Effects of High-Intensity Interval Training on Executive Functions in College Students: Evidence from Different Doses
Abstract
1. Introduction
2. Materials and Methods
2.1. Participants
2.2. Study Methodology
2.3. EF Test
2.4. Statistical Analysis
3. Results
3.1. Subjects Characteristics
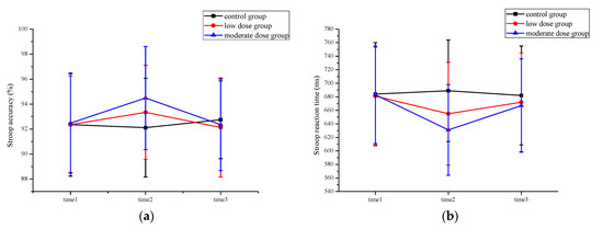
3.2. Effects of Low vs. Moderate Dose HIIT on Inhibition
3.3. Effects of Low vs. Moderate Dose HIIT on Cognitive Flexibility
3.4. Effects of Low vs. Moderate Dose HIIT on Working Memory
4. Discussion
5. Conclusions
Supplementary Materials
Author Contributions
Funding
Institutional Review Board Statement
Informed Consent Statement
Data Availability Statement
Acknowledgments
Conflicts of Interest
References
- Del Missier, F.; Mantyla, T.; De Bruin, W.B. Decision-making competence, executive functioning, and general cognitive abilities. J. Behav. Decis. Mak. 2012, 25, 331–351. [Google Scholar] [CrossRef]
- Zelazo, P.D. Executive function: Reflection, iterative reprocessing, complexity, and the developing brain. Dev. Rev. 2015, 38, 55–68. [Google Scholar] [CrossRef]
- Diamond, A. Executive functions. Annu. Rev. Psychol. 2013, 64, 135–168. [Google Scholar] [CrossRef]
- Bari, A.; Robbins, T.W. Inhibition and impulsivity: Behavioral and neural basis of response control. Prog. Neurobiol. 2013, 108, 44–79. [Google Scholar] [CrossRef] [PubMed]
- Barak, O.; Tsodyks, M. Working models of working memory. Curr. Opin. Neurobiol. 2014, 25, 20–24. [Google Scholar] [CrossRef]
- Dajani, D.R.; Uddin, L.Q. Demystifying cognitive flexibility: Implications for clinical and developmental neuroscience. Trends Neurosci. 2015, 38, 571–578. [Google Scholar] [CrossRef]
- Ji, C.; Yang, J. Effects of physical exercise and virtual training on visual attention levels in children with autism spectrum disorders. Brain Sci. 2022, 12, 41. [Google Scholar] [CrossRef] [PubMed]
- Willoughby, M.T.; Wylie, A.C.; Little, M.H. Testing longitudinal associations between executive function and academic achievement. Dev. Psychol. 2019, 55, 767–779. [Google Scholar] [CrossRef]
- Bull, F.C.; Al-Ansari, S.S.; Biddle, S.; Borodulin, K.; Bumanat, M.P.; Cardonal, G.; Carty, C.; Chaput, J.-P.; Chastin, S.; Chou, R.; et al. World Health Organization 2020 guidelines on physical activity and sedentary behaviour. Br. J. Sport. Med. 2020, 54, 1451–1462. [Google Scholar] [CrossRef]
- American College of Sports Medicine; Liguori, G.; Feito, Y.; Fountaine, C.; Roy, B.A. ACSM’s Guidelines for Exercise Testing and Prescription, 11th ed.; Wolters Kluwer Health: Philadelphia, PA, USA, 2021. [Google Scholar]
- Chou, C.; Hsueh, M.; Chiu, Y.; Wang, W.; Huang, M.; Huang, C. Sustained effects of acute resistance exercise on executive function in healthy middle-aged adults. Front. Hum. Neurosci. 2021, 15, 451. [Google Scholar] [CrossRef]
- Park, J. Effects of acute moderate-intensity aerobic exercise on executive function and prefrontal cortex activity in community-dwelling older adults: A single-blind, randomized controlled trial. Geriatr. Gerontol. Int. 2022, 22, 227–232. [Google Scholar] [CrossRef] [PubMed]
