and the neuronal membrane potentials for the parameter indicated in (A–C). (D) Desynchronized spikes for the parameters I = 170.4 pA and = 1 S/cm2 are observed and synchronized bursts are shown for the parameters I = 170.4 pA and = 1.3 S/cm2 in (E). (F–H) Curves of F, CV, and R, respectively, for increasing values of (blue triangles) and decreasing values of (red triangles). We use the model with slow potassium and without calcium currents, i.e., mS/cm2.
The emergence of the bursting synchronization by increasing values of has a marked effect on the measures F, CV, and R. When I = 170.4 pA, this sudden increase that leads to the transition starts approximately at S/cm2 for initial conditions with asynchronous spikes, and S/cm2 for initial conditions with burst synchronization. This hysteresis is indicated in the white area in Figure 4A–C and is an observation that is a strong indication of bistability. Figure 4D shows a raster plot and voltage traces for the asynchronous spike pattern, and Figure 4E shows the same for burst synchronization. A comparison of the blue and red curves in Figure 4F–H shows the exact transition area from asynchronous activity to bursting synchronization.
The results demonstrate that the slow potassium current (here considered as mS/cm2) can promote bistable dynamics in neuronal networks. This type of observation related to a biophysically grounded parameter is a key factor in understanding how bistability relates to other brain phenomena, such as decision making or pathologies such as epilepsy. The transition from spike to network burst was observed in [18] for the adaptative exponential integrate-and-fire neuron model, and, later, bistability in neuronal networks using this simple neuron model was related to epileptic seizures elsewhere [34,84].
3.4. Calcium Effects in the Bistability
We showed that a slow potassium current is necessary to observe bistability. A natural question that arises from our work is how the firing transition and the bistable dynamics depend on the single-cell calcium ionic channels. In this section, we discuss how quantitative changes emerge for different combinations of calcium currents. Figure 5 shows how CV values depend on constant current and chemical synaptic conductance (I,) with respect to different values of . The bistable parameter region is identified in white and separate black and reddish/blueish regions for asynchronous spikes (low CV) to synchronous bursts (high CV), respectively. Figure S3 demonstrates that these qualitative patterns are maintained for the firing frequency F and the mean order parameter R.
Figure 5.
Effect of calcium currents in the burst synchronization in space parameters as a function of input current (I) and chemical synaptic conductance (). (A–D) Coefficient of variation (CV) for different combinations of (see values atop). (A) Model with slow potassium and without calcium currents, the same parameters of Figure 4. (B) Model with slow potassium and only low-threshold calcium current (). (C) Model with slow potassium and only high-threshold calcium current (). (D) Model with slow potassium and both low-threshold and high-threshold calcium currents ( and ).
Indeed, the transition area changes according to the presence of ionic currents. The parameters and I are sensitive to changes with respect to . In particular, high-threshold calcium, controlled by , is the one that causes a greater change by allowing transitions at lower values of the (Figure 5C). Furthermore, the synchronous area (reddish/blueish) is larger for the high-threshold calcium change, allowing for burst synchronization for pA. In contrast, low-threshold calcium promotes the opposite effect by slightly increasing the value of necessary to observe a transition (compare Figure 5A,B and Figure 5C,D). Figure S4 shows the dynamic behavior of currents generated by each active conductance in a neuron during the bistable regime. The analysis includes the total synaptic current (), the total ionic current (), the fraction of outward ionic currents, and the fraction of inward ionic currents. See [85] for a detailed analysis of currents in neural models with different conductance densities.
Our results show that calcium has a double effect in promoting the bistability of asynchronous/synchronous activity that we observed: it can either facilitate it by allowing lower values of to act on the transition when the high-threshold calcium channel is used or make it harder via an opposite effect mediated by the low-threshold calcium channel.
4. Discussion and Conclusions
In this work, we extend the analysis of bistable firing transitions in neurons and networks [34,61,62,63] considering the effect of potassium and calcium currents. To quantify these firing patterns, we employ the usual measures, including the firing rate, CV, and synchronization level. This provides an important link to the role of these ionic currents in controlling the network behavior. We notice that in the absence of the joint effect of potassium and calcium, there is only a spike synchronization pattern, and bursts at the single-cell level are not observed. In the presence of slow potassium and calcium currents, bistability is identified by hysteresis among synchronized bursting and asynchronous activity. It is worth noting a significant distinction from the study conducted by [34], which utilized the adaptative exponential integrate-and-fire neuron model. In our current model, we not only observe the effects but also establish a direct link to the underlying neurobiology, enabling us to propose experimental interventions that can be tested empirically through the manipulation of ionic currents.
Different voltage-dependent ion channels are responsible for the control of excitability and can play an intrinsic role in pathologies, such as epilepsy [86,87,88], Parkinson’s [89], and Alzheimer’s disease [90]. In particular, potassium and calcium ions have been found to play a role in many of these diseases [91,92,93]. In addition, some research has evidenced that blocking such ion channels can play a role in avoiding the mechanism associated with the emergence of epileptic activities [94]. Detailed investigations have been devoted to identifying the variations and mutations of calcium and potassium ion channels that exert the most influence on epileptic activity [95].
