Upper Limb Function Recovery by Combined Repetitive Transcranial Magnetic Stimulation and Occupational Therapy in Patients with Chronic Stroke According to Paralysis Severity
Abstract
1. Introduction
2. Materials and Methods
2.1. Study Design
2.2. Ethics Statements
2.3. Participants
2.4. Sample Size
2.5. rTMS Combined with Occupational Therapy
2.6. Outcomes
2.7. Statistical Analysis
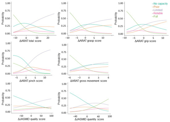
3. Results
3.1. Participants
3.2. Descriptive Data
3.3. Outcome Data
3.4. Main Results
4. Discussion
5. Conclusions
Author Contributions
Funding
Institutional Review Board Statement
Informed Consent Statement
Data Availability Statement
Acknowledgments
Conflicts of Interest
Appendix A
| Index of Measurements | Predictors | Coefficient | p | Odds Ratio | 95% Confidence Interval | ||
| Lower | Upper | ||||||
| ARAT | Total | Poor | 0.9 | <0.001 | 2.53 | 1.79 | 3.56 |
| Limited | 1.1 | <0.001 | 3.08 | 2.26 | 4.21 | ||
| Notable | 0.8 | <0.001 | 2.22 | 1.45 | 3.40 | ||
| Full | −0.9 | <0.001 | 0.42 | 0.29 | 0.61 | ||
| A. grasp | Poor | 0.6 | 0.002 | 1.80 | 1.25 | 2.59 | |
| Limited | 0.6 | <0.001 | 1.79 | 1.30 | 2.47 | ||
| Notable | 0.1 | 0.734 | 1.08 | 0.69 | 1.70 | ||
| Full | −0.8 | <0.001 | 0.44 | 0.29 | 0.67 | ||
| B. grip | Poor | 0.6 | 0.001 | 1.86 | 1.28 | 2.70 | |
| Limited | 0.6 | <0.001 | 1.82 | 1.31 | 2.53 | ||
| Notable | 0.2 | 0.382 | 1.24 | 0.76 | 1.99 | ||
| Full | −0.8 | <0.001 | 0.45 | 0.29 | 0.69 | ||
| C. pinch | Poor | 1.0 | <0.001 | 2.75 | 1.90 | 3.99 | |
| Limited | 1.7 | <0.001 | 5.43 | 3.86 | 7.67 | ||
| Notable | 1.5 | <0.001 | 4.52 | 2.80 | 7.26 | ||
| Full | −0.1 | 0.600 | 0.89 | 0.57 | 1.38 | ||
| D. gross movement | Poor | 0.2 | 0.344 | 1.21 | 0.82 | 1.77 | |
| Limited | 0.3 | 0.120 | 1.31 | 0.93 | 1.84 | ||
| Notable | −0.3 | 0.325 | 0.77 | 0.46 | 1.28 | ||
| Full | −1.0 | <0.001 | 0.38 | 0.23 | 0.61 | ||
| JASMID | Quantity | Poor | 0.3 | 0.047 | 1.40 | 1.00 | 1.96 |
| Limited | 0.5 | 0.001 | 1.64 | 1.22 | 2.20 | ||
| Notable | 0.8 | <0.001 | 2.16 | 1.38 | 3.36 | ||
| Full | 0.3 | 0.173 | 1.32 | 0.89 | 1.99 | ||
| Quality | Poor | 0.3 | 0.055 | 1.39 | 0.99 | 1.96 | |
| Limited | 0.6 | <0.001 | 1.84 | 1.37 | 2.47 | ||
| Notable | 0.8 | <0.001 | 2.30 | 1.49 | 3.55 | ||
| Full | 0.8 | <0.001 | 2.23 | 1.49 | 3.34 | ||
Appendix B
| Recovery Capacity | Scores Predicted to Change Significantly | Goals for ADLs Using the Paralyzed Upper Limb and Fingers | Main Required Joint Movements |
| No: 0–10 | ARAT: Grasp, Gross movement | Holding a plate in place on a desk. | Shoulder flexion, adduction and internal rotation, forearm pronation. |
| Holding in place a paper or a book on a desk. | Shoulder flexion, adduction, and internal rotation, forearm pronation. | ||
| Lifting an upper garment when opening and closing a zipper. | Shoulder adduction and internal rotation, elbow extension, forearm pronation. | ||
| Washing the upper limb and fingers of the non-paralyzed side. | Shoulder flexion, adduction, abduction, elbow flexion, elbow extension. | ||
| Smoothing creases in clothes. Removing dust from clothes. | Shoulder flexion, adduction, abduction, elbow flexion, elbow extension. | ||
| Poor: 11–21 | ARAT: Grasp, Grip | Grasping a plastic bottle with the paralyzed limb. | Elbow flexion, Forearm supination, finger flexion. |
| Opening and closing a sliding door. | Shoulder flexion, extension, adduction, abduction, elbow extension. | ||
| Holding a toothbrush with the paralyzed limb when applying toothpaste. | Elbow flexion, forearm supination, finger flexion. | ||
| Flipping a switch or pressing an elevator button within reach using the paralyzed limb. | Shoulder flexion and extension, elbow flexion and extension. | ||
| Grasping a cell phone with the paralyzed hand. | Elbow flexion, forearm rotation, finger flexion. | ||
