Differential Effects of Paraquat, Rotenone, and MPTP on Cellular Bioenergetics of Undifferentiated and Differentiated Human Neuroblastoma Cells
Abstract
1. Introduction
2. Materials and Methods
2.1. Chemicals and Reagents
2.2. Cell Culture
2.3. SH-SY5Y Cell Differentiation
2.3.1. Differentiation to Produce Cells of a Cholinergic Phenotype
2.3.2. Differentiation to Produce Cells of a Dopaminergic Phenotype
2.4. Cytotoxicity and Cell Viability Assessment Using an MTT Assay
2.5. Bioenergetics Assays
2.5.1. Intracellular ATP Measurements
2.5.2. Mitochondrial Complexes I and III Activity Measurements
2.5.3. Mitochondrial Complex I Assay
2.5.4. Mitochondrial Complex III Assay
2.6. Lactate Production Assay
2.7. Measurements of Markers of Oxidative Stress
2.7.1. Reactive Oxygen Species (ROS) Assay
2.7.2. NF-E2-Related Factor 2 (NRf2)
2.7.3. Thiobarbituric Acid Reactive Substances (TBARS)
2.7.4. Antioxidant Enzyme Activities
2.8. Statistical Analysis
3. Results
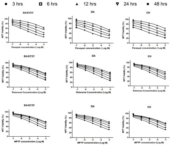
3.1. The Cytotoxic Effects of Paraquat, Rotenone, and MPTP
3.2. Bioenergetic Analysis of the Effects of Paraquat, Rotenone, and MPTP
Enzyme Kinetic Effects of Paraquat, Rotenone, and MPTP
3.3. The Effects of Paraquat, Rotenone, and MPTP on Cellular Oxidative Stress
4. Discussion
Supplementary Materials
Author Contributions
Funding
Data Availability Statement
Acknowledgments
Conflicts of Interest
References
- GBD 2015 Disease and Injury Incidence and Prevalence Collaborators. Global, regional, and national incidence, prevalence, and years lived with disability for 310 diseases and injuries, 1990–2015: A systematic analysis for the Global Burden of Disease Study 2015. Lancet 2016, 388, 1545–1602. [Google Scholar] [CrossRef]
- Ascherio, A.; Schwarzschild, M.A. The epidemiology of Parkinson’s disease: Risk factors and prevention. Lancet Neurol. 2016, 15, 1257–1272. [Google Scholar] [CrossRef] [PubMed]
- Langston, J.W.; Irwin, I.; Langston, E.B.; Forno, L.S. 1-Methyl-4-phenylpyridinium ion (MPP+): Identification of a metabolite of MPTP, a toxin selective to the substantia nigra. Neurosci. Lett. 1984, 48, 87–92. [Google Scholar] [CrossRef]
- Khan, S.U.; Lee, K.S. Determination of cyperquat (1-methyl-4-phenylpyridinium chloride) residues in soil by gas-liquid chromatography. J. Agric. Food Chem. 1976, 24, 684–686. [Google Scholar] [CrossRef] [PubMed]
- Bellou, V.; Belbasis, L.; Tzoulaki, I.; Evangelou, E.; Ioannidis, J.P.A. Environmental risk factors and Parkinson’s disease: An umbrella review of meta-analyses. Park. Relat. Disord. 2016, 23, 1–9. [Google Scholar] [CrossRef] [PubMed]
- Ahmed, H.; Abushouk, A.I.; Gabr, M.; Negida, A.; Abdel-Daim, M.M. Parkinson’s disease and pesticides: A meta-analysis of disease connection and genetic alterations. Biomed. Pharmacother. 2017, 90, 638–649. [Google Scholar] [CrossRef]
- Islam, S.; Azim, F.; Saju, H.; Zargaran, A.; Shirzad, M.; Kamal, M.; Fatema, K.; Rehman, S.; Azad, M.M.; Ebrahimi-Barough, S. Pesticides and Parkinson’s disease: Current and future perspective. J. Chem. Neuroanat. 2021, 115, 101966. [Google Scholar] [CrossRef]
