Relationships between Affect Recognition, Empathy, Alexithymia, and Co-Occurring Conditions in Autism
Abstract
1. Introduction
1.1. Empathy
1.2. Facial Affect Recognition
1.3. Alexithymia
1.3.1. Alexithymia and Affect Recognition
1.3.2. Alexithymia and Empathic Ability
1.4. Role of Verbal IQ in Emotion Processing
1.5. Conditions Co-Occurring with ASD
1.6. Current Study
2. Materials and Methods
2.1. Behavioral Measures
2.1.1. Inclusion Measures
Wechsler Abbreviated Scale of Intelligence—2nd Edition (WASI-II)
2.1.2. Measures of Autism Severity
Autism Diagnostic Observation Schedule—2nd Edition (ADOS-2)
Autism Diagnostic Interview-Revised (ADI-R)
The Social Responsiveness Scale (SRS-2)
Conners Parent Rating Scale (Conners-3)
2.1.3. Measures of Empathy
Interpersonal Reactivity Index (IRI)
2.1.4. Measures of Affect Recognition
NEPSY-II
2.1.5. Measure of Alexithymia
The Alexithymia Questionnaire for Children
2.1.6. Measures of ASD Symptomologies and Related Conditions
Repetitive Behavior Scale (RBS)—Revised (RBS-R)
Child Behavior Checklist (CBCL)
Screen for Child Anxiety Related Emotional Disorders (SCARED)
Gastrointestinal Symptom Rating Scale (GSRS)
Adolescent Sleep–Wake Scale (ASWS)
2.2. Data Analysis
3. Results
3.1. Between-Group Differences
3.1.1. Demographics
3.1.2. Empathy
3.1.3. Affect Recognition
3.1.4. Theory of Mind (ToM)
3.1.5. Alexithymia
3.1.6. Other Behavioral Measures
3.2. Correlations of Behavioral Measures
3.2.1. Correlations with Affect Recognition in ASD Group
Correlation of Affect Recognition with Demographics and Alexithymia
Correlation of Affect Recognition with Empathy
Correlation of Affect Recognition with Other Measures
3.2.2. Correlations with Empathy in the ASD Group
Correlations between Affective and Cognitive Empathy
Personal Distress
Empathetic Concern
Perspective Taking
Fantasy
3.3. Hierarchical Regression Analysis
3.3.1. Affect Recognition
3.3.2. Empathy
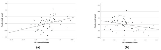
Personal Distress
Perspective Taking
4. Discussion
4.1. Affect Recognition
4.2. Empathy
4.3. Limitations
5. Conclusions
Supplementary Materials
Author Contributions
Funding
Institutional Review Board Statement
Informed Consent Statement
Data Availability Statement
Acknowledgments
Conflicts of Interest
References
- American Psychiatric Association, DSM-5 Task Force. Diagnostic and Statistical Manual of Mental Disorders: DSM-5™, 5th ed.; American Psychiatric Publishing, Inc.: Arlington, VA, USA, 2013. [Google Scholar] [CrossRef]
- Maenner, M.J.; Warren, Z.; Williams, A.R.; Amoakohene, E.; Bakian, A.V.; Bilder, D.A.; Durkin, M.S.; Fitzgerald, R.T.; Furnier, S.M.; Hughes, M.M.; et al. Prevalence and Characteristics of Autism Spectrum Disorder Among Children Aged 8 Years—Autism and Developmental Disabilities Monitoring Network, 11 Sites, United States, 2020. MMWR Surveill. Summ. 2023, 72, 1–14. [Google Scholar] [CrossRef] [PubMed]
- Sivathasan, S.; Fernandes, T.P.; Burack, J.A.; Quintin, E.-M. Emotion processing and autism spectrum disorder: A review of the relative contributions of alexithymia and verbal IQ. Res. Autism Spectr. Disord. 2020, 77, 101608. [Google Scholar] [CrossRef]
- Lassalle, A.; Zürcher, N.R.; Porro, C.A.; Benuzzi, F.; Hippolyte, L.; Lemonnier, E.; Åsberg Johnels, J.; Hadjikhani, N. Influence of anxiety and alexithymia on brain activations associated with the perception of others’ pain in autism. Soc. Neurosci. 2019, 14, 359–377. [Google Scholar] [CrossRef] [PubMed]
- Joukamaa, M.; Taanila, A.; Miettunen, J.; Karvonen, J.T.; Koskinen, M.; Veijola, J. Epidemiology of alexithymia among adolescents. J. Psychosom. Res. 2007, 63, 373–376. [Google Scholar] [CrossRef] [PubMed]
- Jessimer, M.; Markham, R. Alexithymia: A Right Hemisphere Dysfunction Specific to Recognition of Certain Facial Expressions? Brain Cogn. 1997, 34, 246–258. [Google Scholar] [CrossRef] [PubMed]
- Sönmez, D.; Jordan, T.R. Investigating associations between cognitive empathy, affective empathy and anxiety in adolescents with autism spectrum disorder. Int. J. Dev. Disabil. 2022; ahead-of-print. [Google Scholar] [CrossRef]