| Limited: 22–42 | ARAT: Grasp, Grip, Pinch, Gross movement | Manipulating a spoon or fork. | Forearm rotation, wrist flexion/extension, finger dexterity exercises. |
| Zipping and unzipping clothes; buttoning and unbuttoning clothes | Forearm rotation, wrist flexion/extension, finger dexterity exercises. | ||
| Putting on socks. Tying shoelaces. | Forearm rotation, wrist flexion/extension, finger dexterity exercises. | ||
| Washing one’s face. | Elbow flexion, external forearm rotation, wrist extension, finger extension. | ||
| Writing one’s signature. | Wrist flexion, wrist extension, finger dexterity exercises. | ||
| Notable: 43–54 | ARAT: Pinch | Drinking water from a cup. | Shoulder flexion/extension, elbow flexion, forearm rotation, finger flexion. |
| Drying laundry. | Shoulder flexion, elbow extension, forearm rotation, finger flexion and extension. | ||
| Washing hair. Tying hair. | Shoulder flexion, rotation, forearm rotation, and finger dexterity exercises. | ||
| Manipulating chopsticks. | Wrist flexion/extension, forearm rotation, finger dexterity exercises. | ||
| Tying a necktie. | Wrist flexion/extension, forearm rotation, finger dexterity exercises. | ||
| Full: 55–57 | JASMID: Quality | Cooking. | Wrist flexion/extension, forearm rotation, hand dexterity exercises. |
| Brushing teeth. | Elbow flexion/extension, forearm rotation, hand dexterity exercises. | ||
| Operating smartphones and PCs. | Forearm rotation, wrist flexion/extension, hand dexterity exercises. | ||
| Putting on and taking off necklaces and earrings. | Shoulder flexion/rotation, forearm rotation, and hand dexterity exercises. | ||
| The quality of ADLs improved to meet the patient’s desire. | Complex movements requiring multiple joints. |
References
- Carlsson, H.; Gard, G.; Brogardh, C. Upper-limb sensory impairments after stroke: Self-reported experiences of daily life and rehabilitation. J. Rehabil. Med. 2018, 50, 45–51. [Google Scholar] [CrossRef] [PubMed]
- Morris, J.H.; van Wijck, F.; Joice, S.; Donaghy, M. Predicting health related quality of life 6 months after stroke: The role of anxiety and upper limb dysfunction. Disabil. Rehabil. 2013, 35, 291–299. [Google Scholar] [CrossRef]
- Ahmed, I.; Mustafaoglu, R.; Benkhalifa, N.; Yakhoub, Y.H. Does noninvasive brain stimulation combined with other therapies improve upper extremity motor impairment, functional performance, and participation in activities of daily living after stroke? A systematic review and meta-analysis of randomized controlled trial. Top. Stroke Rehabil. 2022, 3, 1–22. [Google Scholar]
- Hatem, S.M.; Saussez, G.; Della Faille, M.; Prist, V.; Zhang, X.; Dispa, D.; Bleyenheuft, Y. Rehabilitation of motor function after stroke: A multiple systematic review focused on techniques to stimulate upper extremity recovery. Front. Hum. Neurosci. 2016, 10, 442. [Google Scholar] [CrossRef]
- Kakuda, W.; Abo, M.; Kobayashi, K.; Momosaki, R.; Yokoi, A.; Fukuda, A.; Ishikawa, A.; Ito, H.; Tominaga, A. Low-frequency repetitive transcranial magnetic stimulation and intensive occupational therapy for poststroke patients with upper limb hemiparesis: Preliminary study of a 15-day protocol. Int. J. Rehabil. Res. 2010, 33, 339–345. [Google Scholar] [CrossRef]
- Blesneag, A.V.; Slăvoacă, D.F.; Popa, L.; Stan, A.D.; Jemna, N.; Isai Moldovan, F.; Mureșanu, D.F. Low-frequency rTMS in patients with subacute ischemic stroke: Clinical evaluation of short and long-term outcomes and neurophysiological assessment of cortical excitability. J. Med. Life 2015, 8, 378–387. [Google Scholar]
- Murase, N.; Duque, J.; Mazzocchio, R.; Cohen, L.G. Influence of interhemispheric interactions on motor function in chronic stroke. Ann. Neurol. 2004, 55, 400–409. [Google Scholar] [CrossRef] [PubMed]
- Ferbert, A.; Priori, A.; Rothwell, J.C.; Day, B.L.; Colebatch, J.G.; Marsden, C.D. Interhemispheric inhibition of the human motor cortex. J. Physiol. 1992, 453, 525–546. [Google Scholar] [CrossRef]