- Arab, A.; Mostafalou, S. Neurotoxicity of pesticides in the context of CNS chronic diseases. Int. J. Environ. Health Res. 2022, 32, 2718–2755. [Google Scholar] [CrossRef] [PubMed]
- Bullivant, C.M. Accidental Poisoning by Paraquat: Report of Two Cases in Man. Br. Med. J. 1966, 1, 1272–1273. [Google Scholar] [CrossRef]
- Grant, H.C.; Lantos, P.; Parkinson, C. Cerebral damage in paraquat poisoning. Histopathology 1980, 4, 185–195. [Google Scholar] [CrossRef]
- McCarthy, S.; Somayajulu, M.; Sikorska, M.; Borowy-Borowski, H.; Pandey, S. Paraquat induces oxidative stress and neuronal cell death; neuroprotection by water-soluble Coenzyme Q10. Toxicol. Appl. Pharmacol. 2004, 201, 21–31. [Google Scholar] [CrossRef] [PubMed]
- Castello, P.R.; Drechsel, D.A.; Patel, M. Mitochondria Are a Major Source of Paraquat-induced Reactive Oxygen Species Production in the Brain. J. Biol. Chem. 2007, 282, 14186–14193. [Google Scholar] [CrossRef] [PubMed]
- Cochemé, H.M.; Murphy, M.P. Complex I Is the Major Site of Mitochondrial Superoxide Production by Paraquat. J. Biol. Chem. 2008, 283, 1786–1798. [Google Scholar] [CrossRef] [PubMed]
- Balandrin, M.F.; Klocke, J.A.; Wurtele, E.S.; Bollinger, W.H. Natural Plant Chemicals: Sources of Industrial and Medicinal Materials. Science 1985, 228, 1154–1160. [Google Scholar] [CrossRef] [PubMed]
- Höglinger, G.U.; Lannuzel, A.; Khondiker, M.E.; Michel, P.P.; Duyckaerts, C.; Féger, J.; Champy, P.; Prigent, A.; Medja, F.; Lombes, A.; et al. The mitochondrial complex I inhibitor rotenone triggers a cerebral tauopathy. J. Neurochem. 2005, 95, 930–939. [Google Scholar] [CrossRef]
- Talpade, D.J.; Greene, J.G.; Higgins, D.S., Jr.; Greenamyre, J.T. In Vivo Labeling of Mitochondrial Complex I (NADH:UbiquinoneOxidoreductase) in Rat Brain Using [3H]Dihydrorotenone. J. Neurochem. 2000, 75, 2611–2621. [Google Scholar] [CrossRef]
- Chou, A.P.; Li, S.; Fitzmaurice, A.G.; Bronstein, J.M. Mechanisms of rotenone-induced proteasome inhibition. NeuroToxicology 2010, 31, 367–372. [Google Scholar] [CrossRef]
- Hongo, H.; Kihara, T.; Kume, T.; Izumi, Y.; Niidome, T.; Sugimoto, H.; Akaike, A. Glycogen synthase kinase-3β activation mediates rotenone-induced cytotoxicity with the involvement of microtubule destabilization. Biochem. Biophys. Res. Commun. 2012, 426, 94–99. [Google Scholar] [CrossRef]
- Dauer, W.; Przedborski, S. Parkinson’s Disease: Mechanisms and Models. Neuron 2003, 39, 889–909. [Google Scholar] [CrossRef]
- Cui, M.; Aras, R.; Christian, W.V.; Rappold, P.M.; Hatwar, M.; Panza, J.; Jackson-Lewis, V.; Javitch, J.A.; Ballatori, N.; Przedborski, S.; et al. The organic cation transporter-3 is a pivotal modulator of neurodegeneration in the nigrostriatal dopaminergic pathway. Proc. Natl. Acad. Sci. USA 2009, 106, 8043–8048. [Google Scholar] [CrossRef] [PubMed]
- Zeng, X.-S.; Geng, W.-S.; Jia, J.-J. Neurotoxin-Induced Animal Models of Parkinson Disease: Pathogenic Mechanism and Assessment. ASN Neuro 2018, 10, 1759091418777438. [Google Scholar] [CrossRef] [PubMed]