- Brett, J.D.; Maybery, M.T. Understanding Oneself to Understand Others: The Role of Alexithymia and Anxiety in the Relationships Between Autistic Trait Dimensions and Empathy. J. Autism Dev. Disord. 2022, 52, 1971–1983. [Google Scholar] [CrossRef]
- Baron-Cohen, S.; Wheelwright, S. The empathy quotient: An investigation of adults with asperger syndrome or high functioning autism, and normal sex differences. J. Autism Dev. Disord. 2004, 34, 163–175. [Google Scholar] [CrossRef]
- Harmsen, I.E. Empathy in Autism Spectrum Disorder. J. Autism Dev. Disord. 2019, 49, 3939–3955. [Google Scholar] [CrossRef]
- Song, Y.; Nie, T.; Shi, W.; Zhao, X.; Yang, Y. Empathy Impairment in Individuals With Autism Spectrum Conditions from a Multidimensional Perspective: A Meta-Analysis. Front. Psychol. 2019, 10, 1902. [Google Scholar] [CrossRef]
- Rogers, K.; Dziobek, I.; Hassenstab, J.; Wolf, O.T.; Convit, A. Who cares? Revisiting empathy in Asperger syndrome. J. Autism Dev. Disord. 2007, 37, 709–715. [Google Scholar] [CrossRef]
- Bos, J.; Stokes, M.A. Cognitive empathy moderates the relationship between affective empathy and wellbeing in adolescents with autism spectrum disorder. Eur. J. Dev. Psychol. 2019, 16, 433–446. [Google Scholar] [CrossRef]
- Mul, C.-L.; Stagg, S.D.; Herbelin, B.; Aspell, J.E. The Feeling of Me Feeling for You: Interoception, Alexithymia and Empathy in Autism. J. Autism Dev. Disord. 2018, 48, 2953–2967. [Google Scholar] [CrossRef] [PubMed]
- HirvelÄ, S.; Helkama, K. Empathy, values, morality and Asperger’s syndrome. Scand. J. Psychol. 2011, 52, 560–572. [Google Scholar] [CrossRef] [PubMed]
- Butera, C.D.; Harrison, L.; Kilroy, E.; Jayashankar, A.; Shipkova, M.; Pruyser, A.; Aziz-Zadeh, L. Relationships between alexithymia, interoception, and emotional empathy in autism spectrum disorder. Autism Int. J. Res. Pract. 2023, 27, 690–703. [Google Scholar] [CrossRef]
- Rueda, P.; Fernández-Berrocal, P.; Baron-Cohen, S. Dissociation between cognitive and affective empathy in youth with Asperger Syndrome. Eur. J. Dev. Psychol. 2015, 12, 85–98. [Google Scholar] [CrossRef]
- Fatima, M.; Babu, N. Cognitive and Affective Empathy in Autism Spectrum Disorders: A Meta-analysis. Rev. J. Autism Dev. Disord. 2023. [Google Scholar] [CrossRef]
- Bird, G.; Cook, R. Mixed emotions: The contribution of alexithymia to the emotional symptoms of autism. Transl. Psychiatry 2013, 3, e285. [Google Scholar] [CrossRef]
- Nagy, E.; Prentice, L.; Wakeling, T. Atypical Facial Emotion Recognition in Children with Autism Spectrum Disorders: Exploratory Analysis on the Role of Task Demands. Perception 2021, 50, 819–833. [Google Scholar] [CrossRef]
- Gross, T.F. The perception of four basic emotions in human and nonhuman faces by children with autism and other developmental disabilities. J. Abnorm. Child Psychol. 2004, 32, 469–480. [Google Scholar] [CrossRef]
- Zhao, X.; Zhang, P.; Fu, L.; Maes, J.H.R. Attentional biases to faces expressing disgust in children with autism spectrum disorders: An exploratory study. Sci. Rep. 2016, 6, 19381. [Google Scholar] [CrossRef] [PubMed]
- Hubl, D.; Bölte, S.; Feineis-Matthews, S.; Lanfermann, H.; Federspiel, A.; Strik, W.; Poustka, F.; Dierks, T. Functional imbalance of visual pathways indicates alternative face processing strategies in autism. Neurology 2003, 61, 1232–1237. [Google Scholar] [CrossRef]
- Law Smith, M.J.; Montagne, B.; Perrett, D.I.; Gill, M.; Gallagher, L. Detecting subtle facial emotion recognition deficits in high-functioning Autism using dynamic stimuli of varying intensities. Neuropsychologia 2010, 48, 2777–2781. [Google Scholar] [CrossRef]
- Ashwin, C.; Chapman, E.; Colle, L.; Baron-Cohen, S. Impaired recognition of negative basic emotions in autism: A test of the amygdala theory. Soc. Neurosci. 2006, 1, 349–363. [Google Scholar] [CrossRef] [PubMed]
- Aoki, Y.; Cortese, S.; Tansella, M. Neural bases of atypical emotional face processing in autism: A meta-analysis of fMRI studies. World J. Biol. Psychiatry 2015, 16, 291–300. [Google Scholar] [CrossRef] [PubMed]