- Chang, Y.; Etnier, J.L. Exploring the dose-response relationship between resistance exercise intensity and cognitive function. J. Sport Exerc. Psychol. 2009, 31, 640–656. [Google Scholar] [CrossRef] [PubMed]
- Caciula, M.C.; Horvat, M.; Tomporowski, P.D.; Nocera, J. The effects of exercise frequency on executive function in individuals with parkinson’s disease. Ment. Health Phys. Act. 2016, 10, 18–24. [Google Scholar] [CrossRef]
- Stone, B.L.; Beneda-Bender, M.; McCollum, D.L.; Sun, J.; Shelley, J.H.; Ashley, J.D.; Fuenzalida, E.; Kellawan, J.M. Understanding cognitive performance during exercise in reserve officers’ training corps: Establishing the executive function-exercise intensity relationship. J. Appl. Physiol. 2020, 129, 846–854. [Google Scholar] [CrossRef] [PubMed]
- Moeller, F.; Hoffmann, U.; Dalecki, M.; Draeger, T.; Doppelmayr, M.; Steinberg, F. Physical exercise intensity during submersion selectively affects executive functions. Hum. Factors 2021, 63, 227–239. [Google Scholar] [CrossRef]
- Kercher, V.M.; Kercher, K.; Levy, P.; Bennion, T.; Alexander, C.; Amaral, P.C.; Batrakoulis, A.; Chávez, L.F.J.G.; Cortés-Almanzar, P.; Haro, J.L.; et al. Fitness Trends from Around the Globe. ACSMs Health Fit. J. 2023, 27, 19–30. [Google Scholar] [CrossRef]
- Hsieh, S.; Chueh, T.; Huang, C.; Kao, S.; Hillman, C.H.; Chang, Y.; Hung, T. Systematic review of the acute and chronic effects of high-intensity interval training on executive function across the lifespan. J. Sport. Sci. 2021, 39, 10–22. [Google Scholar] [CrossRef]
- Zhu, Y.; Sun, F.; Chiu, M.M.; Siu, A.Y. Effects of high-intensity interval exercise and moderate-intensity continuous exercise on executive function of healthy young males. Physiol. Behav. 2021, 239, 113505. [Google Scholar] [CrossRef]
- Anders, J.P.V.; Kraemer, W.J.; Newton, R.U.; Post, E.M.; Caldwell, L.K.; Beeler, M.K.; DuPont, W.H.; Martini, E.R.; Volek, J.S.; Hakkinen, K.; et al. Acute effects of high-intensity resistance exercise on cognitive function. J. Sport. Sci. Med. 2021, 20, 391–397. [Google Scholar] [CrossRef]
- Srinivas, N.S.; Vimalan, V.; Padmanabhan, P.; Gulyas, B. An overview on cognitive function enhancement through physical exercises. Brain Sci. 2021, 11, 1289. [Google Scholar] [CrossRef]
- Costello, S.E.; O’Neill, B.V.; Howatson, G.; van Someren, K.; Haskell-Ramsay, C.F. Detrimental effects on executive function and mood following consecutive days of repeated high-intensity sprint interval exercise in trained male sports players. J. Sport. Sci. 2022, 40, 783–796. [Google Scholar] [CrossRef] [PubMed]
- Chen, M.; Wu, Y.J.; Wu, J.; Fu, Y.; Li, S.; Liu, H.; Lu, C.; Guo, T. Individual differences in inhibitory control abilities modulate the functional neuroplasticity of inhibitory control. Brain Struct. Funct. 2019, 224, 2357–2371. [Google Scholar] [CrossRef]
- Derakshan, N.; Smyth, S.; Eysenck, M.W. Effects of state anxiety on performance using a task-switching paradigm: An investigation of attentional control theory. Psychon. Bull. Rev. 2009, 16, 1112–1117. [Google Scholar] [CrossRef] [PubMed]
- Kirchner, W.K. Age differences in short-term retention of rapidly changing information. J. Exp. Psychol. 1958, 55, 352–358. [Google Scholar] [CrossRef] [PubMed]