- Adeyemo, B.O.; Simis, M.; Macea, D.D.; Fregni, F. Systematic review of parameters of stimulation, clinical trial design characteristics, and motor outcomes in noninvasive brain stimulation in stroke. Front. Psychiatry 2012, 3, 88. [Google Scholar] [CrossRef]
- Momosaki, R.; Abo, M.; Kakuda, W. Bilateral repetitive transcranial magnetic stimulation combined with intensive swallowing rehabilitation for chronic stroke Dysphagia: A case series study. Case Rep. Neurol. 2014, 6, 60–67. [Google Scholar] [CrossRef]
- Moslemi Haghighi, F.; Kordi Yoosefinejad, A.; Razeghi, M.; Shariat, A.; Bagheri, Z.; Rezaei, K. The effect of high-frequency repetitive transcranial magnetic stimulation on functional indices of affected upper limb in patients with subacute stroke. J. Biomed. Phys. Eng. 2021, 11, 175–184. [Google Scholar] [CrossRef]
- Guan, Y.Z.; Li, J.; Zhang, X.W.; Wu, S.; Du, H.; Cui, L.Y.; Zhang, W.H. Effectiveness of repetitive transcranial magnetic stimulation (rTMS) after acute stroke: A one-year longitudinal randomized trial. CNS Neurosci. Ther. 2017, 23, 940–946. [Google Scholar] [CrossRef]
- Kakuda, W.; Abo, M.; Shimizu, M.; Sasanuma, J.; Okamoto, T.; Yokoi, A.; Taguchi, K.; Mitani, S.; Harashima, H.; Urushidani, N.; et al. A multicenter study on low-frequency rTMS combined with intensive occupational therapy for upper limb hemiparesis in post-stroke patients. J. Neuroeng. Rehabil. 2012, 9, 4. [Google Scholar] [CrossRef]
- Tatsuno, H.; Hamaguchi, T.; Sasanuma, J.; Kakita, K.; Okamoto, T.; Shimizu, M.; Nakaya, N.; Abo, M. Does a combination treatment of repetitive transcranial magnetic stimulation and occupational therapy improve upper limb muscle paralysis equally in patients with chronic stroke caused by cerebral hemorrhage and infarction? A retrospective cohort study. Medicine 2021, 100, e26339. [Google Scholar] [CrossRef]
- Alt Murphy, M.; Resteghini, C.; Feys, P.; Lamers, I. An overview of systematic reviews on upper extremity outcome measures after stroke. BMC Neurol. 2015, 15, 29. [Google Scholar] [CrossRef]
- Hamaguchi, T.; Yamada, N.; Hada, T.; Abo, M. Prediction of motor recovery in the upper extremity for repetitive transcranial magnetic stimulation and occupational therapy goal setting in patients with chronic stroke: A retrospective analysis of prospectively collected data. Front. Neurol. 2020, 11, 581186. [Google Scholar] [CrossRef] [PubMed]
- Santisteban, L.; Teremetz, M.; Bleton, J.P.; Baron, J.C.; Maier, M.A.; Lindberg, P.G. Upper limb outcome measures used in stroke rehabilitation studies: A systematic literature review. PLoS ONE 2016, 11, e0154792. [Google Scholar] [CrossRef]
- Chen, P.; Liu, T.W.; Tse, M.M.Y.; Lai, C.K.Y.; Tsoh, J.; Ng, S.S.M. The predictive role of hand section of Fugl-Meyer assessment and motor activity log in action research arm test in people with stroke. Front. Neurol. 2022, 13, 926130. [Google Scholar] [CrossRef]
- Fleming, M.K.; Newham, D.J.; Roberts-Lewis, S.F.; Sorinola, I.O. Self-perceived utilization of the paretic arm in chronic stroke requires high upper limb functional ability. Arch. Phys. Med. Rehabil. 2014, 95, 918–924. [Google Scholar] [CrossRef] [PubMed]
- Lin, Y.L.; Potter-Baker, K.A.; Cunningham, D.A.; Li, M.; Sankarasubramanian, V.; Lee, J.; Jones, S.; Sakaie, K.; Wang, X.; Machado, A.G.; et al. Stratifying chronic stroke patients based on the influence of contralesional motor cortices: An inter-hemispheric inhibition study. Clin. Neurophysiol. 2020, 131, 2516–2525. [Google Scholar] [CrossRef] [PubMed]
- Paszkiel, S.; Dobrakowski, P. Brain–computer technology-based training system in the field of motor imagery. IET Sci. Meas. Technol. 2020, 14, 1014–1018. [Google Scholar] [CrossRef]