- Oakley, B.F.M.; Brewer, R.; Bird, G.; Catmur, C. Theory of Mind Is Not Theory of Emotion: A Cautionary Note on the Reading the Mind in the Eyes Test. J. Abnorm. Psychol. 2016, 125, 818–823. [Google Scholar] [CrossRef]
- Ola, L.; Gullon-Scott, F. Facial emotion recognition in autistic adult females correlates with alexithymia, not autism. Autism Int. J. Res. Pract. 2020, 24, 2021–2034. [Google Scholar] [CrossRef]
- Milosavljevic, B.; Carter Leno, V.; Simonoff, E.; Baird, G.; Pickles, A.; Jones, C.R.G.; Erskine, C.; Charman, T.; Happé, F. Alexithymia in Adolescents with Autism Spectrum Disorder: Its Relationship to Internalising Difficulties, Sensory Modulation and Social Cognition. J. Autism Dev. Disord. 2016, 46, 1354–1367. [Google Scholar] [CrossRef] [PubMed]
- Keating, C.T.; Fraser, D.S.; Sowden, S.; Cook, J.L. Differences Between Autistic and Non-Autistic Adults in the Recognition of Anger from Facial Motion Remain after Controlling for Alexithymia. J. Autism Dev. Disord. 2022, 52, 1855–1871. [Google Scholar] [CrossRef]
- Shah, P.; Livingston, L.A.; Callan, M.J.; Player, L. Trait Autism is a Better Predictor of Empathy than Alexithymia. J. Autism Dev. Disord. 2019, 49, 3956–3964. [Google Scholar] [CrossRef]
- Bird, G.; Silani, G.; Brindley, R.; White, S.; Frith, U.; Singer, T. Empathic brain responses in insula are modulated by levels of alexithymia but not autism. Brain 2010, 133, 1515–1525. [Google Scholar] [CrossRef]
- Charman, T.; Pickles, A.; Simonoff, E.; Chandler, S.; Loucas, T.; Baird, G. IQ in children with autism spectrum disorders: Data from the Special Needs and Autism Project (SNAP). Psychol. Med. 2011, 41, 619–627. [Google Scholar] [CrossRef] [PubMed]
- Montebarocci, O.; Surcinelli, P.; Rossi, N.; Baldaro, B. Alexithymia, Verbal Ability and Emotion Recognition. Psychiatr. Q. 2011, 82, 245–252. [Google Scholar] [CrossRef] [PubMed]
- Lane, R.D.; Sechrest, L.; Reidel, R.; Weldon, V.; Kaszniak, A.; Schwartz, G.E. Impaired verbal and nonverbal emotion recognition in alexithymia. Psychosom. Med. 1996, 58, 203–210. [Google Scholar] [CrossRef] [PubMed]
- Welding, C.; Samur, D. Language processing in alexithymia. In Alexithymia: Advances in Research, Theory, and Clinical Practice; Cambridge University Press: New York, NY, USA, 2018; pp. 90–103. [Google Scholar]
- van Steensel, F.J.A.; Bögels, S.M.; Perrin, S. Anxiety disorders in children and adolescents with autistic spectrum disorders: A meta-analysis. Clin. Child Fam. Psychol. Rev. 2011, 14, 302–317. [Google Scholar] [CrossRef]
- Richdale, A.L. Sleep problems in autism: Prevalence, cause, and intervention. Dev. Med. Child Neurol. 1999, 41, 60–66. [Google Scholar] [CrossRef]
- Elrod, M.G.; Hood, B.S. Sleep differences among children with autism spectrum disorders and typically developing peers: A Meta-analysis. J. Dev. Behav. Pediatr. 2015, 36, 166–177. [Google Scholar] [CrossRef]
- McElhanon, B.O.; McCracken, C.; Karpen, S.; Sharp, W.G. Gastrointestinal symptoms in autism spectrum disorder: A meta-analysis. Pediatrics 2014, 133, 872–883. [Google Scholar] [CrossRef]
- Buie, T.; Fuchs, G.J., 3rd; Furuta, G.T.; Kooros, K.; Levy, J.; Lewis, J.D.; Wershil, B.K.; Winter, H. Recommendations for evaluation and treatment of common gastrointestinal problems in children with ASDs. Pediatrics 2010, 125 (Suppl. S1), S19–S29. [Google Scholar] [CrossRef]
- Chaidez, V.; Hansen, R.L.; Hertz-Picciotto, I. Gastrointestinal Problems in Children with Autism, Developmental Delays or Typical Development. J. Autism Dev. Disord. 2014, 44, 1117–1127. [Google Scholar] [CrossRef]
- Whelan, S.; Mannion, A.; Madden, A.; Berger, F.; Costello, R.; Ghadiri, S.; Leader, G. Examining the Relationship Between Sleep Quality, Social Functioning, and Behavior Problems in Children with Autism Spectrum Disorder: A Systematic Review. Nat. Sci. Sleep 2022, 14, 675–695. [Google Scholar] [CrossRef] [PubMed]
- Chang, F.; Klumpp, H. Sleep quality and emotion recognition in individuals with and without internalizing psychopathologies. J. Behav. Ther. Exp. Psychiatry 2022, 75, 101719. [Google Scholar] [CrossRef] [PubMed]