- Choi, D.-Y.; Liu, M.; Hunter, R.L.; Cass, W.A.; Pandya, J.D.; Sullivan, P.G.; Shin, E.-J.; Kim, H.-C.; Gash, D.M.; Bing, G. Striatal Neuroinflammation Promotes Parkinsonism in Rats. PLoS ONE 2009, 4, e5482. [Google Scholar] [CrossRef] [PubMed]
- Shipley, M.M.; Mangold, C.A.; Szpara, M.L. Differentiation of the SH-SY5Y human neuroblastoma cell line. J. Vis. Exp. 2016, 108, 53193. [Google Scholar] [CrossRef]
- Mudyanselage, A.W.; Wijamunige, B.C.; Kocon, A.; Carter, W.G. Differentiated Neurons Are More Vulnerable to Organophosphate and Carbamate Neurotoxicity than Undifferentiated Neurons Due to the Induction of Redox Stress and Accumulate Oxidatively-Damaged Proteins. Brain Sci. 2023, 13, 728. [Google Scholar] [CrossRef] [PubMed]
- Presgraves, S.P.; Ahmed, T.; Borwege, S.; Joyce, J.N. Terminally differentiated SH-SY5Y cells provide a model system for studying neuroprotective effects of dopamine agonists. Neurotox. Res. 2004, 5, 579–598. [Google Scholar] [CrossRef] [PubMed]
- Van Merloo, J.; Kaspers, G.J.; Cloos, J. Cell sensitivity assays: The MTT assay. Methods Mol. Biol. 2011, 731, 237–245. [Google Scholar] [CrossRef]
- Elmorsy, E.; Elzalabany, L.M.; Elsheikha, H.M.; Smith, P.A. Adverse effects of antipsychotics on micro-vascular endothelial cells of the human blood–brain barrier. Brain Res. 2014, 1583, 255–268. [Google Scholar] [CrossRef]
- Elmorsy, E.; Al-Ghafari, A.; Al Doghaither, H.; Ghulam, J. Effects of environmental metals on mitochondrial bioenergetics of the CD-1 mice pancreatic beta-cells. Toxicol. Vitr. 2021, 70, 105015. [Google Scholar] [CrossRef]
- Spinazzi, M.; Casarin, A.; Pertegato, V.; Salviati, L.; Angelini, C. Assessment of mitochondrial respiratory chain enzymatic activities on tissues and cultured cells. Nat. Protoc. 2012, 7, 1235–1246. [Google Scholar] [CrossRef]
- Armstrong, D.; Browne, R. The Analysis of Free Radicals, Lipid Peroxides, Antioxidant Enzymes and Compounds Related to Oxidative Stress as Applied to the Clinical Chemistry Laboratory. Adv. Exp. Med. Biol. 1994, 336, 43–58. [Google Scholar] [CrossRef]
- Alam, M.N.; Bristi, N.J.; Rafiquzzaman, M. Review on in vivo and in vitro methods evaluation of antioxidant activity. Saudi Pharm. J. 2013, 21, 143–152. [Google Scholar] [CrossRef]
- Beauchamp, C.; Fridovich, I. Superoxide dismutase: Improved assays and an assay applicable to acrylamide gels. Anal. Biochem. 1971, 44, 276–287. [Google Scholar] [CrossRef] [PubMed]
- Prakash, S.; Carter, W.G. The Neuroprotective Effects of Cannabis-Derived Phytocannabinoids and Resveratrol in Parkinson’s Disease: A Systematic Literature Review of Pre-Clinical Studies. Brain Sci. 2021, 11, 1573. [Google Scholar] [CrossRef] [PubMed]
- Bové, J.; Perier, C. Neurotoxin-based models of Parkinson’s disease. Neuroscience 2012, 211, 51–76. [Google Scholar] [CrossRef] [PubMed]