- Baniqued, P.D.E.; Stanyer, E.C.; Awais, M.; Alazmani, A.; Jackson, A.E.; Mon-Williams, M.A.; Mushtaq, F.; Holt, R.J. Brain-computer interface robotics for hand rehabilitation after stroke: A systematic review. J. Neuroeng. Rehabil. 2021, 18, 15. [Google Scholar] [CrossRef]
- Rossi, S.; Hallett, M.; Rossini, P.M.; Pascual-Leone, A.; Safety of TMS Consensus Group. Safety, ethical considerations, and application guidelines for the use of transcranial magnetic stimulation in clinical practice and research. Clin. Neurophysiol. 2009, 120, 2008–2039. [Google Scholar] [CrossRef] [PubMed]
- Abo, M.; Kakuda, W.; Momosaki, R.; Harashima, H.; Kojima, M.; Watanabe, S.; Sato, T.; Yokoi, A.; Umemori, T.; Sasanuma, J. Randomized, multicenter, comparative study of NEURO versus CIMT in poststroke patients with upper limb hemiparesis: The NEURO-VERIFY Study. Int. J. Stroke 2014, 9, 607–612. [Google Scholar] [CrossRef] [PubMed]
- Thieme, H.; Morkisch, N.; Mehrholz, J.; Pohl, M.; Behrens, J.; Borgetto, B.; Dohle, C. Mirror therapy for improving motor function after stroke. Cochrane Database Syst. Rev. 2018, 7, CD008449. [Google Scholar] [CrossRef]
- Marcolino, M.A.Z.; Hauck, M.; Stein, C.; Schardong, J.; Pagnussat, A.S.; Plentz, R.D.M. Effects of transcutaneous electrical nerve stimulation alone or as additional therapy on chronic post-stroke spasticity: Systematic review and meta-analysis of randomized controlled trials. Disabil. Rehabil. 2020, 42, 623–635. [Google Scholar] [CrossRef]
- Conforto, A.B.; Dos Anjos, S.M.; Bernardo, W.M.; Silva, A.A.D.; Conti, J.; Machado, A.G.; Cohen, L.G. Repetitive Peripheral Sensory Stimulation and Upper Limb Performance in Stroke: A Systematic Review and Meta-analysis. Neurorehabil. Neural Repair 2018, 32, 863–871. [Google Scholar] [CrossRef]
- Costantino, C.; Galuppo, L.; Romiti, D. Short-term effect of local muscle vibration treatment versus sham therapy on upper limb in chronic post-stroke patients: A randomized controlled trial. Eur. J. Phys. Rehabil. Med. 2017, 53, 32–40. [Google Scholar] [CrossRef] [PubMed]
- Carroll, D. A quantitative test of upper extremity function. J. Chronic Dis. 1965, 18, 479–491. [Google Scholar] [CrossRef]
- Lyle, R.C. A performance test for assessment of upper limb function in physical rehabilitation treatment and research. Int. J. Rehabil. Res. 1981, 4, 483–492. [Google Scholar] [CrossRef] [PubMed]
- Hoonhorst, M.H.; Nijland, R.H.; van den Berg, J.S.; Emmelot, C.H.; Kollen, B.J.; Kwakkel, G. How do Fugl-Meyer arm motor scores relate to dexterity according to the action research arm test at 6 months poststroke? Arch. Phys. Med. Rehabil. 2015, 96, 1845–1849. [Google Scholar] [PubMed]
- Ishikawa, A.; Kakuda, W.; Taguchi, K.; Uruma, G.; Abo, M. The reliability and validity of a new subjective assessment scale for poststroke upper limb hemiparesis, the Jikei assessment scale for motor impairment in daily living. Tokyo Jikei Med. J. 2010, 125, 159–167. [Google Scholar]
- Uswatte, G.; Taub, E.; Morris, D.; Vignolo, M.; McCulloch, K. Reliability and validity of the upper-extremity Motor Activity Log-14 for measuring real-world arm use. Stroke 2005, 36, 2493–2496. [Google Scholar] [CrossRef]
- Dionisio, A.; Duarte, I.C.; Patricio, M.; Castelo-Branco, M. The use of repetitive transcranial magnetic stimulation for stroke rehabilitation: A systematic review. J. Stroke Cerebrovasc. Dis. 2018, 27, 1–31. [Google Scholar] [CrossRef]
- Coupar, F.; Pollock, A.; Rowe, P.; Weir, C.; Langhorne, P. Predictors of upper limb recovery after stroke: A systematic review and meta-analysis. Clin. Rehabil. 2012, 26, 291–313. [Google Scholar] [CrossRef]
- Nowak, D.A.; Grefkes, C.; Ameli, M.; Fink, G.R. Interhemispheric competition after stroke: Brain stimulation to enhance recovery of function of the affected hand. Neurorehabil. Neural Repair 2009, 23, 641–656. [Google Scholar]
- Raghavan, P. Upper limb motor impairment after stroke. Phys. Med. Rehabil. Clin. N. Am. 2015, 26, 599–610. [Google Scholar] [CrossRef]