- Harrison, L.A.; Kats, A.; Kilroy, E.; Butera, C.; Jayashankar, A.; Keles, U.; Aziz-Zadeh, L. Motor and sensory features successfully decode autism spectrum disorder and combine with the original RDoC framework to boost diagnostic classification. Sci. Rep. 2021, 11, 7839. [Google Scholar] [PubMed]
- Kilroy, E.; Ring, P.; Hossain, A.; Nalbach, A.; Butera, C.; Harrison, L.; Jayashankar, A.; Vigen, C.; Aziz-Zadeh, L.; Cermak, S.A. Motor performance, praxis, and social skills in autism spectrum disorder and developmental coordination disorder. Autism Res. 2022, 15, 1649–1664. [Google Scholar] [CrossRef]
- Kilroy, E.; Krishnan, S.; Butera, C.; Harrison, L.; Jayashankar, A.; Hossain, A.; Nalbach, A.; Aziz-Zadeh, L. Emotion Production and Neural Correlates of Emotion Processing in Youths With Autism Spectrum Disorder: A Functional MRI Study. Am. J. Occup. Ther. 2021, 75, 7512505134p1. [Google Scholar] [CrossRef]
- Frolli, A.; Ricci, M.C.; Bosco, A.; Lombardi, A.; Cavallaro, A.; Operto, F.F.; Rega, A. Video modeling and social skills learning in asd-hf. Children 2020, 7, 279. [Google Scholar] [CrossRef]
- Rega, A.; Somma, F.; Lovino, L. Development of emotional skills through videomodeling: A case study with a non-verbal participant. Technol. Disabil. 2020, 32, 211–218. [Google Scholar] [CrossRef]
- Salvatore, V.; Caterina, M.; Angelo, R. Virtual reality and emotion regulation: A systematic review. In Proceedings of the Third Symposium on Psychology-Based Technologies (PSYCHOBIT2021), Naples, Italy, 4–5 October 2021; Volume 3100. [Google Scholar]
- Kourtesis, P.; Kouklari, E.-C.; Roussos, P.; Mantas, V.; Papanikolaou, K.; Skaloumbakas, C.; Pehlivanidis, A. Virtual Reality Training of Social Skills in Adults with Autism Spectrum Disorder: An Examination of Acceptability, Usability, User Experience, Social Skills, and Executive Functions. Behav. Sci. 2023, 13, 336. [Google Scholar] [CrossRef]
- Mesa-Gresa, P.; Gil-Gómez, H.; Lozano-Quilis, J.-A.; Gil-Gómez, J.-A. Effectiveness of virtual reality for children and adolescents with autism spectrum disorder: An evidence-based systematic review. Sensors 2018, 18, 2486. [Google Scholar] [CrossRef]
- Frolli, A.; Savarese, G.; Di Carmine, F.; Bosco, A.; Saviano, E.; Rega, A.; Carotenuto, M.; Ricci, M.C. Children on the Autism Spectrum and the Use of Virtual Reality for Supporting Social Skills. Children 2022, 9, 181. [Google Scholar] [CrossRef]
- Oldfield, R.C. The assessment and analysis of handedness: The Edinburgh inventory. Neuropsychologia 1971, 9, 97–113. [Google Scholar] [CrossRef]
- Canivez, G.L.; Konold, T.R.; Collins, J.M.; Wilson, G. Construct validity of the Wechsler Abbreviated Scale of Intelligence and Wide Range Intelligence Test: Convergent and structural validity. Sch. Psychol. Q. 2009, 24, 252–265. [Google Scholar] [CrossRef]
- Lord, C.; DiLavore, P.; Risi, S.; Gotham, K.; Bishop, S. (ADOS-2) Autism Diagnostic Observation Schedule. 2012. Available online: https://www.childrensresourcegroup.com/a-brief-overview-of-the-ados-2-an-assessment-for-autism-spectrum-disorder/ (accessed on 31 July 2023).
- Kanne, S.M.; Randolph, J.K.; Farmer, J.E. Diagnostic and Assessment Findings: A Bridge to Academic Planning for Children with Autism Spectrum Disorders. Neuropsychol. Rev. 2008, 18, 367–384. [Google Scholar] [CrossRef] [PubMed]
- Lord, C.; Rutter, M.; Couteur, A.L. Autism Diagnostic Interview-Revised: A revised version of a diagnostic interview for caregivers of individuals with possible pervasive developmental disorders. J. Autism Dev. Disord. 1994, 24, 659–685. [Google Scholar] [CrossRef] [PubMed]
- Constantino, J.N. Social Responsiveness Scale: SRS-2; Western Psychological Services: Hong Kong, China, 2012. [Google Scholar]
- Aldridge, F.J.; Gibbs, V.M.; Schmidhofer, K.; Williams, M. Investigating the Clinical Usefulness of the Social Responsiveness Scale (SRS) in a Tertiary Level, Autism Spectrum Disorder Specific Assessment Clinic. J. Autism Dev. Disord. 2012, 42, 294–300. [Google Scholar] [CrossRef] [PubMed]
