A Nomogram for Predicting the Recurrence of Acute Non-Cardioembolic Ischemic Stroke: A Retrospective Hospital-Based Cohort Analysis
Abstract
1. Introduction
2. Materials and Methods
2.1. Patients Enrollment and Study Design
2.2. Data Collection
2.3. Primary Outcome Assessment
2.4. Screening Recurrence Risk Factors for Non-Cardioembolic IS Patients
2.5. Construction and Validation of Nomogram
2.6. Statistical Analysis
3. Results
3.1. Patient Characteristics
3.2. Identification of Risk Factors for Recurrence in Non-Cardioembolic IS Patients
3.3. Risk Stratification and Recurrence Assessment
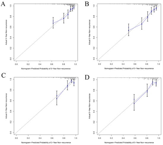
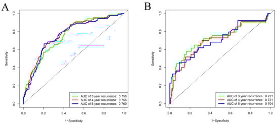
3.4. Validation of the Recurrence Prediction Model for Non-Cardioembolic IS Patients
3.5. Construction and Validation of the Nomogram to Predict the Recurrence Probability for Non-Cardioembolic IS
4. Discussion
5. Conclusions
Supplementary Materials
Author Contributions
Funding
Institutional Review Board Statement
Informed Consent Statement
Data Availability Statement
Conflicts of Interest
References
- Hung, M.Y.; Yang, C.K.; Chen, J.H.; Lin, L.H.; Hsiao, H.M. Novel Blood Clot Retriever for Ischemic Stroke. Micromachines 2021, 12, 928. [Google Scholar] [CrossRef] [PubMed]
- GBD 2019 Stroke Collaborators. Global, regional, and national burden of stroke and its risk factors, 1990–2019: A systematic analysis for the Global Burden of Disease Study 2019. Lancet Neurol. 2021, 20, 795–820. [Google Scholar] [CrossRef] [PubMed]
- Lin, B.; Zhang, Z.; Mei, Y.; Wang, C.; Xu, H.; Liu, L.; Wang, W. Cumulative risk of stroke recurrence over the last 10 years: A systematic review and meta-analysis. Neurol. Sci. Off. J. Ital. Neurol. Soc. Ital. Soc. Clin. Neurophysiol. 2021, 42, 61–71. [Google Scholar] [CrossRef] [PubMed]
- Hoshino, T.; Sissani, L.; Labreuche, J.; Bousser, M.G.; Chamorro, A.; Fisher, M.; Ford, I.; Fox, K.M.; Hennerici, M.G.; Mattle, H.P.; et al. Non-cardioembolic stroke/transient ischaemic attack in Asians and non-Asians: A post-hoc analysis of the PERFORM study. Eur. Stroke J. 2019, 4, 65–74. [Google Scholar] [CrossRef] [PubMed]
- Tsai, C.F.; Thomas, B.; Sudlow, C.L. Epidemiology of stroke and its subtypes in Chinese vs white populations: A systematic review. Neurology 2013, 81, 264–272. [Google Scholar] [CrossRef]
- Modrego, P.J.; Pina, M.A.; Fraj, M.M.; Llorens, N. Type, causes, and prognosis of stroke recurrence in the province of Teruel, Spain. A 5-year analysis. Neurol. Sci. Off. J. Ital. Neurol. Soc. Ital. Soc. Clin. Neurophysiol. 2000, 21, 355–360. [Google Scholar] [CrossRef]
- Kuwashiro, T.; Sugimori, H.; Ago, T.; Kamouchi, M.; Kitazono, T. Risk factors predisposing to stroke recurrence within one year of non-cardioembolic stroke onset: The Fukuoka Stroke Registry. Cerebrovasc. Dis. 2012, 33, 141–149. [Google Scholar] [CrossRef]
- Wu, S.; Shi, Y.; Wang, C.; Jia, Q.; Zhang, N.; Zhao, X.; Liu, G.; Wang, Y.; Liu, L.; Wang, Y. Glycated hemoglobin independently predicts stroke recurrence within one year after acute first-ever non-cardioembolic strokes onset in A Chinese cohort study. PLoS ONE 2013, 8, e80690. [Google Scholar] [CrossRef]