- Taub, E.; Uswatte, G.; Elbert, T. New treatments in neurorehabilitation founded on basic research. Nat. Rev. Neurosci. 2002, 3, 228–236. [Google Scholar] [CrossRef] [PubMed]
- Stewart, J.C.; Lewthwaite, R.; Rocktashel, J.; Winstein, C.J. Self-efficacy and reach performance in individuals with mild motor impairment due to stroke. Neurorehabil. Neural Repair 2019, 33, 319–328. [Google Scholar]
- Rice, D.B.; McIntyre, A.; Mirkowski, M.; Janzen, S.; Viana, R.; Britt, E.; Teasell, R. Patient-centered goal setting in a hospital-based outpatient stroke rehabilitation center. PM R 2017, 9, 856–865. [Google Scholar] [CrossRef]
- Hayward, K.; Barker, R.; Brauer, S. Interventions to promote upper limb recovery in stroke survivors with severe paresis: A systematic review. Disabil. Rehabil. 2010, 32, 1973–1986. [Google Scholar] [CrossRef]
- Hayward, K.S.; Kuys, S.S.; Barker, R.N.; Brauer, S.G. Can stroke survivors with severe upper arm disability achieve a clinically important change in arm function during inpatient rehabilitation? A multicentre, prospective, observational study. NeuroRehabilitation 2014, 35, 17–23. [Google Scholar] [CrossRef]
- Matsuoka, K.; Watanabe, A.; Kawaguchi, T.; Misawa, K.; Murakami, K.; Fukuda, M. Development of a new daily activities scale for the affected hand after stroke. Prog. Rehabil. Med. 2020, 5, 20200031. [Google Scholar] [CrossRef] [PubMed]
- van Andel, C.J.; Wolterbeek, N.; Doorenbosch, C.A.; Veeger, D.H.; Harlaar, J. Complete 3D kinematics of upper extremity functional tasks. Gait Posture 2008, 27, 120–127. [Google Scholar] [CrossRef] [PubMed]
- Collins, K.C.; Kennedy, N.C.; Clark, A.; Pomeroy, V.M. Getting a kinematic handle on reach-to-grasp: A meta-analysis. Physiotherapy 2018, 104, 153–166. [Google Scholar]
- Cirstea, M.C.; Mitnitski, A.B.; Feldman, A.G.; Levin, M.F. Interjoint coordination dynamics during reaching in stroke. Exp. Brain Res. 2003, 151, 289–300. [Google Scholar]
- Takahashi, K.; Domen, K.; Sakamoto, T.; Toshima, M.; Otaka, Y.; Seto, M.; Irie, K.; Haga, B.; Takebayashi, T.; Hachisuka, K. Efficacy of upper extremity robotic therapy in subacute poststroke hemiplegia: An exploratory randomized trial. Stroke 2016, 47, 1385–1388. [Google Scholar] [CrossRef] [PubMed]
- Skinner, B.F. The Behavior of Organisms: An Experimental Analysis; BF Skinner Foundation: Cambridge, MA, USA, 2019. [Google Scholar]
- Dickinson, A. Actions and habits: The development of behavioural autonomy. Philos. Trans. R. Soc. London. B Biol. Sci. 1985, 308, 67–78. [Google Scholar]
- Jarque-Bou, N.J.; Vergara, M.; Sancho-Bru, J.L.; Gracia-Ibanez, V.; Roda-Sales, A. Hand kinematics characterization while performing activities of daily living through kinematics reduction. IEEE Trans. Neural Syst. Rehabil. Eng. 2020, 28, 1556–1565. [Google Scholar] [CrossRef]
- Chen, Y.W.; Liao, W.W.; Chen, C.L.; Wu, C.Y. Kinematic descriptions of upper limb function using simulated tasks in activities of daily living after stroke. Hum. Mov. Sci. 2021, 79, 102834. [Google Scholar] [CrossRef]
- Classen, J.; Liepert, J.; Wise, S.P.; Hallett, M.; Cohen, L.G. Rapid plasticity of human cortical movement representation induced by practice. J. Neurophysiol. 1998, 79, 1117–1123. [Google Scholar] [CrossRef] [PubMed]
- Nudo, R.J.; Milliken, G.W.; Jenkins, W.M.; Merzenich, M.M. Use-dependent alterations of movement representations in primary motor cortex of adult squirrel monkeys. J. Neurosci. 1996, 16, 785–807. [Google Scholar] [CrossRef] [PubMed]
- Peurala, S.H.; Kantanen, M.P.; Sjogren, T.; Paltamaa, J.; Karhula, M.; Heinonen, A. Effectiveness of constraint-induced movement therapy on activity and participation after stroke: A systematic review and meta-analysis of randomized controlled trials. Clin. Rehabil. 2012, 26, 209–223. [Google Scholar] [CrossRef] [PubMed]