- Kao, S.; Baumgartner, N.; Nagy, C.; Fu, H.; Yang, C.; Wang, C. Acute effects of aerobic exercise on conflict suppression, response inhibition, and processing efficiency underlying inhibitory control processes: An ERP and SFT study. Psychophysiology 2022, 59, e14032. [Google Scholar] [CrossRef]
- Nouchi, R.; Nouchi, H.; Kawashima, R. A single 30 minutes bout of combination physical exercises improved inhibition and vigor-mood in middle-aged and older females: Evidence from a randomized controlled trial. Front. Aging Neurosci. 2020, 12, 1179. [Google Scholar] [CrossRef] [PubMed]
- Batrakoulis, A.; Jamurtas, A.Z.; Tsimeas, P.; Poulios, A.; Perivoliotis, K.; Syrou, N.; Papanikolaou, K.; Draganidis, D.; Deli, C.K.; Metsios, G.S.; et al. Hybrid-type, multicomponent interval training upregulates musculoskeletal fitness of adults with overweight and obesity in a volume-dependent manner: A 1-year dose-response randomised controlled trial. Eur. J. Sport Sci. 2022, 23, 432–443. [Google Scholar] [CrossRef] [PubMed]
- Chang, Y.; Chen, F.; Kuan, G.; Wei, G.; Chu, C.; Yan, J.; Chen, A.; Hung, T. Effects of acute exercise duration on the inhibition aspect of executive function in late middle-aged adults. Front. Aging Neurosci. 2019, 11, 227. [Google Scholar] [CrossRef]
- Shukla, D.; Heath, M. A single bout of exercise provides a persistent benefit to cognitive flexibility. Res. Q. Exerc. Sport 2022, 93, 516–527. [Google Scholar] [CrossRef]
- Mekari, S.; Neyedli, H.F.; Fraser, S.; O’Brien, M.W.; Martins, R.; Evans, K.; Earle, M.; Aucoin, R.; Chiekwe, J.; Hollohan, Q.; et al. High-intensity interval training improves cognitive flexibility in older adults. Brain Sci. 2020, 10, 796. [Google Scholar] [CrossRef]
- Netz, Y.; Argov, E.; Inbar, O. Fitness’s moderation of the facilitative effect of acute exercise on cognitive flexibility in older women. J. Aging Phys. Act. 2009, 17, 154–166. [Google Scholar] [CrossRef] [PubMed]
- Bae, S.; Masaki, H. Effects of acute aerobic exercise on cognitive flexibility required during task-switching paradigm. Front. Hum. Neurosci. 2019, 13, 260. [Google Scholar] [CrossRef] [PubMed]
- Brockett, A.T.; LaMarca, E.A.; Gould, E. Physical exercise enhances cognitive flexibility as well as astrocytic and synaptic markers in the medial prefrontal cortex. PLoS ONE 2015, 10, e0124859. [Google Scholar] [CrossRef] [PubMed]
- Wheeler, M.J.; Green, D.J.; Ellis, K.A.; Cerin, E.; Heinonen, I.; Naylor, L.H.; Larsen, R.; Wennberg, P.; Boraxbekk, C.; Lewis, J.; et al. Distinct effects of acute exercise and breaks in sitting on working memory and executive function in older adults: A three-arm, randomised cross-over trial to evaluate the effects of exercise with and without breaks in sitting on cognition. Br. J. Sport. Med. 2020, 54, 776–781. [Google Scholar] [CrossRef]
- Wen, X.; Yang, Y.; Wang, F. Influence of acute exercise on inhibitory control and working memory of children: A comparison between soccer, resistance, and coordinative exercises. Int. J. Sport Psychol. 2021, 52, 101–119. [Google Scholar]
- Wilke, J. Functional high-intensity exercise is more effective in acutely increasing working memory than aerobic walking: An exploratory randomized, controlled trial. Sci. Rep. 2020, 10, 12335. [Google Scholar] [CrossRef]