- Diener, H.C.; Ringleb, P.A.; Savi, P. Clopidogrel for the secondary prevention of stroke. Expert Opin. Pharmacother. 2005, 6, 755–764. [Google Scholar] [CrossRef]
- Li, L.; Jin, Z.N.; Pan, Y.S.; Jing, J.; Meng, X.; Jiang, Y.; Li, H.; Guo, C.X.; Wang, Y.J. Essen score in the prediction of cerebrovascular events compared with cardiovascular events after ischaemic stroke or transient ischaemic attack: A nationwide registry analysis. J. Geriatr. Cardiol. JGC 2022, 19, 265–275. [Google Scholar] [CrossRef]
- Andersen, S.D.; Gorst-Rasmussen, A.; Lip, G.Y.; Bach, F.W.; Larsen, T.B. Recurrent Stroke: The Value of the CHA2DS2VASc Score and the Essen Stroke Risk Score in a Nationwide Stroke Cohort. Stroke 2015, 46, 2491–2497. [Google Scholar] [CrossRef] [PubMed]
- Andersen, S.D.; Larsen, T.B.; Gorst-Rasmussen, A.; Yavarian, Y.; Lip, G.Y.; Bach, F.W. White Matter Hyperintensities Improve Ischemic Stroke Recurrence Prediction. Cerebrovasc. Dis. 2017, 43, 17–24. [Google Scholar] [CrossRef] [PubMed]
- Chandratheva, A.; Geraghty, O.C.; Rothwell, P.M. Poor performance of current prognostic scores for early risk of recurrence after minor stroke. Stroke 2011, 42, 632–637. [Google Scholar] [CrossRef] [PubMed]
- Kernan, W.N.; Horwitz, R.I.; Brass, L.M.; Viscoli, C.M.; Taylor, K.J. A prognostic system for transient ischemia or minor stroke. Ann. Intern. Med. 1991, 114, 552–557. [Google Scholar] [CrossRef] [PubMed]
- Kernan, W.N.; Viscoli, C.M.; Brass, L.M.; Makuch, R.W.; Sarrel, P.M.; Roberts, R.S.; Gent, M.; Rothwell, P.; Sacco, R.L.; Liu, R.C.; et al. The stroke prognosis instrument II (SPI-II): A clinical prediction instrument for patients with transient ischemia and nondisabling ischemic stroke. Stroke 2000, 31, 456–462. [Google Scholar] [CrossRef] [PubMed]
- Johnston, S.C.; Rothwell, P.M.; Nguyen-Huynh, M.N.; Giles, M.F.; Elkins, J.S.; Bernstein, A.L.; Sidney, S. Validation and refinement of scores to predict very early stroke risk after transient ischaemic attack. Lancet 2007, 369, 283–292. [Google Scholar] [CrossRef]
- Merwick, A.; Albers, G.W.; Amarenco, P.; Arsava, E.M.; Ay, H.; Calvet, D.; Coutts, S.B.; Cucchiara, B.L.; Demchuk, A.M.; Furie, K.L.; et al. Addition of brain and carotid imaging to the ABCD2 score to identify patients at early risk of stroke after transient ischaemic attack: A multicentre observational study. Lancet Neurol. 2010, 9, 1060–1069. [Google Scholar] [CrossRef]
- Rothwell, P.M.; Giles, M.F.; Flossmann, E.; Lovelock, C.E.; Redgrave, J.N.; Warlow, C.P.; Mehta, Z. A simple score (ABCD) to identify individuals at high early risk of stroke after transient ischaemic attack. Lancet 2005, 366, 29–36. [Google Scholar] [CrossRef]
- Ay, H.; Gungor, L.; Arsava, E.M.; Rosand, J.; Vangel, M.; Benner, T.; Schwamm, L.H.; Furie, K.L.; Koroshetz, W.J.; Sorensen, A.G. A score to predict early risk of recurrence after ischemic stroke. Neurology 2010, 74, 128–135. [Google Scholar] [CrossRef]
- Kamel, H.; Healey, J.S. Cardioembolic Stroke. Circ. Res. 2017, 120, 514–526. [Google Scholar] [CrossRef]
- Runchey, S.; McGee, S. Does this patient have a hemorrhagic stroke?: Clinical findings distinguishing hemorrhagic stroke from ischemic stroke. JAMA 2010, 303, 2280–2286. [Google Scholar] [CrossRef] [PubMed]