- Han, C.E.; Arbib, M.A.; Schweighofer, N. Stroke rehabilitation reaches a threshold. PLoS Comput. Biol. 2008, 4, e1000133. [Google Scholar] [CrossRef]
- Kim, K.; Song, W.K.; Lee, J.; Lee, H.Y.; Park, D.S.; Ko, B.W.; Kim, J. Kinematic analysis of upper extremity movement during drinking in hemiplegic subjects. Clin. Biomech. 2014, 29, 248–256. [Google Scholar] [CrossRef]
- Veeger, H.E.; Magermans, D.J.; Nagels, J.; Chadwick, E.K.; van der Helm, F.C. A kinematical analysis of the shoulder after arthroplasty during a hair combing task. Clin. Biomech. 2006, 21, S39–S44. [Google Scholar] [CrossRef]
- Brunnstrom, S. Motor testing procedures in hemiplegia: Based on sequential recovery stages. Phys. Ther. 1966, 46, 357–375. [Google Scholar] [CrossRef] [PubMed]
- Hijikata, N.; Kawakami, M.; Ishii, R.; Tsuzuki, K.; Nakamura, T.; Okuyama, K.; Liu, M. Item difficulty of Fugl-Meyer Assessment for upper extremity in persons with chronic stroke with moderate-to-severe upper limb impairment. Front. Neurol. 2020, 11, 577855. [Google Scholar] [CrossRef]
- Tauchi, Y.; Kyougoku, M.; Takahashi, K.; Okita, Y.; Takebayashi, T. Dimensionality and item-difficulty hierarchy of the Fugl-Meyer assessment of the upper extremity among Japanese patients who have experienced stroke. Top Stroke Rehabil. 2021, 29, 1–9. [Google Scholar] [CrossRef]
- Schwarz, A.; Kanzler, C.M.; Lambercy, O.; Luft, A.R.; Veerbeek, J.M. Systematic review on kinematic assessments of upper limb movements after stroke. Stroke 2019, 50, 718–727. [Google Scholar] [CrossRef]
- Desrosiers, J.; Bravo, G.; Hébert, R.; Dutil, E.; Mercier, L. Validation of the Box and Block Test as a measure of dexterity of elderly people: Reliability, validity, and norms studies. Arch. Phys. Med. Rehabil. 1994, 75, 751–755. [Google Scholar] [CrossRef]
- Mathiowetz, V.; Volland, G.; Kashman, N.; Weber, K. Adult norms for the Box and Block Test of manual dexterity. Am. J. Occup. Ther. 1985, 39, 386–391. [Google Scholar] [CrossRef]
- Wolf, S.L.; Catlin, P.A.; Ellis, M.; Archer, A.L.; Morgan, B.; Piacentino, A. Assessing Wolf motor function test as outcome measure for research in patients after stroke. Stroke 2001, 32, 1635–1639. [Google Scholar] [CrossRef]
- Roda-Sales, A.; Vergara, M.; Sancho-Bru, J.L.; Gracia-Ibanez, V.; Jarque-Bou, N.J. Human hand kinematic data during feeding and cooking tasks. Sci. Data 2019, 6, 167. [Google Scholar] [CrossRef]
- Ko, P.H.; Hwang, Y.H.; Liang, H.W. Influence of smartphone use styles on typing performance and biomechanical exposure. Ergonomics 2016, 59, 821–828. [Google Scholar] [CrossRef]
- Zhao, C.G.; Ju, F.; Sun, W.; Jiang, S.; Xi, X.; Wang, H.; Sun, X.L.; Li, M.; Xie, J.; Zhang, K.; et al. Effects of Training with a Brain-Computer Interface-Controlled Robot on Rehabilitation Outcome in Patients with Subacute Stroke: A Randomized Controlled Trial. Neurol. Ther. 2022, 11, 679–695. [Google Scholar]
- Prasad, G.; Herman, P.; Coyle, D.; McDonough, S.; Crosbie, J. Applying a brain-computer interface to support motor imagery practice in people with stroke for upper limb recovery: A feasibility study. J. Neuroeng. Rehabil. 2010, 7, 60. [Google Scholar] [CrossRef]
- Fu, J.; Chen, S.; Jia, J. Sensorimotor Rhythm-Based Brain-Computer Interfaces for Motor Tasks Used in Hand Upper Extremity Rehabilitation after Stroke: A Systematic Review. Brain. Sci. 2022, 13, 56. [Google Scholar] [CrossRef]
- Lin, J.H.; Hsu, M.J.; Sheu, C.F.; Wu, T.S.; Lin, R.T.; Chen, C.H.; Hsieh, C.L. Psychometric comparisons of 4 measures for assessing upper-extremity function in people with stroke. Phys. Ther. 2009, 89, 840–850. [Google Scholar] [CrossRef]
- Carey, L.M.; Matyas, T.A.; Baum, C. Effects of somatosensory impairment on participation after stroke. Am. J. Occup. Ther. 2018, 72, 7203205100p1–7203205100p10. [Google Scholar]