- Martinez, T.N.; Greenamyre, J.T.; Ritz, B.R.; Paul, K.C.; Bronstein, J.M.; Lee, J.; Fifel, K.; Piggins, H.; Deboer, T.; Martella, G.; et al. Toxin Models of Mitochondrial Dysfunction in Parkinson’s Disease. Antioxid. Redox Signal. 2012, 16, 920–934. [Google Scholar] [CrossRef] [PubMed]
- Schneider, L.; Giordano, S.; Zelickson, B.R.; Johnson, M.S.; Benavides, G.A.; Ouyang, X.; Fineberg, N.; Darley-Usmar, V.M.; Zhang, J. Differentiation of SH-SY5Y cells to a neuronal phenotype changes cellular bioenergetics and the response to oxidative stress. Free. Radic. Biol. Med. 2011, 51, 2007–2017. [Google Scholar] [CrossRef]
- Cheung, Y.-T.; Lau, W.K.-W.; Yu, M.-S.; Lai, C.S.-W.; Yeung, S.-C.; So, K.-F.; Chang, R.C.-C. Effects of all-trans-retinoic acid on human SH-SY5Y neuroblastoma as in vitro model in neurotoxicity research. NeuroToxicology 2009, 30, 127–135. [Google Scholar] [CrossRef]
- Lopes, F.M.; Schröder, R.; da Frota, M.L.C., Jr.; Zanotto-Filho, A.; Müller, C.B.; Pires, A.S.; Meurer, R.T.; Colpo, G.D.; Gelain, D.P.; Kapczinski, F.; et al. Comparison between proliferative and neuron-like SH-SY5Y cells as an in vitro model for Parkinson disease studies. Brain Res. 2010, 1337, 85–94. [Google Scholar] [CrossRef]
- Verhaar, R.; Drukarch, B.; Bol, J.G.; Jongenelen, C.A.; Musters, R.J.; Wilhelmus, M.M. Increase in endoplasmic reticulum-associated tissue transglutaminase and enzymatic activation in a cellular model of Parkinson’s disease. Neurobiol. Dis. 2012, 45, 839–850. [Google Scholar] [CrossRef]
- Wernicke, C.; Hellmann, J.; Finckh, U.; Rommelspacher, H. Chronic ethanol exposure changes dopamine D2 receptor splicing during retinoic acid-induced differentiation of human SH-SY5Y cells. Pharmacol. Rep. 2010, 62, 649–663. [Google Scholar] [CrossRef]
- Cantu, D.; Schaack, J.; Patel, M. Oxidative Inactivation of Mitochondrial Aconitase Results in Iron and H2O2-Mediated Neurotoxicity in Rat Primary Mesencephalic Cultures. PLoS ONE 2009, 4, e7095. [Google Scholar] [CrossRef]
- Xicoy, H.; Wieringa, B.; Martens, G.J.M. The SH-SY5Y cell line in Parkinson’s disease research: A systematic review. Mol. Neurodegener. 2017, 12, 10. [Google Scholar] [CrossRef]
- Lopez-Suarez, L.; Awabdh, S.A.; Coumoul, X.; Chauvet, C. The SH-SY5Y human neuroblastoma cell line, a relevant in vitro cell model for investigating neurotoxicology in human: Focus on organic pollutants. Neurotoxicology 2022, 92, 131–155. [Google Scholar] [CrossRef] [PubMed]
- Krishna, A.; Biryukov, M.; Trefois, C.; Antony, P.M.A.; Hussong, R.; Lin, J.; Heinäniemi, M.; Glusman, G.; Köglsberger, S.; Boyd, O.; et al. Systems genomics evaluation of the SH-SY5Y neuroblastoma cell line as a model for Parkinson’s disease. BMC Genom. 2014, 15, 1154. [Google Scholar] [CrossRef]
- Bernheimer, H.; Birkmayer, W.; Hornykiewicz, O.; Jellinger, K.; Seitelberger, F. Brain dopamine and the syndromes of Parkinson and Huntington Clinical, morphological and neurochemical correlations. J. Neurol. Sci. 1973, 20, 415–455. [Google Scholar] [CrossRef] [PubMed]
