Transcranial Magnetic Stimulation in the Differential Diagnosis of Unilateral Peripheral Facial Nerve Palsy
Abstract
1. Introduction
2. Materials and Methods
2.1. Patient Inclusion and Follow-Up
2.2. Electrophysiological Examinations
2.3. Data analysis and Statistics
3. Results
3.1. Demographics and Clinical Characteristics
3.2. Electrophysiological Examinations
3.2.1. Amplitude Reduction over the Facial Canal
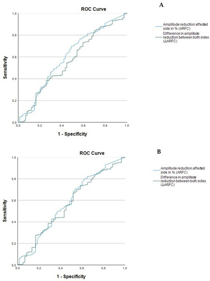
3.2.2. Assessment of Model Performance in Differentiating between Etiologies
3.2.3. Electrical Stimulation and Distal Nerve Function
4. Discussion
4.1. Major Study Findings on the Value of TMS as an Early Diagnostic Tool
4.2. Electrical Stimulation and Distal Nerve Dysfunction
4.3. Limitations
5. Conclusions
Author Contributions
Funding
Institutional Review Board Statement
Informed Consent Statement
Data Availability Statement
Acknowledgments
Conflicts of Interest
References
- Finsterer, J. Management of peripheral facial nerve palsy. Eur. Arch. Otorhinolaryngol. 2008, 265, 743–752. [Google Scholar] [CrossRef] [PubMed]
- Walker, N.R.; Mistry, R.K.; Mazzoni, T. Facial Nerve Palsy. In StatPearls [Internet]; [Updated 25 September 2022]; StatPearls Publishing: Treasure Island, FL, USA, 2023. Available online: https://www.ncbi.nlm.nih.gov/books/NBK549815/ (accessed on 1 December 2022).
- Hohman, M.H.; Hadlock, T.A. Etiology, diagnosis, and management of facial palsy: 2000 patients at a facial nerve center. Laryngoscope 2014, 124, E283–E293. [Google Scholar] [CrossRef] [PubMed]
- Baugh, R.F.; Basura, G.J.; Ishii, L.E.; Schwartz, S.R.; Drumheller, C.M.; Burkholder, R.; Deckard, N.A.; Dawson, C.; Driscoll, C.; Gillespie, M.B.; et al. Clinical practice guideline: Bell’s palsy. Otolaryngol. Head Neck. Surg. 2013, 149, S1–S27. [Google Scholar] [CrossRef] [PubMed]
- Birkmann, C.; Bamborschke, S.; Halber, M.; Haupt, W.F. Bell’s palsy: Electrodiagnostics are not indicative of cerebrospinal fluid abnormalities. Ann. Otol. Rhinol. Laryngol. 2001, 110, 581–584. [Google Scholar] [CrossRef] [PubMed]
- Kohler, A.; Chofflon, M.; Sztajzel, R.; Magistris, M.R. Cerebrospinal fluid in acute peripheral facial palsy. J. Neurol. 1999, 246, 165–169. [Google Scholar] [CrossRef] [PubMed]
- Heckmann, J.G.; Urban, P.P.; Pitz, S.; Guntinas-Lichius, O.; Gágyor, I. The Diagnosis and Treatment of Idiopathic Facial Paresis (Bell’s Palsy). Dtsch Arztebl. Int. 2019, 116, 692–702. [Google Scholar] [CrossRef] [PubMed]
- Hufschmidt, A.; Müller-Felber, W.; Tzitiridou, M.; Fietzek, U.M.; Haberl, C.; Heinen, F. Canalicular magnetic stimulation lacks specificity to differentiate idiopathic facial palsy from borreliosis in children. Eur. J. Paediatr. Neurol. 2008, 12, 366–370. [Google Scholar] [CrossRef] [PubMed]
- Hur, D.M.; Kim, S.H.; Lee, Y.H.; Kim, S.H.; Park, J.M.; Kim, J.H.; Yong, S.Y.; Shinn, J.M.; Oh, K.J. Comparison of Transcranial Magnetic Stimulation and Electroneuronography Between Bell’s Palsy and Ramsay Hunt Syndrome in Their Acute Stages. Ann. Rehabil. Med. 2013, 37, 103–109. [Google Scholar] [CrossRef] [PubMed]
- Nowak, D.A.; Linder, S.; Topka, H. Diagnostic relevance of transcranial magnetic and electric stimulation of the facial nerve in the management of facial palsy. Clin. Neurophysiol. 2005, 116, 2051–2057. [Google Scholar] [CrossRef] [PubMed]
- Happe, S.; Bunten, S. Electrical and transcranial magnetic stimulation of the facial nerve: Diagnostic relevance in acute isolated facial nerve palsy. Eur. Neurol. 2012, 68, 304–309. [Google Scholar] [CrossRef] [PubMed]
- Rösler, K.M.; Hess, C.W.; Schmid, U.D. Investigation of facial motor pathways by electrical and magnetic stimulation: Sites and mechanisms of excitation. J. Neurol. Neurosurg. Psychiatry 1989, 52, 1149–1156. [Google Scholar] [CrossRef] [PubMed]