- Schinwelski, M.; Sławek, J. Prevalence of spasticity following stroke and its impact on quality of life with emphasis on disability in activities of daily living. Systematic review. Neurol. Neurochir. Pol. 2010, 44, 404–411. [Google Scholar] [CrossRef] [PubMed]
- Oosterwijk, A.M.; Nieuwenhuis, M.K.; van der Schans, C.P.; Mouton, L.J. Shoulder and elbow range of motion for the performance of activities of daily living: A systematic review. Physiother. Theory Pract. 2018, 34, 505–528. [Google Scholar] [CrossRef]
- Bland, M.D.; Beebe, J.A.; Hardwick, D.D.; Lang, C.E. Restricted active range of motion at the elbow, forearm, wrist, or fingers decreases hand function. J. Hand Ther. 2008, 21, 268–274. [Google Scholar] [CrossRef] [PubMed]
- Turner-Stokes, L.; Ashford, S.; Esquenazi, A.; Wissel, J.; Ward, A.B.; Francisco, G.; Lains, J.; Suputtitada, A.; Serrano, S.; Baguley, I.J.; et al. A comprehensive person-centered approach to adult spastic paresis: A consensus-based framework. Eur. J. Phys. Rehabil. Med. 2018, 54, 605–617. [Google Scholar] [CrossRef] [PubMed]
- Komatsu, T.; Hada, T.; Sasaki, N.; Kida, H.; Takahashi, J.; Maku, T.; Nakada, R.; Shiraishi, T.; Akiyama, S.; Kitagawa, T.; et al. Effects and safety of high-frequency rTMS in acute intracerebral hemorrhage patients: A pilot study. J. Neurol. Sci. 2022, 443, 120473. [Google Scholar] [CrossRef]
- Simmonds, K.P.; Luo, Z.; Reeves, M. Race/ethnic and stroke subtype differences in poststroke functional recovery after acute rehabilitation. Arch. Phys. Med. Rehabil. 2021, 102, 1473–1481. [Google Scholar] [CrossRef]



| Characteristics | All (n = 907) | |
|---|---|---|
| Age (years) | 63 (53, 70) | |
| Sex | Female | 297 (33) |
| Male | 610 (67) | |
| Paralyzed hand | Left | 395 (44) |
| Right | 512 (56) | |
| Dominant hand | Left | 44 (5) |
| Right | 861 (95) | |
| Laterality in the paretic and dominant hand | Bilateral | 2 (0.2) |
| Ipsilateral side | 411 (45) | |
| Contralateral side | 496 (54) | |
| Diagnosis | CI | 465 (51) |
| ICH | 442 (49) | |
| Time from onsets (months) | 40 (22, 68) | |
| rTMS stimulation method | Low frequency | 708 (78) |
| High frequency | 1 (0.1) | |
| Theta burst | 198 (22) | |
| Treatment by botulinum toxin A or xylocaine | Treatment | 900 (99) |
| No treatment | 7 (0.8) | |
| MAS of elbow flexor muscles | Grade 0 | 174 (19) |
| Grade 1 | 288 (32) | |
| Grade 1+ | 254 (28) | |
| Grade 2 | 124 (14) | |
| Grade 3 | 13 (1) | |
| Grade 4 | 2 (0) | |
| Missing data | 52 (6) | |
| Pre-treatment ARAT score | Total | 22 (8, 38) |
| Pre-treatment JASMID score | Quantity | 34 (20, 57) |
| Quality | 31 (20, 50) | |
| Characteristics | Recovery Capacity on the ARAT | |||||
|---|---|---|---|---|---|---|
| No | Poor | Limited | Notable | Full | ||
| Patients (n) | 275 (30) | 167 (18) | 269 (30) | 84 (9) | 112 (12) | |
| Age (years) | 63 (53, 70) | 66 (54, 71) | 61 (52, 69) | 64 (55, 70) | 63 (54, 69) | |
| Sex | Female | 109 (40) | 58 (35) | 75 (28) | 29 (35) | 26 (23) |
| Male | 166 (60) | 109 (65) | 194 (72) | 55 (65) | 86 (77) | |
| Paralyzed hand | Left | 129 (47) | 74 (44) | 108 (40) | 39 (46) | 45 (40) |
| Right | 146 (53) | 93 (56) | 161 (60) | 45 (54) | 67 (60) | |
| Dominant hand | Left | 19 (7) | 3 (2) | 9 (3) | 5 (6) | 5 (6) |
| Right | 256 (93) | 163 (98) | 259 (96) | 79 (94) | 79 (94) | |
| Bilateral | 0 (0) | 1 (1) | 1 (0.4) | 0 (0) | 0 (0) | |
| Laterality in the paretic and dominant hand | Ipsilateral side | 136 (49) | 76 (46) | 112 (42) | 40 (48) | 47 (42) |
| Contralateral side | 139 (51) | 91 (54) | 157 (58) | 44 (52) | 65 (58) | |
| Diagnosis | CI | 145 (53) | 89 (53) | 138 (51) | 47 (56) | 46 (41) |
| ICH | 130 (47) | 78 (47) | 131 (49) | 37 (44) | 66 (59) | |
| Time from onset (months) | 45 (27, 70) | 40 (24, 63) | 34 (19, 66) | 37 (21, 78) | 39 (18, 63) | |
| rTMS stimulation method | Low frequency | 222 (81) | 124 (74) | 206 (77) | 67 (80) | 89 (79) |
| High frequency | 1 (0.4) | 0 (0) | 0 (0) | 0 (0) | 0 (0) | |