- Richardson, J.R.; Quan, Y.; Sherer, T.B.; Greenamyre, J.T.; Miller, G.W. Paraquat Neurotoxicity is Distinct from that of MPTP and Rotenone. Toxicol. Sci. 2005, 88, 193–201. [Google Scholar] [CrossRef] [PubMed]
- González-Polo, R.A.; Niso-Santano, M.; Ortiz-Ortiz, M.A.; Gómez-Martín, A.; Morán, J.M.; García-Rubio, L.; Francisco-Morcillo, J.; Zaragoza, C.; Soler, G.; Fuentes, J.M. Inhibition of Paraquat-Induced Autophagy Accelerates the Apoptotic Cell Death in Neuroblastoma SH-SY5Y Cells. Toxicol. Sci. 2007, 97, 448–458. [Google Scholar] [CrossRef]
- Bismuth, C.; Garnier, R.; Dally, S.; Fournier, P.E.; Scherrmann, J.M. Prognosis and Treatment of Paraquat Poisoning: A Review of 28 Cases. J. Toxicol. Clin. Toxicol. 1982, 19, 461–474. [Google Scholar] [CrossRef]
- Brand, M.D.; Nicholls, D.G. Assessing mitochondrial dysfunction in cells. Biochem. J. 2011, 435, 297–312. [Google Scholar] [CrossRef] [PubMed]
- Haddad, D.; Nakamura, K. Understanding the susceptibility of dopamine neurons to mitochondrial stressors in Parkinson’s disease. FEBS Lett. 2015, 589, 3702–3713. [Google Scholar] [CrossRef]
- Subramaniam, S.R.; Chesselet, M.-F. Mitochondrial dysfunction and oxidative stress in Parkinson’s disease. Prog. Neurobiol. 2013, 106–107, 17–32. [Google Scholar] [CrossRef] [PubMed]
- Sousa, J.S.; D’Imprima, E.; Vonck, J. Mitochondrial Respiratory Chain Complexes. Subcell. Biochem. 2018, 87, 167–227. [Google Scholar] [CrossRef] [PubMed]
- Chiu, C.-C.; Yeh, T.-H.; Lu, C.-S.; Huang, Y.-C.; Cheng, Y.-C.; Huang, Y.-Z.; Weng, Y.-H.; Liu, Y.-C.; Lai, S.-C.; Chen, Y.-L.; et al. PARK14 PLA2G6 mutants are defective in preventing rotenone-induced mitochondrial dysfunction, ROS generation and activation of mitochondrial apoptotic pathway. Oncotarget 2017, 8, 79046–79060. [Google Scholar] [CrossRef]
- Delic, V.; Griffin, J.W.D.; Zivkovic, S.; Zhang, Y.; Phan, T.-A.; Gong, H.; Chaput, D.; Reynes, C.; Dinh, V.B.; Cruz, J.; et al. Individual Amino Acid Supplementation Can Improve Energy Metabolism and Decrease ROS Production in Neuronal Cells Overexpressing Alpha-Synuclein. Neuromolecular Med. 2017, 19, 322–344. [Google Scholar] [CrossRef]
- Simon, H.-U.; Haj-Yehia, A.; Levi-Schaffer, F. Role of reactive oxygen species (ROS) in apoptosis induction. Apoptosis 2000, 5, 415–418. [Google Scholar] [CrossRef] [PubMed]
- Alnasser, M.N.; AlSaadi, A.M.; Whitby, A.; Kim, D.-H.; Mellor, I.R.; Carter, W.G. Acai Berry (Euterpe sp.) Extracts Are Neuroprotective against L-Glutamate-Induced Toxicity by Limiting Mitochondrial Dysfunction and Cellular Redox Stress. Life 2023, 13, 1019. [Google Scholar] [CrossRef] [PubMed]
- Burté, F.; De Girolamo, L.A.; Hargreaves, A.J.; Billett, E.E. Alterations in the Mitochondrial Proteome of Neuroblastoma Cells in Response to Complex 1 Inhibition. J. Proteome Res. 2011, 10, 1974–1986. [Google Scholar] [CrossRef]
- Zhang, X.; Zhou, J.-Y.; Chin, M.H.; Schepmoes, A.A.; Petyuk, V.A.; Weitz, K.K.; Petritis, B.O.; Monroe, M.E.; Camp, D.G.; Wood, S.; et al. Region-Specific Protein Abundance Changes in the Brain of MPTP-Induced Parkinson’s Disease Mouse Model. J. Proteome Res. 2010, 9, 1496–1509. [Google Scholar] [CrossRef][Green Version]