The opening and closing of such ion channels can have different effects on neuronal excitability. The majority of potassium ion channels open when the membrane depolarizes and close when it hyperpolarizes. The M current, in particular, acts in the subthreshold domain and limits the ability of the neuron to fire repetitively [96]. Their involvement in epileptic activities is still being investigated [97,98], and some recent research studying the lost- and gain-of-function of such ions has started to clarify these issues [2,99]. Besides that, mutations in potassium channels have also been identified as an important factor in the parthenogenesis of human epilepsy [100]. Such mutations and anomalies can be generated by external factors, e.g., the use of drug substances that have evidenced potential for changing the expression of potassium channels [101]. Recently, precise studies and therapies have focused on the mutation of potassium channel genes [102]. It is clearly important to further investigate how channel-blocking mechanisms can serve to control network activity [103,104].
Regarding calcium, we have shown that neurons embedded with these channels can exhibit a spike-to-burst transition [105]. In particular, two types of calcium currents are highlighted: L-type and T-type. The former, where “L” stands for large or long-lasting, is a high-voltage activated channel. The latter, where “T” stands for transient, is a low-voltage activated channel. Calcium currents are highly involved in network high synchronous patterns that are observed in epileptic seizures [106]. Not surprisingly, calcium channel blockers may act as anti-seizure drugs for prevention and treatment [107,108], i.e., the blocking of such ion channels can attenuate the burst firing pattern [109] and hinders epileptic depolarization [110]. Nonetheless, it is challenging to develop drugs that are subtype-specific, and in most cases, they have not been developed yet [111]. Thus, understanding the spike-to-burst pattern through computer simulations and neuroinformatics has the potential to elucidate the emergence of synchronous patterns related to epileptic activities [112]. A combined treatment using calcium channels blockers was demonstrated to be beneficial in anticonvulsant and antinociceptive effects [113] (for the reader interested in channel blockers, please see the list in [111]). According to our results, whereas L-type channels make transitions easier by lowering the value of synaptic strength () necessary for the transition, T-type channels have the opposite effect.
Admittedly, there is yet a joint effect of potassium and calcium currents that we have not addressed in our simulations, which is the one provided by Ca2+-dependent K+ currents ( [114,115,116]. These potassium currents, influenced by calcium concentration, are known to induce prolonged hyperpolarization pauses, thereby significantly impacting the firing properties of neurons. The exploration of their intricate behavior is a key aspect of our future research plans. In future work, we will also analyze the effect of the hyperpolarization-activated cation current () [117] and the persistent Na+ current [118] on the bistability.
Our results also extend the current knowledge of the joint effect of calcium and potassium ion channels in the context of other important firing pattern transitions. Based on our analysis, we can predict the ionic blockers required to avoid and treat high synchronous activity. These blockers would change the single-cell bursts that may result in epileptic seizures to asynchronous activity. In particular, we have evidence of the role of such ion channels not only in the spike-to-burst firing pattern transition but also in the relation of such transition with the synchronous patterns. Furthermore, we can gain insights by examining situations where the channels are blocked selectively, rather than all simultaneously.
Supplementary Materials
The following supporting information can be downloaded at https://www.mdpi.com/2076-3425/13/9/1347/s1, Figure S1: Model of regular spiking neuron, with , , and ; Figure S2: Firing pattern for different and conductances; Figure S3: Changes in network firing pattern with input current (I) and chemical synaptic conductance (); Figure S4: Dynamics of ionic currents in a neuron during the bistable regime.
Author Contributions
F.S.B., P.R.P. and R.F.O.P.: Conceived the work. F.S.B., P.R.P., C.F.B. and S.D.-B.: Developed the codes. F.S.B., P.R.P., D.L.M.S., C.F.B., E.C.G., L.E.B., J.D.S.J., A.M.B., I.L.C., S.D.-B. and R.F.O.P.: Analyzed the simulations, discussed the results, wrote and corrected the manuscript. All authors have read and agreed to the published version of the manuscript.
Funding
The authors acknowledge the financial support from São Paulo Research Foundation (FAPESP, Brazil) (Grants N. 2018/03211-6, 2020/04624-2, 2021/12232-0, 2022/13761-9), Fundação Araucária, CNPq, Coordenação de Aperfeiçoamento de Pessoal de Nível Superior—Brasil (CAPES), and NIH U24EB028998.
Institutional Review Board Statement
Not applicable.
Informed Consent Statement
Not applicable.
Data Availability Statement
Numerical simulations and analyses were implemented using custom C and Python code, using the NetPyNE modeling tool and the NEURON simulation engine, and can be freely accessed in https://github.com/FernandoSBorges/BistabilityHH (accessed on 1 September 2023). Data can be made available upon request.
Conflicts of Interest
The authors declare no conflict of interest.