- Tsivgoulis, G.; Katsanos, A.H.; Sandset, E.C.; Turc, G.; Nguyen, T.N.; Bivard, A.; Fischer, U.; Khatri, P. Thrombolysis for acute ischaemic stroke: Current status and future perspectives. Lancet Neurol. 2023, 22, 418–429. [Google Scholar] [CrossRef] [PubMed]
- Jadhav, A.P.; Desai, S.M.; Jovin, T.G. Indications for Mechanical Thrombectomy for Acute Ischemic Stroke: Current Guidelines and Beyond. Neurology 2021, 97, S126–S136. [Google Scholar] [CrossRef] [PubMed]
- Hammond, C.A.; Blades, N.J.; Chaudhry, S.I.; Dodson, J.A.; Longstreth, W.T., Jr.; Heckbert, S.R.; Psaty, B.M.; Arnold, A.M.; Dublin, S.; Sitlani, C.M.; et al. Long-Term Cognitive Decline After Newly Diagnosed Heart Failure: Longitudinal Analysis in the CHS (Cardiovascular Health Study). Circ. Heart Fail. 2018, 11, e004476. [Google Scholar] [CrossRef] [PubMed]
- Geng, T.; Li, X.; Ma, H.; Heianza, Y.; Qi, L. Adherence to a Healthy Sleep Pattern and Risk of Chronic Kidney Disease: The UK Biobank Study. Mayo Clin. Proc. 2022, 97, 68–77. [Google Scholar] [CrossRef]
- Touboul, P.J.; Hennerici, M.G.; Meairs, S.; Adams, H.; Amarenco, P.; Bornstein, N.; Csiba, L.; Desvarieux, M.; Ebrahim, S.; Hernandez Hernandez, R.; et al. Mannheim carotid intima-media thickness and plaque consensus (2004–2006–2011). An update on behalf of the advisory board of the 3rd, 4th and 5th watching the risk symposia, at the 13th, 15th and 20th European Stroke Conferences, Mannheim, Germany, 2004, Brussels, Belgium, 2006, and Hamburg, Germany, 2011. Cerebrovasc. Dis. 2012, 34, 290–296. [Google Scholar] [CrossRef]
- van Straaten, E.C.; Fazekas, F.; Rostrup, E.; Scheltens, P.; Schmidt, R.; Pantoni, L.; Inzitari, D.; Waldemar, G.; Erkinjuntti, T.; Mäntylä, R.; et al. Impact of white matter hyperintensities scoring method on correlations with clinical data: The LADIS study. Stroke 2006, 37, 836–840. [Google Scholar] [CrossRef] [PubMed]
- Alberti, K.G.; Eckel, R.H.; Grundy, S.M.; Zimmet, P.Z.; Cleeman, J.I.; Donato, K.A.; Fruchart, J.C.; James, W.P.; Loria, C.M.; Smith, S.C., Jr. Harmonizing the metabolic syndrome: A joint interim statement of the International Diabetes Federation Task Force on Epidemiology and Prevention; National Heart, Lung, and Blood Institute; American Heart Association; World Heart Federation; International Atherosclerosis Society; and International Association for the Study of Obesity. Circulation 2009, 120, 1640–1645. [Google Scholar] [CrossRef] [PubMed]
- Zhang, F.; Maswikiti, E.P.; Wei, Y.; Wu, W.; Li, Y. Construction and Validation of a Novel Prognostic Signature for Intestinal Type of Gastric Cancer. Dis. Markers 2021, 2021, 5567392. [Google Scholar] [CrossRef]
- Cheng, X.; Deng, W.; Zhang, Z.; Zeng, Z.; Liu, Y.; Zhou, X.; Zhang, C.; Wang, G. Novel amino acid metabolism-related gene signature to predict prognosis in clear cell renal cell carcinoma. Front. Genet. 2022, 13, 982162. [Google Scholar] [CrossRef]
- Huang, R.; Chen, Z.; Li, W.; Fan, C.; Liu, J. Immune system-associated genes increase malignant progression and can be used to predict clinical outcome in patients with hepatocellular carcinoma. Int. J. Oncol. 2020, 56, 1199–1211. [Google Scholar] [CrossRef] [PubMed]