- Bates, S.E.; Mickley, L.A.; Chen, Y.-N.; Richert, N.; Rudick, J.; Biedler, J.L.; Fojo, A.T. Expression of a Drug Resistance Gene in Human Neuroblastoma Cell Lines: Modulation by Retinoic Acid-Induced Differentiation. Mol. Cell. Biol. 1989, 9, 4337–4344. [Google Scholar] [CrossRef]
- Juvale, I.I.A.; Hamid, A.A.A.; Halim, K.B.A.; Has, A.T.C. P-glycoprotein: New insights into structure, physiological function, regulation and alterations in disease. Heliyon 2022, 8, e09777. [Google Scholar] [CrossRef]
- Marongiu, M.E.; Piccardi, M.P.; Bernardi, F.; Corsini, G.U.; Del Zompo, M. Evaluation of the toxicity of the dopaminergic neurotoxins MPTP and MPP+ in PC12 pheochromocytoma cells: Binding and biological studies. Neurosci. Lett. 1988, 94, 349–354. [Google Scholar] [CrossRef] [PubMed]
- Ransom, B.R.; Kunis, D.M.; Irwin, I.; Langston, J. Astrocytes convert the parkinsonism inducing neurotoxin, MPTP, to its active metabolite, MPP+. Neurosci. Lett. 1987, 75, 323–328. [Google Scholar] [CrossRef] [PubMed]
- Elmorsy, E.; Al-Ghafari, A.; Al Doghaither, H.; Salama, M.; Carter, W.G. An Investigation of the Neurotoxic Effects of Malathion, Chlorpyrifos, and Paraquat to Different Brain Regions. Brain Sci. 2022, 12, 975. [Google Scholar] [CrossRef] [PubMed]




| 3 h | 6 h | 12 h | 24 h | 48 h | |
|---|---|---|---|---|---|
| PQ | |||||
| SH-SY5Y | 5676 (3878–8306) | 2463 (1735–3494) | 222.3 (183.1–270) | 35.5 (30.4–41.4) | 6.7 (5.9–7.5) |
| DA | 1612 (1228–2117) | 495.7 (399.3–615.5) | 72.91 (62.5–85.1) | 13.9 (11.9–16.4) | 1.4 (1.2–1.6) |
| CH | 5804 (4243–7938) | 1325 (1044–1682) | 187.3 (156.1–224.7) | 27.21 (23.4–31.6) | 3.337 (2.9–3.8) |
| RO | |||||
| SH-SY5Y | 2668 (1789–3979) | 1982 (1423–2760) | 706.4 (551.1–905.5) | 150.7 (119.3–165.9) | 38 (33.4–43.3) |
| DA | 3291 (2278–4753) | 1441 (1083–1917) | 359.4 (289.4–446.2) | 90.3 (75.2–108.3) | 23.4 (20.4–26.8) |
| CH | 4524 (3157–6483) | 1590 (1246–2029) | 586.8 (479.1–718.8) | 123 (115–153.9) | 38.2 (33.4–43.7) |
| MPTP | |||||
| SH-SY5Y | 2668 (1789–3979) | 1982 (1423–2760) | 706.4 (551.1–905.5) | 150.7 (119.3–165.9) | 38 (33.4–43.3) |
| DA | 9244 (6127–13,950) | 3961 (2944–5330) | 811.1 (649.2–1013) | 171.6 (144.6–203.7) | 39.3 (34.4–44.9) |
| CH | 9420 (5713–15,530) | 3231 (2314–4511) | 1143 (867.9–1506) | 248.2 (204.9–300.7) | 66.2 (57.6–76) |
| PQ | RO | MPTP | ||||||||
|---|---|---|---|---|---|---|---|---|---|---|
| Cell Phenotype | SH-SY5Y | DA | CH | SH-SY5Y | DA | CH | SH-SY5Y | DA | CH | |
| MCI | ||||||||||
| Control | Vmax | 0.5 ± 0 | 0.5 ± 0 | 0.5 ± 0 | 0.5 ± 0 | 0.5 ± 0 | 0.5 ± 0 | 0.5 ± 0. | 0.5 ± 0 | 0.5 ± 0 |
| Km | 38.4 ± 4.9 | 38.4 ± 4.9 | 40 ± 5.4 | 23.4 ± 4.9 | 38.4 ± 4.9 | 32.0 ± 5.4 | 38.4 ± 4.9 | 38.4 ± 4.9 | 40.0 ± 5.4 | |
| 10 µM | Vmax | 0.4 ± 0 | 0.3 ± 0 | 0.4 ± 0 | 0.4 ± 0 | 0.4 ± 0.1 | 0.4 ± 0 | 0.5 ± 0 | 0.4 ± 0 | 0.5 ± 0 |
| Km | 49.7 ± 2.3 | 79.4 ± 2 | 51.4 ± 3.9 | 38.7 ± 5.5 | 95.8 ± 14.5 | 45.7 ± 12.4 | 40.8 ± 1.1 | 63.3 ± 12.4 | 45.3 ± 8.6 | |