References
- Hodgkin, A.L.; Huxley, A.F. A quantitative description of membrane current and its application to conduction and excitation in nerve. J. Physiol. 1952, 117, 500–544. [Google Scholar] [CrossRef]
- Dalla Porta, L.; Barbero-Castillo, A.; Sanchez-Sanchez, J.M.; Sanchez-Vives, M.V. M-current modulation of cortical slow oscillations: Network dynamics and computational modeling. PLoS Comput. Biol. 2023, 19, e1011246. [Google Scholar] [CrossRef] [PubMed]
- Burke, K.J., Jr.; Bender, K.J. Modulation of ion channells in the axon: Mechanism and function. Front. Cell. Neurosci. 2019, 13, 221. [Google Scholar] [CrossRef]
- Ranjan, R.; Logette, E.; Marani, M.; Herzog, M.; Tâche, V.; Scantamburlo, E.; Buchillier, V.; Markram, H. A kinetic map of the homomeric voltage-gated potassium channel (Kv) family. Front. Cell. Neurosci. 2019, 13, 358. [Google Scholar] [CrossRef] [PubMed]
- Smith, R.S.; Walsh, C.A. Ion channel functions in early brain development. Trends Neurosci. 2020, 43, 103–114. [Google Scholar] [CrossRef] [PubMed]
- Bando, Y.; Ishibashi, M.; Yamagishi, S.; Fukuda, A.; Sato, K. Orchestration of ion channels and transporters in neocortical development and neurological disorders. Front. Neurosci. 2022, 16, 827284. [Google Scholar] [CrossRef]
- Hou, P.; Du, X.; An, H. Editorial: Ion channels: Therapeutic targets for neurological disease. Front. Mol. Neurosci. 2021, 14, 797327. [Google Scholar] [CrossRef]
- Hübner, C.; Jentsch, T.J. Ion channel diseases. Hum. Mol. Genet. 2002, 11, 2435–2445. [Google Scholar] [CrossRef]
- Kecskes, M.; Peigneur, S.; Held, K. Editorial: Contribution of ion channels to neuropathologies. Front. Cell Dev. Biol. 2023, 11, 1179663. [Google Scholar] [CrossRef]
- Podlaski, W.F.; Seeholzer, A.; Groschner, L.N.; Miesenöck, G.; Ranjan, R.; Vogels, T.P. Mapping the function of neuronal ion channels in model and experiment. eLife 2017, 6, e22152. [Google Scholar] [CrossRef]
- Nayak, L.; Dasgupta, A.; Das, R.; Ghosh, K.; De, R.K. Computational neuroscience and neuroinformatics: Recent progress and resources. J. Biosci. 2018, 43, 1037–1054. [Google Scholar] [CrossRef] [PubMed]
- Mishra, A.; Majhi, S.K. A comprehensive survey of recent developments in neuronal communication and computational neuroscience. J. Ind. Inf. Integration 2019, 13, 40–54. [Google Scholar] [CrossRef]
- Barbulescu, R.; Mestre, G.; Oliveira, A.L.; Silveira, L.M. Learning the dynamics of realistic models of C. elegans nervous system with recurrent neural networks. Sci. Rep. 2023, 13, 467. [Google Scholar] [CrossRef]
- Cannon, R.C.; D’Alessandro, G. The ion channel inverse problem: Neuroinformatics meets biophysics. PLoS Comput. Biol. 2006, 2, e91. [Google Scholar] [CrossRef]
- Lin, C.-Y.; Chen, P.-H.; Lin, H.-H.; Huang, W.-M. U(1) dynamics in neuronal activities. Sci. Rep. 2022, 12, 17629. [Google Scholar] [CrossRef]
- Hansen, M.; Protachevicz, P.R.; Iarosz, K.C.; Caldas, I.L.; Batista, A.M.; Macau, E.E. Dynamics of uncoupled and coupled neurons under external pulsed currents. Chaos Solit. Fractals 2022, 155, 11734. [Google Scholar] [CrossRef]
- Izhikevich, E.M. Dynamical Systems in Neuroscience; MIT Press: Cambridge, MA, USA, 2007. [Google Scholar]
- Borges, F.S.; Protachevicz, P.R.; Lameu, E.L.; Bonetti, R.C.; Iarosz, K.C.; Caldas, I.L.; Baptista, M.S.; Batista, A.M. Synchronous behaviour in network model based on human cortico-cortical connections. Neural Netw. 2017, 90, 074006. [Google Scholar]
- Protachevicz, P.R.; Borges, R.R.; Reis, A.S.; Borges, F.S.; Iarosz, K.C.; Caldas, I.L.; Lameu, E.L.; Macau, E.E.N.; Viana, R.L.; Sokolov, I.M.; et al. Synchronous behaviour in network model based on human cortico-cortical connections. Physiol. Meas. 2018, 39, 7. [Google Scholar] [CrossRef]
- Jiao, X.; Wang, R. Synchronous firing patterns of neuronal population with excitatory and inhibitory connections. Int. J. Non Linear Mech. 2010, 45, 647–651. [Google Scholar] [CrossRef]
- Wang, H.; Ma, J.; Chen, Y.; Chen, Y. Effect of an autapse on the firing pattern transition in a bursting neuron. Commun. Nonlinear Sci. Numer. Simul. 2014, 19, 3242–3254. [Google Scholar] [CrossRef]