- Yang, F.; Yan, S.; Wang, W.; Li, X.; Chou, F.; Liu, Y.; Zhang, S.; Zhang, Y.; Liu, H.; Yang, X.; et al. Recurrence prediction of Essen Stroke Risk and Stroke Prognostic Instrument-II scores in ischemic stroke: A study of 5-year follow-up. J. Clin. Neurosci. Off. J. Neurosurg. Soc. Australas. 2022, 104, 56–61. [Google Scholar] [CrossRef] [PubMed]
- Wang, Z.; Hu, S.; Sang, S.; Luo, L.; Yu, C. Age-Period-Cohort Analysis of Stroke Mortality in China: Data From the Global Burden of Disease Study 2013. Stroke 2017, 48, 271–275. [Google Scholar] [CrossRef] [PubMed]
- Khanevski, A.N.; Bjerkreim, A.T.; Novotny, V.; Naess, H.; Thomassen, L.; Logallo, N.; Kvistad, C.E. Recurrent ischemic stroke: Incidence, predictors, and impact on mortality. Acta Neurol. Scand. 2019, 140, 3–8. [Google Scholar] [CrossRef] [PubMed]
- Kuwashiro, T.; Sugimori, H.; Kamouchi, M.; Ago, T.; Kitazono, T.; Iida, M. Lower levels of high-density lipoprotein cholesterol on admission and a recurrence of ischemic stroke: A 12-month follow-up of the Fukuoka Stroke Registry. J. Stroke Cerebrovasc. Dis. Off. J. Natl. Stroke Assoc. 2012, 21, 561–568. [Google Scholar] [CrossRef]
- Skajaa, N.; Adelborg, K.; Horváth-Puhó, E.; Rothman, K.J.; Henderson, V.W.; Thygesen, L.C.; Sørensen, H.T. Risks of Stroke Recurrence and Mortality After First and Recurrent Strokes in Denmark: A Nationwide Registry Study. Neurology, 2021; online ahead of print. [Google Scholar] [CrossRef]
- Xu, J.; Zhang, X.; Jin, A.; Pan, Y.; Li, Z.; Meng, X.; Wang, Y. Trends and Risk Factors Associated With Stroke Recurrence in China, 2007–2018. JAMA Netw. Open 2022, 5, e2216341. [Google Scholar] [CrossRef] [PubMed]
- Zheng, S.; Yao, B. Impact of risk factors for recurrence after the first ischemic stroke in adults: A systematic review and meta-analysis. J. Clin. Neurosci. Off. J. Neurosurg. Soc. Australas. 2019, 60, 24–30. [Google Scholar] [CrossRef] [PubMed]
- Gao, Y.; Xie, Y.M.; Wang, G.Q.; Cai, Y.F.; Shen, X.M.; Zhao, D.X.; Xie, Y.Z.; Zhang, Y.; Meng, F.X.; Yu, H.Q.; et al. Onset and Recurrence Characteristics of Chinese Patients with Noncardiogenic Ischemic Stroke in Chinese Medicine Hospital. Chin. J. Integr. Med. 2022, 28, 492–500. [Google Scholar] [CrossRef]
- Spencer, E.A.; Pirie, K.L.; Stevens, R.J.; Beral, V.; Brown, A.; Liu, B.; Green, J.; Reeves, G.K. Diabetes and modifiable risk factors for cardiovascular disease: The prospective Million Women Study. Eur. J. Epidemiol. 2008, 23, 793–799. [Google Scholar] [CrossRef]
- Sarwar, N.; Gao, P.; Seshasai, S.R.; Gobin, R.; Kaptoge, S.; Di Angelantonio, E.; Ingelsson, E.; Lawlor, D.A.; Selvin, E.; Stampfer, M.; et al. Diabetes mellitus, fasting blood glucose concentration, and risk of vascular disease: A collaborative meta-analysis of 102 prospective studies. Lancet 2010, 375, 2215–2222. [Google Scholar] [CrossRef] [PubMed]
- Zhang, L.; Li, X.; Wolfe, C.D.A.; O’Connell, M.D.L.; Wang, Y. Diabetes As an Independent Risk Factor for Stroke Recurrence in Ischemic Stroke Patients: An Updated Meta-Analysis. Neuroepidemiology 2021, 55, 427–435. [Google Scholar] [CrossRef] [PubMed]