- Conners, K.C.; Pitaken, J.; Rzepa, S.R. Conners 3rd Edition (Conners 3; Conners 2008). In Encyclopedia of Clinical Neuropsychology; Springer: Berlin/Heidelberg, Germany, 2008. [Google Scholar]
- Davis, M.H. Measuring individual differences in empathy: Evidence for a multidimensional approach. J. Personal. Soc. Psychol. 1983, 44, 113–126. [Google Scholar] [CrossRef]
- Davis, J.L.; Matthews, R.N. NEPSY-II Review: Korkman, M., Kirk, U., & Kemp, S. (2007). NEPSY—Second Edition (NEPSY-II). San Antonio, TX: Harcourt Assessment. J. Psychoeduc. Assess. 2010, 28, 175–182. [Google Scholar] [CrossRef]
- Rieffe, C.; Oosterveld, P.; Terwogt, M.M. An alexithymia questionnaire for children: Factorial and concurrent validation results. Personal. Individ. Differ. 2006, 40, 123–133. [Google Scholar] [CrossRef]
- Loas, G.; Braun, S.; Delhaye, M.; Linkowski, P. The measurement of alexithymia in children and adolescents: Psychometric properties of the Alexithymia Questionnaire for Children and the twenty-item Toronto Alexithymia Scale in different non-clinical and clinical samples of children and adolescents. PLoS ONE 2017, 12, e0177982. [Google Scholar] [CrossRef]
- Lam, K.S.L.; Aman, M.G. The repetitive behavior scale-revised: Independent validation in individuals with autism spectrum disorders. J. Autism Dev. Disord. 2007, 37, 855–866. [Google Scholar] [CrossRef]
- Crijnen, A.A.M.; Achenbach, T.M.; Verhulst, F.C. Problems reported by parents of children in multiple cultures: The Child Behavior Checklist syndrome constructs. Am. J. Psychiatry 1999, 156, 569–574. [Google Scholar] [CrossRef] [PubMed]
- Birmaher, B.; Brent, D.A.; Chiappetta, L.; Bridge, J.; Monga, S.; Baugher, M. Psychometric properties of the Screen for Child Anxiety Related Emotional Disorders (SCARED): A replication study. J. Am. Acad. Child Adolesc. Psychiatry 1999, 38, 1230–1236. [Google Scholar] [CrossRef] [PubMed]
- Svedlund, J.; Sjödin, I.; Dotevall, G. GSRS—A clinical rating scale for gastrointestinal symptoms in patients with irritable bowel syndrome and peptic ulcer disease. Dig. Dis. Sci. 1988, 33, 129–134. [Google Scholar] [CrossRef]
- Revicki, D.A.; Martha, W.; Ingela, W.; Crawley, J. Reliability and Validity of the Gastrointestinal Symptom Rating Scale in Patients with Gastroesophageal Reflux Disease. Qual. Life Res. 1998, 7, 75–83. [Google Scholar] [CrossRef]
- LeBourgeois, M.K.; Giannotti, F.; Cortesi, F.; Wolfson, A.R.; Harsh, J. The relationship between reported sleep quality and sleep hygiene in Italian and American adolescents. Pediatrics 2005, 115, 257–265. [Google Scholar] [CrossRef] [PubMed]
- Harris, P.A.; Taylor, R.; Thielke, R.; Payne, J.; Gonzalez, N.; Conde, J.G. Research electronic data capture (REDCap)—A metadata-driven methodology and workflow process for providing translational research informatics support. J. Biomed. Inf. 2009, 42, 377–381. [Google Scholar] [CrossRef]
- Harris, P.A.; Taylor, R.; Minor, B.L.; Elliott, V.; Fernandez, M.; O’Neal, L.; McLeod, L.; Delacqua, G.; Delacqua, F.; Kirby, J.; et al. The REDCap consortium: Building an international community of software platform partners. J. Biomed. Inf. 2019, 95, 103208. [Google Scholar] [CrossRef]
- Bonferroni, C. Teoria Statistica Delle Classi e Calcolo Delle Probabilita; Pubblicazioni Del R Istituto Superiore Di Sci-enze Economiche e Commericiali Di Firenze; Seeber: Firenze, Italy, 1936; pp. 3–62. [Google Scholar]
- Trevisan, D.A.; Birmingham, E. Are emotion recognition abilities related to everyday social functioning in ASD? A meta-analysis. Res. Autism Spectr. Disord. 2016, 32, 24–42. [Google Scholar] [CrossRef]
- Bangerter, A.; Chatterjee, M.; Manyakov, N.V.; Ness, S.; Lewin, D.; Skalkin, A.; Boice, M.; Goodwin, M.S.; Dawson, G.; Hendren, R.; et al. Relationship Between Sleep and Behavior in Autism Spectrum Disorder: Exploring the Impact of Sleep Variability. Front. Neurosci. 2020, 14, 211. [Google Scholar] [CrossRef]
- Henderson, L.M.; St Clair, M.; Knowland, V.; van Rijn, E.; Walker, S.; Gaskell, M.G. Stronger Associations Between Sleep and Mental Health in Adults with Autism: A UK Biobank Study. J. Autism Dev. Disord. 2023, 53, 1543–1559. [Google Scholar] [CrossRef]