- Rimpiläinen, I.; Eskola, H.; Laippala, P.; Laranne, J.; Karma, P. Prognostication of Bell’s palsy using transcranial magnetic stimulation. Acta Otolaryngol. Suppl. 1997, 529, 111–115. [Google Scholar] [CrossRef]
- Laranne, J.; Rimpiläinen, I.; Karma, P.; Eskola, H.; Häkkinen, V.; Laippala, P. A comparison of transcranial magnetic stimulation with electroneuronography as a predictive test in patients with Bell’s palsy. Eur. Arch. Otorhinolaryngol. 1995, 252, 344–347. [Google Scholar] [CrossRef] [PubMed]
- House, J.W.; Brackmann, D.E. Facial nerve grading system. Otolaryngol. Head Neck. Surg. 1985, 93, 146–147. [Google Scholar] [CrossRef]


| Diagnosis | Secondary | Idiopathic | p-Value |
|---|---|---|---|
| Number of patients | 74 (14.9%) | 424 (85.1%) | |
| Gender (male/female) | 48 (64.9%)/26 (35.1%) | 220 (51.9%)/204 (48.1%) | <0.05 * |
| Age in years (±SD) | 60.9 (±18.2) | 45.7 (±16.6) | <0.01 * |
| Duration of symptoms in days (±SD) | 2.6 (±1.2) | 2.6 (±1.1) | 0.895 |
| Median disease severity in HB-grade (IQR) | 3.00 (IQR 2–4) | 3.00 (IQR 2–4) | 0.373 |
| Variable | Idiopathic (n = 424) | Secondary (n = 74) | p-Value |
|---|---|---|---|
| ARFC on the affected side (in %) (±SD) | 68.4 (±24.2) | 75.3 (±25.2) | <0.01 * |
| ARFC on the healthy side (in %) (±SD) | 16.8 (±11.9) | 20.1 (±15.8) | 0.245 |
| ΔARFC (in %) (±SD) | 51.6 (±25.6) | 55.2 (±30.8) | 0.076 |
| Variable | Idiopathic, ≤3 Days (n = 349) | Idiopathic, >3 Days (n = 75) | p-Value | Secondary, ≤3 Days (n = 60) | Secondary, >3 Days (n = 14) | p-Value |
|---|---|---|---|---|---|---|
| CMAP-ES affected side in mV (±SD) | 2.24 (±0.69) | 1.91 (±0.73) | <0.01 * | 1.64 (±0.65) | 1.43 (±0.67) | 0.350 |
| CMAP-ES healthy side in mV (±SD) | 2.46 (±0.72) | 2.43 (±0.71) | 0.797 | 2.02 (±0.73) | 1.94 (±0.64) | 0.868 |
| Relative CMAP-ES in % (±SD) | 92.78 (±21.58) | 79.04 (±23.29) | <0.01 * | 86.97 (±42.23) | 72.33 (±23.11) | 0.224 |
Disclaimer/Publisher’s Note: The statements, opinions and data contained in all publications are solely those of the individual author(s) and contributor(s) and not of MDPI and/or the editor(s). MDPI and/or the editor(s) disclaim responsibility for any injury to people or property resulting from any ideas, methods, instructions or products referred to in the content. |
© 2023 by the authors. Licensee MDPI, Basel, Switzerland. This article is an open access article distributed under the terms and conditions of the Creative Commons Attribution (CC BY) license (https://creativecommons.org/licenses/by/4.0/).
Share and Cite
Kleinveld, V.E.A.; Platzgummer, S.; Wanschitz, J.; Horlings, C.G.C.; Löscher, W.N. Transcranial Magnetic Stimulation in the Differential Diagnosis of Unilateral Peripheral Facial Nerve Palsy. Brain Sci. 2023, 13, 624. https://doi.org/10.3390/brainsci13040624
Kleinveld VEA, Platzgummer S, Wanschitz J, Horlings CGC, Löscher WN. Transcranial Magnetic Stimulation in the Differential Diagnosis of Unilateral Peripheral Facial Nerve Palsy. Brain Sciences. 2023; 13(4):624. https://doi.org/10.3390/brainsci13040624
Chicago/Turabian StyleKleinveld, Vera E. A., Sarah Platzgummer, Julia Wanschitz, Corinne G. C. Horlings, and Wolfgang N. Löscher. 2023. "Transcranial Magnetic Stimulation in the Differential Diagnosis of Unilateral Peripheral Facial Nerve Palsy" Brain Sciences 13, no. 4: 624. https://doi.org/10.3390/brainsci13040624
APA StyleKleinveld, V. E. A., Platzgummer, S., Wanschitz, J., Horlings, C. G. C., & Löscher, W. N. (2023). Transcranial Magnetic Stimulation in the Differential Diagnosis of Unilateral Peripheral Facial Nerve Palsy. Brain Sciences, 13(4), 624. https://doi.org/10.3390/brainsci13040624