| EC50s | Vmax | 0.2 ± 0 | 0.1 ± 0 | 0.3 ± 0 | 0.2 ± 0 | 0.1 ± 0 | 0.17 ± 0.01 | 0.3 ± 0 | 0.2 ± 0 | 0.3 ± 0 |
| Km | 113.4 ± 4.4 | 130.7 ± 12.8 | 123 ± 10.5 | 106.5 ± 7.9 | 179.2 ± 18.9 | 159.2 ± 15.5 | 97.3 ± 16.9 | 114.8 ± 17.5 | 95.6 ± 11.8 | |
| MCIII | ||||||||||
| Control | Vmax | 0.5 ± 0 | 0.5 ± 0 | 0.5 ± 0 | 0.5 ± 0 | 0.5 ± 0 | 0.5 ± 0 | 0.5 ± 0 | 0.5 ± 0 | 0.5 ± 0 |
| Km | 30.9 ± 1.7 | 29.4 ± 1.3 | 32.9 ± 2.4 | 29.1 ± 1.4 | 33.8 ± 1.4 | 32.9 ± 2.4 | 34.3 ± 1.9 | 29.1 ± 1.4 | 32.9 ± 2.4 | |
| 10 µM | Vmax | 0.4 ± 0 | 0.4 ± 0 | 0.5 ± 0 | 0.5 ± 0 | 0.4 ± 0 | 0.5 ± 0 | 0.4 ± 0 | 0.4 ± 0.1 | 0.5 ± 0 |
| Km | 44.1 ± 3.1 | 54.9 ± 6.3 | 52.3 ± 4.8 | 35.2 ± 1.5 | 45.9 ± 2.8 | 39.8 ± 3.3 | 37.2 ± 1.1 | 70.6 ± 15.8 | 40.1 ± 2.9 | |
| EC50s | Vmax | 0.3 ± 0 | 0.3 ± 0.1 | 0.3 ± 0.1 | 0.5 ± 0 | 0.4 ± 0 | 0.4 ± 0.1 | 0.2 ± 0 | 0.2 ± 0 | 0.3 ± 0.1 |
| Km | 73.9 ± 13.2 | 81.6 ± 18.4 | 92.8 ± 19.2 | 41 ± 5.5 | 52.8 ± 9.2 | 43.7 ± 6.1 | 92.9 ± 21 | 115.4 ± 23.2 | 99.6 ± 23.4 | |
Disclaimer/Publisher’s Note: The statements, opinions and data contained in all publications are solely those of the individual author(s) and contributor(s) and not of MDPI and/or the editor(s). MDPI and/or the editor(s) disclaim responsibility for any injury to people or property resulting from any ideas, methods, instructions or products referred to in the content. |
© 2023 by the authors. Licensee MDPI, Basel, Switzerland. This article is an open access article distributed under the terms and conditions of the Creative Commons Attribution (CC BY) license (https://creativecommons.org/licenses/by/4.0/).
Share and Cite
Elmorsy, E.; Al-Ghafari, A.; Al Doghaither, H.; Hashish, S.; Salama, M.; Mudyanselage, A.W.; James, L.; Carter, W.G. Differential Effects of Paraquat, Rotenone, and MPTP on Cellular Bioenergetics of Undifferentiated and Differentiated Human Neuroblastoma Cells. Brain Sci. 2023, 13, 1717. https://doi.org/10.3390/brainsci13121717
Elmorsy E, Al-Ghafari A, Al Doghaither H, Hashish S, Salama M, Mudyanselage AW, James L, Carter WG. Differential Effects of Paraquat, Rotenone, and MPTP on Cellular Bioenergetics of Undifferentiated and Differentiated Human Neuroblastoma Cells. Brain Sciences. 2023; 13(12):1717. https://doi.org/10.3390/brainsci13121717
Chicago/Turabian StyleElmorsy, Ekramy, Ayat Al-Ghafari, Huda Al Doghaither, Sara Hashish, Mohamed Salama, Anusha W. Mudyanselage, Lipta James, and Wayne G. Carter. 2023. "Differential Effects of Paraquat, Rotenone, and MPTP on Cellular Bioenergetics of Undifferentiated and Differentiated Human Neuroblastoma Cells" Brain Sciences 13, no. 12: 1717. https://doi.org/10.3390/brainsci13121717
APA StyleElmorsy, E., Al-Ghafari, A., Al Doghaither, H., Hashish, S., Salama, M., Mudyanselage, A. W., James, L., & Carter, W. G. (2023). Differential Effects of Paraquat, Rotenone, and MPTP on Cellular Bioenergetics of Undifferentiated and Differentiated Human Neuroblastoma Cells. Brain Sciences, 13(12), 1717. https://doi.org/10.3390/brainsci13121717