- Dell’Osso, L.; Massoni, L.; Battaglini, S.; Cremone, I.M.; Carmassi, C.; Carpita, B. Biological correlates of altered circadian rhythms, autonomic functions and sleep problems in autism spectrum disorder. Ann. Gen. Psychiatry 2022, 21, 13. [Google Scholar] [CrossRef] [PubMed]
- Rong, T.; Sun, X.; Zhang, Z.; Li, W.; Deng, Y.; Wang, Z.; Meng, M.; Zhu, Q.; Jiang, Y.; Zhao, J.; et al. The association between sleep and empathy in young preschoolers: A population study. J. Sleep Res. 2022, 31, e13530. [Google Scholar] [CrossRef] [PubMed]
- Guadagni, V.; Burles, F.; Valera, S.; Hardwicke-Brown, E.; Ferrara, M.; Campbell, T.; Iaria, G. The Relationship Between Quality of Sleep and Emotional Empathy. J. Psychophysiol. 2017, 31, 158–166. [Google Scholar] [CrossRef]
- Mazurek, M.O.; Petroski, G.F. Sleep problems in children with autism spectrum disorder: Examining the contributions of sensory over-responsivity and anxiety. Sleep Med. 2015, 16, 270–279. [Google Scholar] [CrossRef]
- Lockwood, P.L.; Bird, G.; Bridge, M.; Viding, E. Dissecting empathy: High levels of psychopathic and autistic traits are characterized by difficulties in different social information processing domains. Front. Hum. Neurosci. 2013, 7, 760. [Google Scholar] [CrossRef]
- Achenbach, T.M.; McConaughy, S.H.; Howell, C.T. Child/Adolescent Behavioral and Emotional Problems: Implications of Cross-Informant Correlations for Situational Specificity. Psychol. Bull. 1987, 101, 213–232. [Google Scholar] [CrossRef]
- Keith, J.M.; Jamieson, J.P.; Bennetto, L. The Importance of Adolescent Self-Report in Autism Spectrum Disorder: Integration of Questionnaire and Autonomic Measures. J. Abnorm. Child Psychol. 2019, 47, 741–754. [Google Scholar] [CrossRef]
- Fukunishi, I.; Yoshida, H.; Wogan, J. Development of the Alexithymia Scale for Children: A Preliminary Study. Psychol. Rep. 1998, 82, 43–49. [Google Scholar] [CrossRef]
- Schlaffke, L.; Lissek, S.; Lenz, M.; Juckel, G.; Schultz, T.; Tegenthoff, M.; Schmidt-Wilcke, T.; Brüne, M. Shared and nonshared neural networks of cognitive and affective theory-of-mind: A neuroimaging study using cartoon picture stories. Hum. Brain Mapp. 2015, 36, 29–39. [Google Scholar] [CrossRef]
- Baron-Cohen, S. Mindblindness: An Essay on Autism and Theory of Mind; The MIT Press: Cambridge, UK, 1995. [Google Scholar]
- Begeer, S.; Gevers, C.; Clifford, P.; Verhoeve, M.; Kat, K.; Hoddenbach, E.; Boer, F. Theory of Mind training in children with autism: A randomized controlled trial. J. Autism Dev. Disord. 2011, 41, 997–1006. [Google Scholar] [CrossRef]
- Baron-Cohen, S.; Ring, H.A.; Bullmore, E.T.; Wheelwright, S.; Ashwin, C.; Williams, S.C.R. The amygdala theory of autism. Neurosci. Biobehav. Rev. 2000, 24, 355–364. [Google Scholar] [CrossRef] [PubMed]
- Happé, F.; Frith, U. Theory of mind in autism. In Learning and Cognition in Autism; Current Issues in Autism; Plenum Press: New York, NY, USA, 1995; pp. 177–197. [Google Scholar]
- Livingston, L.A.; Carr, B.; Shah, P. Recent Advances and New Directions in Measuring Theory of Mind in Autistic Adults. J. Autism Dev. Disord. 2019, 49, 1738–1744. [Google Scholar] [CrossRef] [PubMed]
- Pedreño, C.; Pousa, E.; Navarro, J.B.; Pàmias, M.; Obiols, J.E. Exploring the Components of Advanced Theory of Mind in Autism Spectrum Disorder. J. Autism Dev. Disord. 2017, 47, 2401–2409. [Google Scholar] [CrossRef] [PubMed]
- Preckel, K.; Kanske, P.; Singer, T. On the interaction of social affect and cognition: Empathy, compassion and theory of mind. Curr. Opin. Behav. Sci. 2018, 19, 1–6. [Google Scholar] [CrossRef]

| TD (n = 54) Mean (±SD) | ASD (n = 56) Mean (±SD) | Test Statistics | p | |
|---|---|---|---|---|
| Age | 11.39 (±1.68) | 11.90 (±2.28) | −1.348 | 0.181 |
| Sex | Females = 23 Males = 31 | Females = 16 Males = 40 | 2.362 | 0.124 |
| FSIQ-4 | 118.13 (±13.87) | 105.63 (±16.52) | 4.291 * | <0.001 |
| PRI | 114.37 (±17.44) | 105.13 (±16.11) | 2.890 * | 0.005 |
| VCI | 118.83 (±13.52) | 105.00 (±18.51) | 4.462 * | <0.001 |