- Amarenco, P.; Labreuche, J.; Touboul, P.J. High-density lipoprotein-cholesterol and risk of stroke and carotid atherosclerosis: A systematic review. Atherosclerosis 2008, 196, 489–496. [Google Scholar] [CrossRef] [PubMed]
- Carr, S.S.; Hooper, A.J.; Sullivan, D.R.; Burnett, J.R. Non-HDL-cholesterol and apolipoprotein B compared with LDL-cholesterol in atherosclerotic cardiovascular disease risk assessment. Pathology 2019, 51, 148–154. [Google Scholar] [CrossRef]
- Boulouis, G.; Bricout, N.; Benhassen, W.; Ferrigno, M.; Turc, G.; Bretzner, M.; Benzakoun, J.; Seners, P.; Personnic, T.; Legrand, L.; et al. White matter hyperintensity burden in patients with ischemic stroke treated with thrombectomy. Neurology 2019, 93, e1498–e1506. [Google Scholar] [CrossRef] [PubMed]
- Henninger, N.; Lin, E.; Baker, S.P.; Wakhloo, A.K.; Takhtani, D.; Moonis, M. Leukoaraiosis predicts poor 90-day outcome after acute large cerebral artery occlusion. Cerebrovasc. Dis. 2012, 33, 525–531. [Google Scholar] [CrossRef] [PubMed]
- Arsava, E.M.; Rahman, R.; Rosand, J.; Lu, J.; Smith, E.E.; Rost, N.S.; Singhal, A.B.; Lev, M.H.; Furie, K.L.; Koroshetz, W.J.; et al. Severity of leukoaraiosis correlates with clinical outcome after ischemic stroke. Neurology 2009, 72, 1403–1410. [Google Scholar] [CrossRef]
- Charidimou, A.; Pasi, M.; Fiorelli, M.; Shams, S.; von Kummer, R.; Pantoni, L.; Rost, N. Leukoaraiosis, Cerebral Hemorrhage, and Outcome After Intravenous Thrombolysis for Acute Ischemic Stroke: A Meta-Analysis (v1). Stroke 2016, 47, 2364–2372. [Google Scholar] [CrossRef]
- Raychev, R.; Jahan, R.; Liebeskind, D.; Clark, W.; Nogueira, R.G.; Saver, J. Determinants of Intracranial Hemorrhage Occurrence and Outcome after Neurothrombectomy Therapy: Insights from the Solitaire FR With Intention For Thrombectomy Randomized Trial. AJNR Am. J. Neuroradiol. 2015, 36, 2303–2307. [Google Scholar] [CrossRef]
- Ryu, W.S.; Schellingerhout, D.; Hong, K.S.; Jeong, S.W.; Jang, M.U.; Park, M.S.; Choi, K.H.; Kim, J.T.; Kim, B.J.; Lee, J.; et al. White matter hyperintensity load on stroke recurrence and mortality at 1 year after ischemic stroke. Neurology 2019, 93, e578–e589. [Google Scholar] [CrossRef]
- Shi, K.; Tian, D.C.; Li, Z.G.; Ducruet, A.F.; Lawton, M.T.; Shi, F.D. Global brain inflammation in stroke. Lancet Neurol. 2019, 18, 1058–1066. [Google Scholar] [CrossRef] [PubMed]
- Otxoa-de-Amezaga, A.; Miró-Mur, F.; Pedragosa, J.; Gallizioli, M.; Justicia, C.; Gaja-Capdevila, N.; Ruíz-Jaen, F.; Salas-Perdomo, A.; Bosch, A.; Calvo, M.; et al. Microglial cell loss after ischemic stroke favors brain neutrophil accumulation. Acta Neuropathol. 2019, 137, 321–341. [Google Scholar] [CrossRef] [PubMed]
- Enzmann, G.; Kargaran, S.; Engelhardt, B. Ischemia-reperfusion injury in stroke: Impact of the brain barriers and brain immune privilege on neutrophil function. Ther. Adv. Neurol. Disord. 2018, 11, 1756286418794184. [Google Scholar] [CrossRef] [PubMed]
- Sun, Y.; Zhang, L.; Cao, Y.; Li, X.; Liu, F.; Cheng, X.; Du, J.; Ran, H.; Wang, Z.; Li, Y.; et al. Stroke-induced hexokinase 2 in circulating monocytes exacerbates vascular inflammation and atheroprogression. J. Thromb. Haemost. JTH 2023, 21, 1650–1665. [Google Scholar] [CrossRef] [PubMed]