- Santos, M.S.; Protachevicz, P.R.; Iarosz, K.C.; Caldas, I.L.; Viana, R.L.; Borges, F.S.; Ren, H.-P.; Szezech, J.D.; Batista, A.M.; Grebogi, C. Spike-burst chimera states in an adaptive exponential integrate-and-fire neuronal network. Chaos 2019, 29, 4. [Google Scholar] [CrossRef]
- Protachevicz, P.R.; Iarosz, K.C.; Caldas, I.L.; Antonopoulos, C.G.; Batista, A.M.; Kurths, J. Influence of autapses on synchronization in neural networks with chemical synapses. Front. Syst. Neurosci. 2020, 14, 604563. [Google Scholar] [CrossRef]
- Protachevicz, P.R.; Hansen, M.; Iarosz, K.C.; Caldas, I.L.; Batista, A.M.; Kurths, J. Emergence of neuronal synchronization in coupled areas. Front. Comput. Neurosci. 2021, 15, 663408. [Google Scholar] [CrossRef]
- Pena, R.F.O.; Lima, V.; Shimoura, R.O.; Paulo Novato, J.; Roque, A.C. Optimal Interplay between Synaptic Strengths and Network Structure Enhances Activity Fluctuations and Information Propagation in Hierarchical Modular Networks. Brain Sci. 2020, 10, 228. [Google Scholar] [CrossRef]
- Huang, S.; Zhang, J.; Wang, M.; Hu, C.-H. Firing patterns transitions and desynchronization induced by time delay in neural networks. Physica A 2018, 499, 88–97. [Google Scholar] [CrossRef]
- Protachevicz, P.R.; Borges, F.S.; Iarosz, K.C.; Baptista, M.S.; Lameu, E.L.; Hansen, M.; Caldas, I.L.; Szezech, J.D., Jr.; Batista, A.M.; Kurths, J. Influence of delayed conductance on neuronal synchronization. Front. Physiol. 2020, 11, 1053. [Google Scholar] [CrossRef] [PubMed]
- Pena, R.F.O.; Zaks, M.A.; Roque, A.C. Dynamics of spontaneous activity in random networks with multiple neuron subtypes and synaptic noise. J. Comput. Neurosci. 2018, 45, 1–28. [Google Scholar] [CrossRef]
- Protachevicz, P.R.; Bonin, C.A.; Iarosz, K.C.; Caldas, I.L.; Batista, A.M. Large coefficient of variation of inter-spike intervals induced by noise current in the resonate-and-fire model neuron. Cogn. Neurodyn. 2022, 16, 1461–1470. [Google Scholar] [CrossRef]
- Protachevicz, P.R.; Santos, M.S.; Seifert, E.G.; Gabrick, E.C.; Borges, F.S.; Borges, R.R.; Trobia, J.; Szezech, J.D., Jr.; Iarosz, K.C.; Caldas, I.L.; et al. Noise induces continuous and non-continuous transitions in neuronal interspike interval range. Indian Acad. Sci. Conf. Ser. 2020, 3, 1. [Google Scholar]
- Lowet, E.; Sheehan, D.J.; Chialva, U.; Pena, R.D.O.; De Mount, R.A.; Xiao, S.; Zhou, S.L.; Tseng, H.; Gritton, H.; Shroff, S.; et al. Theta and gamma rhythmic coding through two spike output modes in the hippocampus during spatial navigation. Cell Rep. 2023, 42, 112906. [Google Scholar] [CrossRef] [PubMed]
- Gu, H.; Pan, B.; Xu, J. Experimental observation of spike, burst, and chaos synchronization of calcium concentration oscillations. Europhys. Lett. 2014, 106, 50003. [Google Scholar] [CrossRef]
- Århem, P.; Klement, G.; Blomberg, C. Channel density regulation of firing patterns in a cortical neuron model. Biophys. J. 2006, 90, 4392–4404. [Google Scholar] [CrossRef] [PubMed]
- Protachevicz, P.R.; Borges, F.S.; Lameu, E.L.; Ji, P.; Iarosz, K.C.; Kihara, A.L.; Caldas, I.L.; Szezech, J.D., Jr.; Baptista, M.S.; Macau, E.E.N.; et al. Bistable firing patterns in a neural network model. Front. Comput. Neurosci. 2019, 13, 19. [Google Scholar] [CrossRef] [PubMed]
- Cooper, D.C.; Chung, S.; Spruston, N. Output-mode transitions are controlled by prolonged inactivation of sodium channels in pyramidal neurons of subiculum. PLoS Biol. 2005, 3, e175. [Google Scholar] [CrossRef]
- Wang, L.; Wang, Y.; Fu, W.-L.; Cao, L.-H. Modulation of neuronal dynamic range using two different adaptation mechanisms. Neural Regen. Res. 2017, 12, 3. [Google Scholar] [CrossRef]
- Benda, J. Neural adaptation. Curr. Biol. 2021, 31, R110–R116. [Google Scholar] [CrossRef]
- Trinh, A.; Girardi-Schappo, M.; Béïque, J.; Longtin, A.; Maler, L. Dentate gyrus mossy cells exhibit sparse coding via adaptive spike threshold dynamics. bioRxiv 2022, bioRxiv483263. [Google Scholar]
- Ha, G.E.; Cheong, E. Spike frequency adaptation in neuron of the central nervous system. Exp. Neurobiol. 2017, 26, 179. [Google Scholar] [CrossRef]
- Pospischil, M.; Toledo-Rodriguez, M.; Monier, C.; Piwkowska, Z.; Bal, T.; Frégnac, Y.; Destexhe, A. Minimal Hodgkin–Huxley type models for different classes of cortical and thalamic neurons. Biol. Cybern. 2008, 99, 427–441. [Google Scholar] [CrossRef]