| TD | ASD | Controlling for Age, Sex and FSIQ-4 | Controlling for Age, Sex, FSIQ-4 and Alexithymia | |||
|---|---|---|---|---|---|---|
| Mean (±SD) | Mean (±SD) | F | p | F | p | |
| IRI personal distress TD, n = 54; ASD, n = 56 | 12.65 (±5.27) | 14.41 (±4.33) | 5.020 * | 0.027 | 0.781 | 0.379 |
| IRI empathetic concern TD, n = 54; ASD, n = 56 | 18.37 (±4.84) | 17.16 (±5.52) | 0.396 | 0.530 | 0.002 | 0.967 |
| IRI perspective taking TD, n = 54; ASD, n = 56 | 14.80 (±5.27) | 12.59 (±6.01) | 4.616 * | 0.034 | 2.126 | 0.148 |
| IRI fantasy TD, n = 54; ASD, n = 56 | 17.44 (±5.44) | 16.73 (±5.72) | 0.010 | 0.921 | 0.004 | 0.948 |
| Alexithymia—Identification TD, n = 54; ASD, n = 56 | 0.48 (±0.40) | 0.66 (±0.40) | 3.058 | 0.083 | - | - |
| Alexithymia—Communication TD, n = 54; ASD, n = 56 | 0.67 (±0.50) | 1 (±0.45) | 16.539 * | <0.001 | - | - |
| Alexithymia—2 factor score TD, n = 54; ASD, n = 56 | 6.72 (±4.80) | 9.59 (±4.32) | 10.064 * | 0.002 | - | - |
| Affect recognition TD, n = 54; ASD, n = 56 | 11.80 (±2.34) | 9.57 (±2.20) | 10.767 * | 0.001 | 6.163 * | 0.015 |
| Theory of Mind (Total) TD, n = 54; ASD, n = 54 | 25.39 (±2.00) | 4.96 (±0.97) | 4080.49 * | <0.001 | 3716.17 * | <0.001 |
| TD (n = 54) | ASD (n = 56) | Controlling for Age, Sex, and FSIQ-4 | ||
|---|---|---|---|---|
| Mean (±SD) | Mean (±SD) | F | p | |
| RBS Stereotype subscore TD, n = 53; ASD, n = 56 | 0.14 (±0.53) | 3.59 (±3.08) | 44.806 * | <0.001 |
| RBS Self-injury subscore TD, n = 52; ASD, n = 56 | 0.47 (±1.77) | 2.67 (±3.85) | 9.078 * | 0.003 |
| RBS Compulsive subscore TD, n = 53; ASD, n = 55 | 0.55 (±1.24) | 3.52 (±4.16) | 17.154 * | <0.001 |
| RBS Ritual subscore TD, n = 53; ASD, n = 56 | 0.33 (±0.86) | 4.87 (±3.57) | 61.335 * | <0.001 |
| RBS Sameness subscore TD, n = 53; ASD, n = 55 | 0.33 (±0.89) | 7.43 (±5.47) | 68.618 * | <0.001 |
| RBS Restricted subscore TD, n = 53; ASD, n = 56 | 0.10 (±0.36) | 2.72 (±2.18) | 52.573 * | <0.001 |
| SCARED (Parent) Total score TD, n = 53; ASD, n = 54 | 5.80 (±5.80) | 21.33 (±15.48) | 38.914 * | <0.001 |
| SCARED (Child) Total score TD, n = 49; ASD, n = 54 | 20.09 (±13.07) | 26.61 (±14.21) | 3.131 | 0.080 |
| CBCL Competence Activities T-score TD, n = 53; ASD, n = 54 | 49.69 (±9.90) | 41.04 (±9.18) | 17.081 * | <0.001 |
| CBCL Competence Social T-score TD, n = 53; ASD, n = 53 | 49.33 (±8.53) | 37.16 (±8.93) | 30.566 * | <0.001 |
| CBCL Total score TD, n = 53; ASD, n = 53 | 52.82 (±3.61) | 40.51 (±8.05) | 64.435 * | <0.001 |
| CBCL Internalizing problems TD, n = 49; ASD, n = 51 | 50.98 (±9.67) | 35.39 (±7.56) | 59.667 * | <0.001 |
| CBCL Externalizing problems TD, n = 49; ASD, n = 52 | 44.84 (±7.89) | 62.27 (±10.66) | 70.040 * | <0.001 |
| ASWS Total score TD, n = 27; ASD, n = 30 | 40.29 (±6.25) | 53.16 (±10.49) | 53.018 * | <0.001 |
| GSRS Total score TD, n = 41; ASD, n = 43 | 4.39 (±0.71) | 4.02 (±0.76) | 3.656 | 0.061 |
| Not Controlled | Controlled for Age and Sex | Controlled for Age, Sex, and FSIQ-4 | Controlled for Age, Sex, and PRI | Controlled for Age, Sex, and VCI | Controlled for Age, Sex, Alexithymia, and FSIQ-4 | |||||||
|---|---|---|---|---|---|---|---|---|---|---|---|---|
| F | p | F | p | F | p | F | p | F | p | F | p | |
| Alexithymia—Identification TD, n = 54; ASD, n = 56 | −0.317 * | 0.017 | −0.312 * | 0.022 | −0.195 | 0.162 | −0.205 | 0.142 | −0.250 | 0.071 | ||
| Alexithymia—Communication TD, n = 54; ASD, n = 56 | −0.066 | 0.631 | −0.054 | 0.697 | −0.094 | 0.502 | −0.014 | 0.920 | −0.136 | 0.332 | ||
| Alexithymia—2 factor score TD, n = 54; ASD, n = 56 | −0.241 | 0.074 | −0.233 | 0.090 | −0.171 | 0.221 | −0.138 | 0.324 | −0.228 | 0.101 | ||
| IRI personal distress TD, n = 54; ASD, n = 56 | 0.138 | 0.312 | 0.160 | 0.248 | 0.086 | 0.540 | 0.064 | 0.651 | 0.137 | 0.329 | 0.041 | 0.772 |
| IRI empathetic concern TD, n = 54; ASD, n = 56 | −0.264 | 0.049 | −0.215 | 0.118 | −0.148 | 0.291 | −0.169 | 0.226 | −0.160 | 0.253 | −0.088 | 0.537 |
| IRI perspective taking TD, n = 54; ASD, n = 56 | 0.149 | 0.274 | 0.173 | 0.211 | 0.096 | 0.494 | 0.126 | 0.368 | 0.113 | 0.422 | 0.044 | 0.757 |