- Faustino, J.; Chip, S.; Derugin, N.; Jullienne, A.; Hamer, M.; Haddad, E.; Butovsky, O.; Obenaus, A.; Vexler, Z.S. CX3CR1-CCR2-dependent monocyte-microglial signaling modulates neurovascular leakage and acute injury in a mouse model of childhood stroke. J. Cereb. Blood Flow Metab. Off. J. Int. Soc. Cereb. Blood Flow Metab. 2019, 39, 1919–1935. [Google Scholar] [CrossRef] [PubMed]
- Carmona-Mora, P.; Knepp, B.; Jickling, G.C.; Zhan, X.; Hakoupian, M.; Hull, H.; Alomar, N.; Amini, H.; Sharp, F.R.; Stamova, B.; et al. Monocyte, neutrophil, and whole blood transcriptome dynamics following ischemic stroke. BMC Med. 2023, 21, 65. [Google Scholar] [CrossRef]
- Carmona-Mora, P.; Ander, B.P.; Jickling, G.C.; Dykstra-Aiello, C.; Zhan, X.; Ferino, E.; Hamade, F.; Amini, H.; Hull, H.; Sharp, F.R.; et al. Distinct peripheral blood monocyte and neutrophil transcriptional programs following intracerebral hemorrhage and different etiologies of ischemic stroke. J. Cereb. Blood Flow Metab. Off. J. Int. Soc. Cereb. Blood Flow Metab. 2021, 41, 1398–1416. [Google Scholar] [CrossRef]
- Meng, X.; Chang, Q.; Liu, Y.; Chen, L.; Wei, G.; Yang, J.; Zheng, P.; He, F.; Wang, W.; Ming, L. Determinant roles of gender and age on SII, PLR, NLR, LMR and MLR and their reference intervals defining in Henan, China: A posteriori and big-data-based. J. Clin. Lab. Anal. 2018, 32, e22228. [Google Scholar] [CrossRef]
- Song, S.Y.; Zhao, X.X.; Rajah, G.; Hua, C.; Kang, R.J.; Han, Y.P.; Ding, Y.C.; Meng, R. Clinical Significance of Baseline Neutrophil-to-Lymphocyte Ratio in Patients With Ischemic Stroke or Hemorrhagic Stroke: An Updated Meta-Analysis. Front. Neurol. 2019, 10, 1032. [Google Scholar] [CrossRef]
- Huang, L. Increased Systemic Immune-Inflammation Index Predicts Disease Severity and Functional Outcome in Acute Ischemic Stroke Patients. Neurologist 2023, 28, 32–38. [Google Scholar] [CrossRef]
- Ren, H.; Liu, X.; Wang, L.; Gao, Y. Lymphocyte-to-Monocyte Ratio: A Novel Predictor of the Prognosis of Acute Ischemic Stroke. J. Stroke Cerebrovasc. Dis. Off. J. Natl. Stroke Assoc. 2017, 26, 2595–2602. [Google Scholar] [CrossRef] [PubMed]
- Koupenova, M.; Clancy, L.; Corkrey, H.A.; Freedman, J.E. Circulating Platelets as Mediators of Immunity, Inflammation, and Thrombosis. Circ. Res. 2018, 122, 337–351. [Google Scholar] [CrossRef] [PubMed]
- Yang, M.; Pan, Y.; Li, Z.; Yan, H.; Zhao, X.; Liu, L.; Jing, J.; Meng, X.; Wang, Y.; Wang, Y. Platelet Count Predicts Adverse Clinical Outcomes After Ischemic Stroke or TIA: Subgroup Analysis of CNSR II. Front. Neurol. 2019, 10, 370. [Google Scholar] [CrossRef]
- Gruber, A.; Marzec, U.M.; Bush, L.; Di Cera, E.; Fernández, J.A.; Berny, M.A.; Tucker, E.I.; McCarty, O.J.; Griffin, J.H.; Hanson, S.R. Relative antithrombotic and antihemostatic effects of protein C activator versus low-molecular-weight heparin in primates. Blood 2007, 109, 3733–3740. [Google Scholar] [CrossRef] [PubMed]
- Htun, P.; Fateh-Moghadam, S.; Tomandl, B.; Handschu, R.; Klinger, K.; Stellos, K.; Garlichs, C.; Daniel, W.; Gawaz, M. Course of platelet activation and platelet-leukocyte interaction in cerebrovascular ischemia. Stroke 2006, 37, 2283–2287. [Google Scholar] [CrossRef]