- Wang, J.; Deng, B.; Gao, T.; Jiang, W.; Hong, T. Spike-frequency adaptation inhibits the pairwise spike correlation. Front. Neurosci. 2023, 17, 1193930. [Google Scholar] [CrossRef]
- Berger, S.D.; Crook, S.M. Modeling the influence of ion channels on neuron dynamics in Drosophila. Front. Comput. Neurosci. 2015, 9, 139. [Google Scholar] [CrossRef] [PubMed]
- Lu, T.; Wade, K.; Hong, H.; Sanchez, J.T. Ion channel mechanisms underlying frequency-firing patterns of the avian nucleous magnocellularis: A computational model. Channels 2017, 11, 444–458. [Google Scholar] [CrossRef] [PubMed]
- Landisman, C.E.; Long, M.A.; Beierlein, M.; Deans, M.R.; Paul, D.L.; Connors, B.W. Electrical synapses in the thalamic reticular nucleos. J. Neurosci. 2002, 22, 1002–1009. [Google Scholar] [CrossRef] [PubMed]
- Svirskis, G.; Rinzel, J. Influence of temporal correlation of synaptic input on the rate and variability of firing in neurons. Biophys. J. 2000, 79, 629–637. [Google Scholar] [CrossRef] [PubMed]
- Borges, F.S.; Moreira, J.V.S.; Takarabe, L.M.; Lytton, W.W.; Dura-Bernal, S. Large-scale biophysically detailed model of somatosensory thalamocortical circuits in NetPyNE. Front. Neuroinform. 2022, 16, 884245. [Google Scholar] [CrossRef]
- Lu, Q.; Yang, Z.; Duan, L.; Gu, H.; Ren, W. Dynamics and transitions of firing patterns in deterministic and stochastic neuronal systems. Chaos Solit. Fractals 2009, 40, 577–597. [Google Scholar] [CrossRef]
- Maisel, B.; Lindenberg, K. Channel noise effects on neural synchronization. Phys. A Stat. Mech. Appl. 2020, 552, 123186. [Google Scholar] [CrossRef]
- Schmid, G.; Goychuk, I.; Hänggi, P. Channel noise and synchronization in excitable membranes. Phys. A Stat. Mech. Appl. 2003, 325, 165–175. [Google Scholar] [CrossRef]
- Boaretto, B.R.R.; Manchein, C.; Prado, T.L.; Lopes, S.R. The role of individual neuron ion conductance in the synchronization processes of neuron networks. Neural Netw. 2021, 137, 97–105. [Google Scholar] [CrossRef]
- Ladenbauer, J.; Augustin, M.; Shiau, L.; Obermayer, K. Impact of adaptation currents on synchronization of coupled exponential integrate-and-fire neurons. PLoS Comput. Biol. 2012, 8, e1002478. [Google Scholar] [CrossRef]
- Avoli, M. Mechanism of epileptiform synchronization in cortical neuronal networks. Curr. Med. Chem. 2014, 21, 653–662. [Google Scholar] [CrossRef]
- Traub, R.D.; Wong, R.K.S. Cellular mechanism of neuronal synchronization in epilepsy. Science 1982, 216, 745–747. [Google Scholar] [CrossRef] [PubMed]
- Hofer, K.T.; Kandrás, A.; Tóth, K.; Hajnal, B.; Bokodi, V.; Tóth, E.Z.; Eros, L.; Entz, L.; Bagó, A.G.; Fabó, D.; et al. Bursting of excitatory cells is linked to interictal epileptic discharge generation in humans. Nature 2022, 12, 6280. [Google Scholar] [CrossRef] [PubMed]
- Jiruska, P.; de Curtis, M.; Jefferys, J.G.; Schevon, C.A.; Schiff, S.J.; Schindler, K. Synchronization and desynchronization in epilepsy: Controversies and hypotheses. J. Physiol. 2013, 591, 787–797. [Google Scholar] [CrossRef]
- Chen, C.; Chen, L.; Lin, Y.; Zeng, S.; Luo, Q. The origin of spontaneous synchronized burst in cultured neuronal networks based on multi-electrode arrays. Biosystems 2006, 85, 137–143. [Google Scholar] [CrossRef]
- Matsumoto-Makidono, Y.; Nakayama, H.; Yamasaki, M.; Miyazaki, T.; Kobayashi, K.; Watanabe, M.; Hashimoto, K. Ionic basis for membrane potential resonance in neurons of the inferior olive. Cell Rep. 2016, 16, 994–1004. [Google Scholar] [CrossRef] [PubMed]
- Graef, J.; Nordskog, B.K.; Wiggins, W.F.; Godwin, S.W. An acquired channelopathy involving thalamic T-type Ca2+ channels after status epilepticus. J. Neurosci. 2009, 29, 4430–4441. [Google Scholar] [CrossRef]
- Becker, A.J.; Pitsch, J.; Sochivko, D.; Opitz, T.; Staniek, M.; Chen, C.-C.; Campbell, K.P.; Schoch, S.; Yaari, Y.; Beck, H. Transcriptional upregulation of Cav3.2 mediates epileptogenesis in pilocarpine model of epilepsy. J. Neurosci. 2008, 28, 13341–13353. [Google Scholar] [CrossRef]