| Theta burst | 52 (19) | 43 (26) | 63 (23) | 17 (20) | 23 (20) | |
| Treatment by botulinum toxin A or xylocaine | Treatment | 2 (0.7) | 1 (0.6) | 2 (0.7) | 1 (1) | 1 (1) |
| No treatment | 273 (99) | 166 (99) | 267 (99) | 83 (99) | 111 (99) | |
| Pre-treatment ARAT score | Total | 4 (3, 6) | 16 (13, 18) | 30 (26, 36) | 48 (45, 51) | 57 (56, 57) |
| Pre-treatment JASMID score | Quantity | 20 (19, 26) | 28 (20, 38) | 41 (28, 58) | 60 (40, 77) | 73 (59, 91) |
| Quality | 20 (20, 25) | 26 (20, 35) | 25 (37, 51) | 48 (36, 63) | 63 (48, 78) | |
| Index of Measurements | ARAT Severity Classification | |||||
|---|---|---|---|---|---|---|
| No | Poor | Limited | Notable | Full | ||
| Δ ARAT | Total | 2.4 ± 4.2 | 3.9 ± 4.8 | 4.6 ± 5.8 | 3.0 ± 4.2 | 0.3 ± 1.3 |
| A. grasp | 0.9 ± 2.4 | 1.2 ± 2.2 | 1.2 ± 2.2 | 0.5 ± 1.6 | 0.0 ± 0.5 | |
| B. grip | 0.6 ± 1.4 | 1.0 ± 1.7 | 0.9 ± 1.8 | 0.5 ± 1.8 | 0.0 ± 0.3 | |
| C. pinch | 0.3 ± 0.9 | 1.2 ± 2.1 | 2.0 ± 3.0 | 1.6 ± 2.9 | 0.2 ± 1.1 | |
| D. gross movement | 0.5 ± 1.1 | 0.6 ± 1.2 | 0.6 ± 1.3 | 0.3 ± 1.1 | 0.1 ± 0.5 | |
| Δ JASMID | Quantity | 2.2 ± 10.9 | 3.3 ± 14.7 | 4.6 ± 12.0 | 5.1 ± 15.6 | 4.4 ± 15.5 |
| Quality | 1.6 ± 10.5 | 3.6 ± 11.8 | 4.5 ± 10.0 | 5.5 ± 11.2 | 7.2 ± 12.9 | |
| Index of Measurements | Pre-Treatment | Post- Treatment | Delta Value | F | p | η2 | |
|---|---|---|---|---|---|---|---|
| ARAT | Total | 24.7 ± 18.5 | 27.9 ± 18.8 | 3.1 ± 4.8 | 18.68 | <0.001 | 0.077 |
| A. grasp | 8.4 ± 6.5 | 9.3 ± 6.5 | 0.9 ± 2.1 | 7.48 | <0.001 | 0.032 | |
| B. grip | 5.4 ± 4.2 | 6.1 ± 4.3 | 0.7 ± 1.6 | 7.27 | <0.001 | 0.031 | |
| C. pinch | 5.5 ± 6.4 | 6.5 ± 6.6 | 1.1 ± 2.3 | 29.41 | <0.001 | 0.116 | |
| D. gross movement | 5.4 ± 2.7 | 5.9 ± 2.7 | 0.5 ± 1.1 | 4.82 | <0.001 | 0.021 | |
| JASMID | Quantity | 39.9 ± 25.2 | 44.0 ± 26.9 | 3.7 ± 13.1 | 2.02 | 0.089 | 0.009 |
| Quality | 35.7 ± 21.1 | 40.1 ± 23.1 | 3.9 ± 11.1 | 6.66 | <0.001 | 0.028 | |
Disclaimer/Publisher’s Note: The statements, opinions and data contained in all publications are solely those of the individual author(s) and contributor(s) and not of MDPI and/or the editor(s). MDPI and/or the editor(s) disclaim responsibility for any injury to people or property resulting from any ideas, methods, instructions or products referred to in the content. |
© 2023 by the authors. Licensee MDPI, Basel, Switzerland. This article is an open access article distributed under the terms and conditions of the Creative Commons Attribution (CC BY) license (https://creativecommons.org/licenses/by/4.0/).
Share and Cite
Sakamoto, D.; Hamaguchi, T.; Murata, K.; Ito, H.; Nakayama, Y.; Abo, M. Upper Limb Function Recovery by Combined Repetitive Transcranial Magnetic Stimulation and Occupational Therapy in Patients with Chronic Stroke According to Paralysis Severity. Brain Sci. 2023, 13, 284. https://doi.org/10.3390/brainsci13020284
Sakamoto D, Hamaguchi T, Murata K, Ito H, Nakayama Y, Abo M. Upper Limb Function Recovery by Combined Repetitive Transcranial Magnetic Stimulation and Occupational Therapy in Patients with Chronic Stroke According to Paralysis Severity. Brain Sciences. 2023; 13(2):284. https://doi.org/10.3390/brainsci13020284
Chicago/Turabian StyleSakamoto, Daigo, Toyohiro Hamaguchi, Kai Murata, Hiroshi Ito, Yasuhide Nakayama, and Masahiro Abo. 2023. "Upper Limb Function Recovery by Combined Repetitive Transcranial Magnetic Stimulation and Occupational Therapy in Patients with Chronic Stroke According to Paralysis Severity" Brain Sciences 13, no. 2: 284. https://doi.org/10.3390/brainsci13020284
APA StyleSakamoto, D., Hamaguchi, T., Murata, K., Ito, H., Nakayama, Y., & Abo, M. (2023). Upper Limb Function Recovery by Combined Repetitive Transcranial Magnetic Stimulation and Occupational Therapy in Patients with Chronic Stroke According to Paralysis Severity. Brain Sciences, 13(2), 284. https://doi.org/10.3390/brainsci13020284