| IRI fantasy TD, n = 54; ASD, n = 56 | 0.103 | 0.448 | 0.140 | 0.314 | 0.130 | 0.352 | 0.129 | 0.358 | 0.134 | 0.339 | 0.092 | 0.514 |
| Variable | Model 1 | Model 2 | ||||||
|---|---|---|---|---|---|---|---|---|
| B | SE B | β | p | B | SE B | β | p | |
| Age | −0.150 | 0.103 | −0.119 | 0.148 | −0.123 | 0.101 | −0.099 | 0.224 |
| Sex | −0.712 | 0.433 | −0.136 | 0.103 | −0.516 | 0.430 | −0.098 | 0.233 |
| FSIQ | 0.062 | 0.013 | 0.406 | <0.001 | 0.050 | 0.013 | 0.328 | <0.001 |
| Alexithymia (2 factor) | −0.143 | 0.044 | −0.271 | 0.002 | −0.110 | 0.045 | −0.208 | 0.016 |
| Group | −1.145 | 0.461 | −0.228 | 0.015 | ||||
| Model p | <0.001 | <0.001 | ||||||
| R2 | 0.301 | 0.340 | ||||||
| Change in R2 | 0.039 | |||||||
| Variable | Model 1 | Model 2 | Model 3 | |||||||||
|---|---|---|---|---|---|---|---|---|---|---|---|---|
| B | SE B | β | p | B | SE B | β | p | B | SE B | β | p | |
| Age | 0.091 | 0.199 | 0.038 | 0.647 | 0.086 | 0.202 | 0.036 | 0.670 | 0.073 | 0.202 | 0.030 | 0.717 |
| Sex | −2.424 | 0.837 | −0.239 | 0.005 | −2.448 | 0.852 | −0.241 | 0.005 | −2.559 | 0.863 | −0.252 | 0.004 |
| FSIQ | −0.008 | 0.024 | −0.025 | 0.759 | −0.005 | 0.027 | −0.018 | 0.844 | 0.001 | 0.028 | 0.002 | 0.982 |
| Alexithymia (2 factor) | 0.472 | 0.085 | 0.462 | <0.001 | 0.467 | 0.089 | 0.457 | <0.001 | 0.450 | 0.092 | 0.440 | <0.001 |
| Affect Recognition | −0.034 | 0.190 | −0.018 | 0.857 | 0.006 | 0.195 | 0.003 | 0.977 | ||||
| Group | 0.815 | 0.946 | 0.084 | 0.391 | ||||||||
| Model p | <0.001 | <0.001 | <0.001 | |||||||||
| R2 | 0.301 | 0.301 | 0.306 | |||||||||
| Change in R2 | <0.001 | 0.000 | 0.005 | |||||||||
| Variable | Model 1 | Model 2 | ||||||
|---|---|---|---|---|---|---|---|---|
| B | SE B | β | p | B | SE B | β | p | |
| Age | 0.727 | 0.253 | 0.255 | 0.005 | 0.766 | 0.254 | 0.269 | 0.003 |
| Sex | 1.564 | 1.069 | 0.131 | 0.146 | 1.853 | 1.081 | 0.155 | 0.089 |
| FSIQ | 0.056 | 0.031 | 0.161 | 0.073 | 0.039 | 0.033 | 0.111 | 0.247 |
| Alexithymia (2 factor) | −0.288 | 0.108 | −0.239 | 0.009 | −0.239 | 0.113 | −0.199 | 0.036 |
| Group | −1.691 | 1.160 | −0.148 | 0.148 | ||||
| Model p | <0.001 | <0.001 | ||||||
| R2 | 0.179 | 0.196 | ||||||
| Change in R2 | 0.016 | |||||||
Disclaimer/Publisher’s Note: The statements, opinions and data contained in all publications are solely those of the individual author(s) and contributor(s) and not of MDPI and/or the editor(s). MDPI and/or the editor(s) disclaim responsibility for any injury to people or property resulting from any ideas, methods, instructions or products referred to in the content. |
© 2023 by the authors. Licensee MDPI, Basel, Switzerland. This article is an open access article distributed under the terms and conditions of the Creative Commons Attribution (CC BY) license (https://creativecommons.org/licenses/by/4.0/).
Share and Cite
Raman, N.; Ringold, S.M.; Jayashankar, A.; Butera, C.D.; Kilroy, E.; Harrison, L.; Cermak, S.A.; Aziz-Zadeh, L. Relationships between Affect Recognition, Empathy, Alexithymia, and Co-Occurring Conditions in Autism. Brain Sci. 2023, 13, 1161. https://doi.org/10.3390/brainsci13081161
Raman N, Ringold SM, Jayashankar A, Butera CD, Kilroy E, Harrison L, Cermak SA, Aziz-Zadeh L. Relationships between Affect Recognition, Empathy, Alexithymia, and Co-Occurring Conditions in Autism. Brain Sciences. 2023; 13(8):1161. https://doi.org/10.3390/brainsci13081161
Chicago/Turabian StyleRaman, Nandita, Sofronia M. Ringold, Aditya Jayashankar, Christiana D. Butera, Emily Kilroy, Laura Harrison, Sharon A. Cermak, and Lisa Aziz-Zadeh. 2023. "Relationships between Affect Recognition, Empathy, Alexithymia, and Co-Occurring Conditions in Autism" Brain Sciences 13, no. 8: 1161. https://doi.org/10.3390/brainsci13081161
APA StyleRaman, N., Ringold, S. M., Jayashankar, A., Butera, C. D., Kilroy, E., Harrison, L., Cermak, S. A., & Aziz-Zadeh, L. (2023). Relationships between Affect Recognition, Empathy, Alexithymia, and Co-Occurring Conditions in Autism. Brain Sciences, 13(8), 1161. https://doi.org/10.3390/brainsci13081161