- Su, H.; Sochivko, D.; Becker, A.; Chen, J.; Jiang, Y.; Yaari, Y.; Becker, H. Upregulation of a T-type Ca2+ channel causes a long-lasting modification of neuronal firing mode after status epilepticus. J. Neurosci. 2002, 22, 3645–3655. [Google Scholar] [CrossRef]
- Dovzhenok, A.; Kuznetsov, A.S. Exploring neuronal bistability at the depolatization block. PLoS ONE 2012, 7, e42811. [Google Scholar] [CrossRef]
- Tartaglia, E.M.; Brunel, N. Bistability and up/down state alternations in inhibition-dominated randomly connected networks of LIF neurons. Sci. Rep. 2017, 7, 11916. [Google Scholar] [CrossRef] [PubMed]
- Compte, A.; Sanchez-Vives, M.V.; McCormick, D.A.; Wang, X.-J. Cellular and Network Mechanism of slow oscillatory activity (1< Hz) and wave propagation in a cortical network model. J. Neurophysiol. 2003, 89, 5. [Google Scholar]
- Boaretto, B.R.R.; Budzinski, R.C.; Rossi, K.L.; Manchein, C.; Prado, T.L.; Feudel, U.; Lopes, S.R. Bistability in synchronization of identical neurons. Phys. Rev. E 2021, 104, 0240204. [Google Scholar] [CrossRef] [PubMed]
- Akcay, Z.; Xinxian, H.; Nadim, F.; Bose, A. Phase-locking and bistability in neuronal networks with synaptic depression. Phys. D Nonlinear Phenom. 2018, 364, 8–21. [Google Scholar] [CrossRef]
- Lu, Y.; Xin, X.; Rinzel, J. Bistability at the onset of neuronal oscillations. Biol. Cybern. 2023, 117, 61–79. [Google Scholar] [CrossRef]
- Fröhlich, F.; Bazhenov, M. Coexistence of tonic firing and bursting in cortical neurons. Phys. Rev. E 2006, 74, 031922. [Google Scholar] [CrossRef]
- Meng, J.H.; Riecke, H. Synchronization by uncorrelated noise: Interacting rhythms in interconnected oscillator networks. Sci. Rep. 2018, 8, 6949. [Google Scholar] [CrossRef]
- Kelso, J.A.S. Multistability and metastability: Understanding dynamic coordination in the brain. Philos. Trans. R. Soc. B Biol. Sci. 2012, 367, 906–918. [Google Scholar] [CrossRef]
- Silva, F.L.; Blanes, W.; Kalitzin, S.N.; Parra, J.; Suffczynski, P.; Velos, D.N. Epilepsies as dynamical diseases of brain systems: Basic models of the transition between normal and epileptic activity. Epilepsia 2003, 44, 72–83. [Google Scholar] [CrossRef]
- Dayan, P.; Abbott, L.F. Theoretical Neuroscience: Computational and Mathematical Modeling of Neural; MIT Press: Cambridge, MA, USA, 2005; pp. 160–162. [Google Scholar]
- Traub, R.D.; Miles, R. Neuronal Networks of the Hippocampus; Cambridge University Press: Cambridge, UK, 1991. [Google Scholar]
- Yamada, W.M.; Koch, C.; Adams, P.R. Multiple Channels and Calcium Dynamics, Methods in Neuronal Modeling: From Synapses to Networks; MIT Press: Cambridge, MA, USA, 1989; pp. 97–134. [Google Scholar]
- Destexhe, A.; Neubig, M.; Ulrich, D.; Huguenard, J. Dendritic low-threshold calcium currents in thalamic relay cells. J. Neurosci. 1998, 18, 3574–3588. [Google Scholar] [CrossRef]
- Reuveni, I.; Friedman, A.; Amitai, Y.; Gutnick, M.J. Stepwise repolarization from Ca2+ plateaus in neocortical pyramidal cells: Evidence for nonhomogeneous distribution of HVA Ca2+ channels in dendrites. J. Neurosci. 1993, 13, 4609–4621. [Google Scholar] [CrossRef] [PubMed]
- Destexhe, A.; Bal, T.; McCormick, D.A.; Sejnowski, T.J. Ionic mechanisms underlying synchronized oscillations and propagating waves in a model of ferret thalamic slices. J. Neurophysiol. 1996, 76, 2049–2070. [Google Scholar] [CrossRef] [PubMed]
- Huguenard, J.R.; McCormick, D.A. Simulation of the currents involved in rhythmic oscillations in thalamic relay neurons. J. Neurophysiol. 1992, 68, 1373–1383. [Google Scholar] [CrossRef]
- Noback, C.R.; Ruggiero, D.A.; Strominger, N.L.; Demarest, R.J. The Human Nervous System: Structure and Function; Springer Science & Business Media: Berlin/Heidelberg, Germany, 2005; p. 744. [Google Scholar]
- Borges, F.S.; Protachevicz, P.R.; Pena, R.F.O.; Lameu, E.L.; Higa, G.S.V.; Kihara, A.H.; Matias, F.S.; Antonopoulos, C.G.; de Pasquale, R.; Roque, A.C.; et al. Self-sustained activity of low firing rate in balanced networks. Phys. A Stat. Mech. Appl. 2020, 537, 122671. [Google Scholar] [CrossRef]
- Kuramoto, Y. Chemical Oscillations, Waves, and Turbulence; Springer: Berlin/Heidelberg, Germany, 1984. [Google Scholar]