- Franks, Z.G.; Campbell, R.A.; Weyrich, A.S.; Rondina, M.T. Platelet-leukocyte interactions link inflammatory and thromboembolic events in ischemic stroke. Ann. N. Y. Acad. Sci. 2010, 1207, 11–17. [Google Scholar] [CrossRef] [PubMed]
- Sharma, D.; Bhaskar, S.M.M. Prognostic Role of the Platelet-Lymphocyte Ratio in Acute Ischemic Stroke Patients Undergoing Reperfusion Therapy: A Meta-Analysis. J. Cent. Nerv. Syst. Dis. 2022, 14, 11795735221110373. [Google Scholar] [CrossRef] [PubMed]
- Li, T.Y.W.; Sia, C.H.; Chan, B.P.L.; Ho, J.S.Y.; Leow, A.S.; Chan, M.Y.; Kojodjojo, P.; Galupo, M.J.; Teoh, H.L.; Sharma, V.K.; et al. Neutrophil-Lymphocyte and Platelet-Lymphocyte Ratios Are Associated with Recurrent Ischemic Stroke in Patients with Embolic Stroke of Undetermined Source. J. Stroke 2022, 24, 421–424. [Google Scholar] [CrossRef]
- Abubakar, S.; Sabir, A.; Ndakotsu, M.; Imam, M.; Tasiu, M. Low admission serum albumin as prognostic determinant of 30-day case fatality and adverse functional outcome following acute ischemic stroke. Pan Afr. Med. J. 2013, 14, 53. [Google Scholar] [CrossRef]
- Zhang, Q.; Lei, Y.X.; Wang, Q.; Jin, Y.P.; Fu, R.L.; Geng, H.H.; Huang, L.L.; Wang, X.X.; Wang, P.X. Serum albumin level is associated with the recurrence of acute ischemic stroke. Am. J. Emerg. Med. 2016, 34, 1812–1816. [Google Scholar] [CrossRef]
- Zhao, K.; Wang, R.; Chen, R.; Liu, J.; Ye, Q.; Wang, K.; Li, J. Association between bilirubin levels with incidence and prognosis of stroke: A meta-analysis. Front. Neurosci. 2023, 17, 1122235. [Google Scholar] [CrossRef] [PubMed]
- Thakkar, M.; Edelenbos, J.; Doré, S. Bilirubin and Ischemic Stroke: Rendering the Current Paradigm to Better Understand the Protective Effects of Bilirubin. Mol. Neurobiol. 2019, 56, 5483–5496. [Google Scholar] [CrossRef] [PubMed]
- Song, Y.; Zhang, X.; Li, C.; Xu, S.; Zhou, B.; Wu, X. Is Bilirubin Associated with the Severity of Ischemic Stroke? A Dose Response Meta-Analysis. J. Clin. Med. 2022, 11, 3262. [Google Scholar] [CrossRef] [PubMed]
- Ouyang, Q.; Wang, A.; Tian, X.; Zuo, Y.; Liu, Z.; Xu, Q.; Meng, X.; Chen, P.; Li, H.; Wang, Y. Serum bilirubin levels are associated with poor functional outcomes in patients with acute ischemic stroke or transient ischemic attack. BMC Neurol. 2021, 21, 373. [Google Scholar] [CrossRef] [PubMed]








| Characteristic | All (n = 729) | Training (n = 511) | Testing (n = 218) | p-Value |
|---|---|---|---|---|
| Gender | 0.543 | |||
| Female | 231 (31.7%) | 158 (30.9%) | 73 (33.5%) | |
| Male | 498 (68.3%) | 353 (69.1%) | 145 (66.5%) | |
| Age(year) | 0.226 | |||
| <65 | 373 (51.2%) | 269 (52.6%) | 104 (47.7%) | |
| ≥65 | 356 (48.8%) | 242 (47.4%) | 114 (52.3%) | |
| Smoking | 0.286 | |||
| No | 566 (77.6%) | 391 (76.5%) | 175 (80.3%) | |
| Yes | 163 (22.4%) | 120 (23.5%) | 43 (19.7%) | |
| Drinking | 0.899 | |||
| No | 647 (88.8%) | 454 (88.8%) | 193 (88.5%) | |
| Yes | 82 (11.2%) | 57 (11.2%) | 25 (11.5%) | |
| CAS | 0.525 | |||
| No | 139 (19.1%) | 103 (20.2%) | 36 (16.5%) | |