- Mou, H.; Fang, Q.; Tian, S.; Qiu, F. Effects of acute exercise with different modalities on working memory in men with high and low aerobic fitness. Physiol. Behav. 2023, 258, 114012. [Google Scholar] [CrossRef]
- Kao, S.; Wang, C.; Kamijo, K.; Khan, N.; Hillman, C. Acute effects of highly intense interval and moderate continuous exercise on the modulation of neural oscillation during working memory. Int. J. Psychophysiol. 2021, 160, 10–17. [Google Scholar] [CrossRef]
- Garrett, J.; Bullock, T.; Giesbrecht, B. Tracking the contents of spatial working memory during an acute bout of aerobic exercise. J. Cogn. Neurosci. 2021, 33, 1271–1286. [Google Scholar] [CrossRef]
- Drollette, E.S.; Meadows, C.C. The effects of acute high-intensity interval exercise on the temporal dynamics of working memory and contralateral delay activity. Psychophysiology 2022, 59, e14112. [Google Scholar] [CrossRef]





| Characteristics | Virtual Training Group | Physical Exercise Group | Control Group | p-Value |
|---|---|---|---|---|
| Number | 27 | 26 | 28 | - |
| Age (years) | 22.55 ± 2.76 | 21.98 ± 2.25 | 22.79 ± 2.36 | 0.647 |
| Gender (male/female) | 17/10 | 17/9 | 15/13 | 0.641 |
| BMI (kg/m2) | 20.39 ± 2.77 | 21.32 ± 4.82 | 20.94 ± 2.01 | 0.301 |
| VO2MAX (mL/kg/min) | 39.46 ± 4.59 | 37.45 ± 5.67 | 36.95 ± 6.08 | 0.103 |
| Physical activity (min/week) | 58.49 ± 18.36 | 52.49 ± 18.35 | 55.38 ± 17.64 | 0.115 |
| Resting HR (bpm) | 77.32 ± 9.35 | 77.8 ± 10.34 | 77.8 ± 10.34 | 0.201 |
Disclaimer/Publisher’s Note: The statements, opinions and data contained in all publications are solely those of the individual author(s) and contributor(s) and not of MDPI and/or the editor(s). MDPI and/or the editor(s) disclaim responsibility for any injury to people or property resulting from any ideas, methods, instructions or products referred to in the content. |
© 2023 by the authors. Licensee MDPI, Basel, Switzerland. This article is an open access article distributed under the terms and conditions of the Creative Commons Attribution (CC BY) license (https://creativecommons.org/licenses/by/4.0/).
Share and Cite
Wang, X.; Liu, Z.; Zhang, H.; Ji, C. Effects of High-Intensity Interval Training on Executive Functions in College Students: Evidence from Different Doses. Brain Sci. 2023, 13, 571. https://doi.org/10.3390/brainsci13040571
Wang X, Liu Z, Zhang H, Ji C. Effects of High-Intensity Interval Training on Executive Functions in College Students: Evidence from Different Doses. Brain Sciences. 2023; 13(4):571. https://doi.org/10.3390/brainsci13040571
Chicago/Turabian StyleWang, Xiaomei, Zhigang Liu, Huanyu Zhang, and Chaoxin Ji. 2023. "Effects of High-Intensity Interval Training on Executive Functions in College Students: Evidence from Different Doses" Brain Sciences 13, no. 4: 571. https://doi.org/10.3390/brainsci13040571
APA StyleWang, X., Liu, Z., Zhang, H., & Ji, C. (2023). Effects of High-Intensity Interval Training on Executive Functions in College Students: Evidence from Different Doses. Brain Sciences, 13(4), 571. https://doi.org/10.3390/brainsci13040571