- Hansen, M.; Protachevicz, P.R.; Iarosz, K.C.; Caldas, I.L.; Batista, A.M.; Macau, E.E.N. The effect of time delay for synchronisation suppression in neuronal networks. Chaos Solit. Fractals 2022, 164, 112690. [Google Scholar] [CrossRef]
- Dura-Bernal, S.; Suter, B.A.; Gleeson, P.; Cantarelli, M.; Quintana, A.; Rodriguez, F.; Kedziora, D.J.; Chadderdon, F.L.; Kerr, C.C.; Neymotin, S.A.; et al. NetPyNE, a tool for data-driven multiscale modeling of brain circuits. eLife 2019, 8, e44494. [Google Scholar]
- Vijayan, S.; Hale, G.J.; Moore, C.I.; Brown, E.N.; Wilson, M. Activity in the barrel cortex during active behavior and sleep. J. Neurophysiol. 2010, 103, 2074–2084. [Google Scholar] [CrossRef]
- Borges, F.S.; Gabrick, E.C.; Protachevicz, P.R.; Higa, G.S.V.; Lameu, E.L.; Rodriguez, P.X.R.; Ferraz, M.S.A.; Szezech, J.D.; Batista, A.M.; Kihara, A.H. Intermittency properties in a temporal lobe epilepsy model. Epilepsy Behav. 2023, 139, 109072. [Google Scholar] [CrossRef]
- Alonso, L.M.; Marder, E. Visualization of currents in neural models with similar behavior and different conductance densities. eLife 2019, 8, e42722. [Google Scholar] [CrossRef]
- Eun, S.H.; Kim, H.D.; Eun, B.L.; Lee, I.K.; Chung, H.J.; Kim, J.S.; Kang, H.C.; Lee, Y.M.; Suh, E.S.; Kim, D.W.; et al. Comparative trial of low- and high-dose zonisamide as monotherapy for childhood epilepsy. Seizure 2011, 20, 558–563. [Google Scholar] [CrossRef]
- Zhang, S.; Zhu, Y.; Cheng, J.; Tao, J. Ion channels in epilepsy: Blasting fuse for neuronal hyperexcitability. In Epilepsy—Advances in Diagnosis and Therapy; Al-Zwaini, I.J., Albadri, B.A.-H., Eds.; IntechOpen: London, UK, 2018; Chapter 10. [Google Scholar]
- Palmer, E.E. Potassium channel mutations in epilepsy. In The Oxford Handbook of Neuronal Ion Channels; Bhattacharjee, A., Ed.; Oxford University Press: Oxford, UK, 2018. [Google Scholar]
- Chen, X.; Feng, Y.; Quinn, R.J.; Pountney, D.L.; Richardson, D.R.; Mellick, G.D.; Ma, L. Potassium Channels in Parkinson’s Disease: Potential Roles in Its Pathogenesis and Innovative Molecular Targets for Treatment. Pharmacol. Rev. 2023, 75, 758–788. [Google Scholar]
- Xu, J.-H.; Tang, F.-R. Voltage-dependent calcium channels, calcium binding proteins, and their interaction in the pathological process of epilepsy. Int. J. Mol. Sci. 2018, 19, 2735. [Google Scholar] [CrossRef]
- Jorge, B.S.; Campbell, C.M.; Miller, A.R.; Kearney, J.A. Voltage-gated potassium channel KCNV2 (Kv8.2) contributes to epilepsy susceptibility. Proc. Natl. Acad. Sci. USA 2011, 108, 5443–5448. [Google Scholar] [CrossRef] [PubMed]
- Zamponi, G.W.; Lory, P.; Perez-Reyes, E. Role of voltage-gate calcium channels in epilepsy. Neuroscience 2010, 460, 395–403. [Google Scholar]
- Zamponi, G.W.; Striessnig, J.; Koschak, A.; Dolphin, A.C. The physiology, and pharmacology of voltage-gated calcium channels and their future therapeutic potential. Pharmacol. Rev. 2015, 67, 821–870. [Google Scholar] [PubMed]
- Han, D.-Y.; Guan, B.-J.; Wang, Y.-J.; Hatzoglou, M.; Mu, T.-W. L-type calcium channel blockers enhance trafficking and function of epilepsy-associated α1(D219N) subunits of GABAA receptors. J. Am. Chem. Soc. 2015, 15, 2135–2148. [Google Scholar] [CrossRef] [PubMed]
- Köhling, R.; Wolfart, J. Potassium channels in Epilepsy. Cold Spring Harb. Perspect. Med. 2016, 6, a022871. [Google Scholar] [CrossRef] [PubMed]
- Passmore, G.M.; Reilly, J.M.; Thakur, M.; Keasberry, V.N.; Marsh, S.J.; Dickenson, A.H.; Brown, D.A. Functional significance of M-type potassium channels in nociceptive cutaneous sensory endings. Front. Mol. Neurosci. 2012, 5, 63. [Google Scholar] [CrossRef]
- Cooper, E.C. Potassium Channels (including KCNQ) and Epilepsy. In Jasper’s Basic Mechanisms of the Epilepsies, 4th ed.; Noebels, J.L., Avoli, M., Rogawski, M.A., Olsen, R., Delgado-Escueta, A.V., Eds.; National Center for Biotechnology Information (US): Bethesda, MD, USA, 2012. [Google Scholar]
- Humphries, E.S.A.; Dart, C. Neuronal and cardiovascular Potassium channels as therapeutic drug targets: Promise and pitfalls. J. Biomol. Screen. 2015, 20, 1055–1073. [Google Scholar]
- Niday, Z.; Tzingounis, A.V. Potassium channel gain of function in epilepsy: An unresolved paradox. Neuroscientist 2018, 24, 368–380. [Google Scholar]