| CIMT | 103 (14.1%) | 67 (13.1%) | 36 (16.5%) | |
| Stable plaques | 118 (16.2%) | 79 (15.5%) | 39 (17.9%) | |
| Unstable plaques | 278 (38.1%) | 199 (38.9%) | 79 (36.2%) | |
| Carotid stenosis | 91 (12.5%) | 63 (12.3%) | 28 (12.8%) | |
| Leukoencephalopathy | 0.090 | |||
| No | 9 (1.2%) | 8 (1.6%) | 1 (0.5%) | |
| Fazekas 1 grade | 458 (62.8%) | 321 (62.8%) | 137 (62.8%) | |
| Fazekas 2 grade | 190 (26.1%) | 125 (24.5%) | 65 (29.8%) | |
| Fazekas 3 grade | 72 (9.9%) | 57 (11.2%) | 15 (6.9%) | |
| Aspirin | 0.292 | |||
| No | 222 (30.5%) | 162 (31.7%) | 60 (27.5%) | |
| Yes | 507 (69.5%) | 349 (68.3%) | 158 (72.5%) | |
| Statins | 0.213 | |||
| No | 211 (28.9%) | 155 (30.3%) | 56 (25.7%) | |
| Yes | 518 (71.1%) | 356 (69.7%) | 162 (74.3%) | |
| Hypertension | 0.031 | |||
| No | 166 (22.8%) | 130 (25.4%) | 36 (16.5%) | |
| Adequately controlled | 463 (63.5%) | 313 (61.3%) | 150 (68.8%) | |
| Inadequately controlled | 100 (13.7%) | 68 (13.3%) | 32 (14.7%) | |
| Diabetes | 0.997 | |||
| No | 532 (73.0%) | 373 (73.0%) | 159 (72.9%) | |
| Adequately controlled | 141 (19.3%) | 99 (19.4%) | 42 (19.3%) | |
| Inadequately controlled | 56 (7.7%) | 39 (7.6%) | 17 (7.8%) | |
| Recurrence | 0.918 | |||
| No | 592 (81.2%) | 414 (81.0%) | 178 (81.7%) | |
| Yes | 137 (18.8%) | 97 (19.0%) | 40 (18.3%) |
Disclaimer/Publisher’s Note: The statements, opinions and data contained in all publications are solely those of the individual author(s) and contributor(s) and not of MDPI and/or the editor(s). MDPI and/or the editor(s) disclaim responsibility for any injury to people or property resulting from any ideas, methods, instructions or products referred to in the content. |
© 2023 by the authors. Licensee MDPI, Basel, Switzerland. This article is an open access article distributed under the terms and conditions of the Creative Commons Attribution (CC BY) license (https://creativecommons.org/licenses/by/4.0/).
Share and Cite
Shao, K.; Zhang, F.; Li, Y.; Cai, H.; Paul Maswikiti, E.; Li, M.; Shen, X.; Wang, L.; Ge, Z. A Nomogram for Predicting the Recurrence of Acute Non-Cardioembolic Ischemic Stroke: A Retrospective Hospital-Based Cohort Analysis. Brain Sci. 2023, 13, 1051. https://doi.org/10.3390/brainsci13071051
Shao K, Zhang F, Li Y, Cai H, Paul Maswikiti E, Li M, Shen X, Wang L, Ge Z. A Nomogram for Predicting the Recurrence of Acute Non-Cardioembolic Ischemic Stroke: A Retrospective Hospital-Based Cohort Analysis. Brain Sciences. 2023; 13(7):1051. https://doi.org/10.3390/brainsci13071051
Chicago/Turabian StyleShao, Kangmei, Fan Zhang, Yongnan Li, Hongbin Cai, Ewetse Paul Maswikiti, Mingming Li, Xueyang Shen, Longde Wang, and Zhaoming Ge. 2023. "A Nomogram for Predicting the Recurrence of Acute Non-Cardioembolic Ischemic Stroke: A Retrospective Hospital-Based Cohort Analysis" Brain Sciences 13, no. 7: 1051. https://doi.org/10.3390/brainsci13071051
APA StyleShao, K., Zhang, F., Li, Y., Cai, H., Paul Maswikiti, E., Li, M., Shen, X., Wang, L., & Ge, Z. (2023). A Nomogram for Predicting the Recurrence of Acute Non-Cardioembolic Ischemic Stroke: A Retrospective Hospital-Based Cohort Analysis. Brain Sciences, 13(7), 1051. https://doi.org/10.3390/brainsci13071051