- Villa, C.; Combi, R. Potassium channels and human epileptic phenotypes: An updated overview. Front. Cell. Neurosci. 2016, 10, 81. [Google Scholar] [CrossRef] [PubMed]
- McCoy, M.T.; Jayanthi, S.; Cadet, J.L. Potassium channels and their potential roles in substance use disorders. Int. J. Mol. Sci. 2021, 22, 1249. [Google Scholar] [CrossRef] [PubMed]
- Gao, K.; Lin, Z.; Wen, S.; Jiang, Y. Potassium channels and epilepsy. Acta Neurol. Scand. 2022, 146, 699–707. [Google Scholar] [CrossRef] [PubMed]
- Smart, S.L.; Lopantsev, V.; Zhang, C.L.; Robbins, C.A.; Wang, H.; Chiu, S.Y.; Schwartzkroin, P.A.; Messing, A.; Tempel, B.L. Deletion of the Kv1.1 Potassium channel causes epilepsy in mice. Neuron 1998, 20, 809–819. [Google Scholar] [CrossRef]
- Ågren, R.; Nilsson, J.; Århem, P. Closed and open state dependent block of potassium channels cause opposing effects on excitability—A computational approach. Sci. Rep. 2019, 9, 8175. [Google Scholar] [CrossRef]
- Rajakulendran, S.; Hanna, M.G. The role of calcium channels in epilepsy. Cold Spring Harb. Perspect. Med. 2016, 6, a022723. [Google Scholar] [CrossRef]
- Powell, K.L.; Cain, S.M.; Snutch, T.P.; O’Brien, T.J. Low threshold T-type calcium channels as targets for novel epilepsy treatments. Br. J. Clin. Pharmacol. 2013, 77, 729–739. [Google Scholar] [CrossRef]
- Roopa, B.; Janardhan, M.; Karunasree, P. Effect of calcium blocker as anticonvulsant and its potentiating effect when used along with sodium valproate in pentylenetetrazole induced seizures in Albino rats. Int. J. Basic Clin. Pharmacol. 2008, 7, 714. [Google Scholar]
- Willmore, L.J. Calcium antagonists and epilepsy. Mayo Clin. Proc. 1995, 80, 70–715. [Google Scholar] [CrossRef]
- Tringham, E.; Powell, K.L.; Cain, S.M.; Kuplast, K.; Mezeyoya, J.; Weerapura, M.; Eduljee, C.; Jiang, X.; Smith, P.; Morrison, J.-L.; et al. T-Type calcium channel blockers that attenuate thalamic burst firing and suppress absense seizures. Epilepsy 2012, 4, 121. [Google Scholar]
- Kulak, W.; Sobaniec, W.; Wojtal, K.; Czuczwar, S.J. Calcium modulation in epilepsy. Pol. J. Pharmacol. 2004, 56, 29–41. [Google Scholar] [PubMed]
- Kopecky, B.J.; Liang, R.; Bao, J. T-type calcium channel blockers as neuroprotective agents. Pflug. Arch. Eur. J. Physiol. 2014, 466, 757–765. [Google Scholar] [CrossRef] [PubMed]
- Cain, S.M.; Snutch, T.P. T-type calcium channels in burst-firing, network synchrony, and epilepsy. Biochim. Biophys. Acta 2018, 1828, 1572–1578. [Google Scholar] [CrossRef]
- El-Azab, M.F.; Moustafa, Y.M. Influence of calcium channel blockers on anticonvulsant and antinociceptive activities of valproic acid in pentylenetetrazole-kindled mice. Pharmacol. Rep. 2012, 64, 305–314. [Google Scholar] [CrossRef] [PubMed]
- Gardos, G. The function of calcium in the potassium permeability of human erythrocytes. Biochim. Biophys. Acta Bioenerg. 1958, 30, 653–654. [Google Scholar] [CrossRef] [PubMed]
- Hille, B. Ionic channels in excitable membranes. Current problems and biophysical approaches. Biophys. J. 1978, 22, 283–294. [Google Scholar] [CrossRef]
- Vergara, C.; Latorre, R.; Marrion, N.V.; Adelman, J.P. Calcium-activated potassium channels. Curr. Opin. Neurobiol. 1998, 8, 321–329. [Google Scholar] [CrossRef]
- Momin, A.; Cadiou, H.; Mason, A.; McNaughton, P.A. Role of the hyperpolarization-activated current Ih in somatosensory neurons. J. Physiol. 2008, 586, 5911–5929. [Google Scholar] [CrossRef]
- Stafstrom, C.E. Persistent sodium current and its role in epilepsy. Epilepsy Curr. 2007, 7, 15–22. [Google Scholar] [CrossRef]
Disclaimer/Publisher’s Note: The statements, opinions and data contained in all publications are solely those of the individual author(s) and contributor(s) and not of MDPI and/or the editor(s). MDPI and/or the editor(s) disclaim responsibility for any injury to people or property resulting from any ideas, methods, instructions or products referred to in the content. |
© 2023 by the authors. Licensee MDPI, Basel, Switzerland. This article is an open access article distributed under the terms and conditions of the Creative Commons Attribution (CC BY) license (https://creativecommons.org/licenses/by/4.0/).




