EEG Biofeedback Decreases Theta and Beta Power While Increasing Alpha Power in Insomniacs: An Open-Label Study
Abstract
:1. Introduction
2. Methods
2.1. Participants
2.2. Data Collection
2.3. BFB Treatment
2.4. Evaluation
2.5. Data Preprocessing
2.6. Analysis
3. Results
3.1. Clinical Characteristics
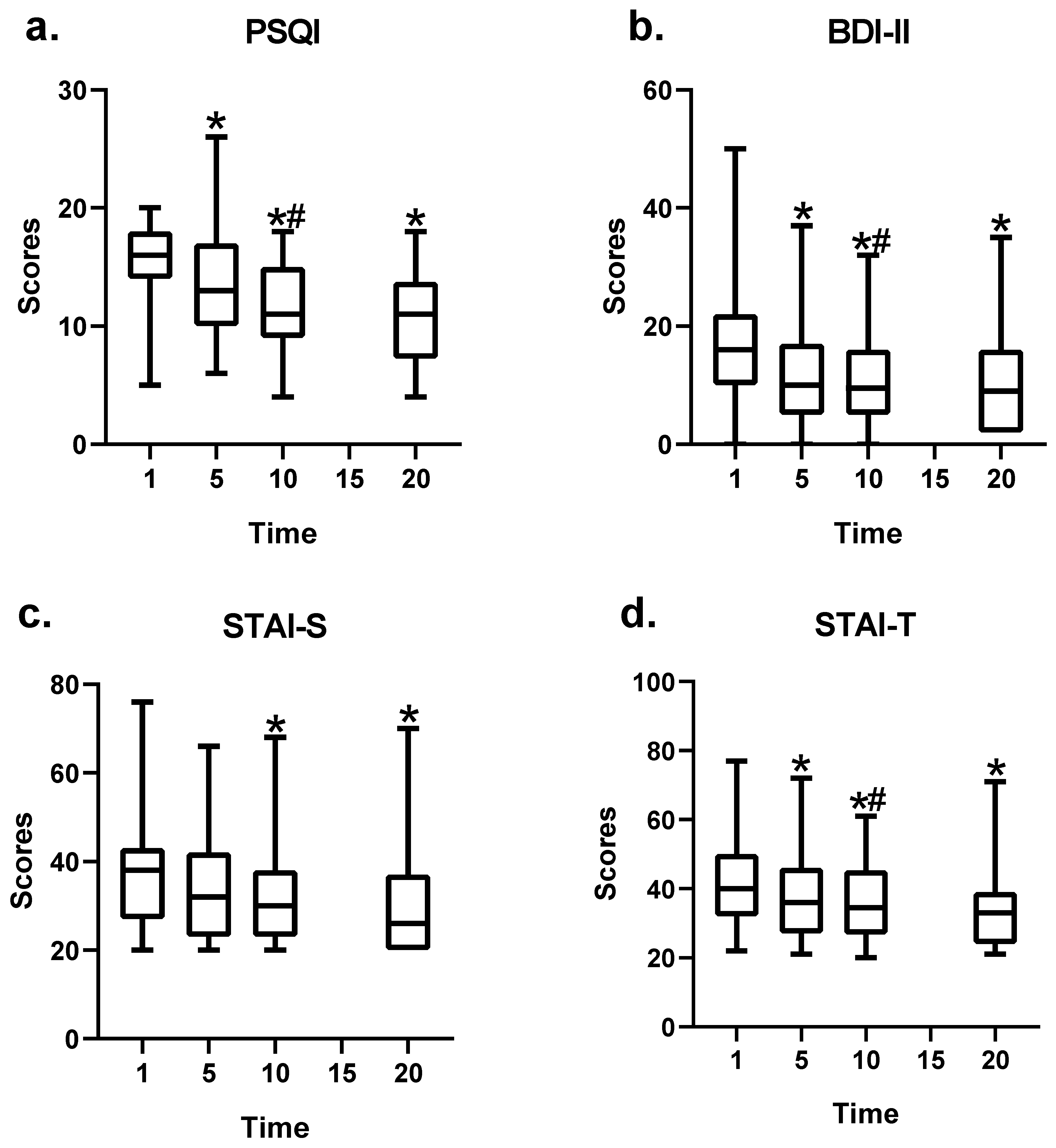
3.2. Sleep Scale (PSQI)
3.3. Emotional Scales
3.3.1. BDI-II
3.3.2. STAI (STAI-S and STAI-T)
3.4. EEG
3.5. EMG
3.6. Regression Analysis
3.6.1. Reduced EMG Predicted Relief from Depression
3.6.2. Symptom Duration Was Negatively Correlated with Trait Anxiety Response
4. Discussion
5. Conclusions
Author Contributions
Funding
Institutional Review Board Statement
Informed Consent Statement
Data Availability Statement
Acknowledgments
Conflicts of Interest
References
- Sutton, E.L. Insomnia. Ann. Intern. Med. 2021, 174, ITC33–ITC48. [Google Scholar] [CrossRef] [PubMed]
- Chan, N.Y.; Chan, J.W.Y.; Li, S.X.; Wing, Y.K. Non-pharmacological Approaches for Management of Insomnia. Neurother. J. Am. Soc. Exp. NeuroTher. 2021, 18, 32–43. [Google Scholar] [CrossRef] [PubMed]
- Cunnington, D.; Junge, M.F.; Fernando, A.T. Insomnia: Prevalence, consequences and effective treatment. Med. J. Aust. 2013, 199, S36–S40. [Google Scholar] [CrossRef] [PubMed]
- Van Straten, A.; van der Zweerde, T.; Kleiboer, A.; Cuijpers, P.; Morin, C.M.; Lancee, J. Cognitive and behavioral therapies in the treatment of insomnia: A meta-analysis. Sleep Med. Rev. 2017, 38, 3–16. [Google Scholar] [CrossRef]
- Dujardin, S.; Pijpers, A.; Pevernagie, D. Prescription Drugs Used in Insomnia. Sleep Med. Clin. 2022, 17, 315–328. [Google Scholar] [CrossRef]
- Riemann, D.; Spiegelhalder, K.; Feige, B.; Voderholzer, U.; Berger, M.; Perlis, M.; Nissen, C. The hyperarousal model of insomnia: A review of the concept and its evidence. Sleep Med. Rev. 2010, 14, 19–31. [Google Scholar] [CrossRef]
- Levenson, J.C.; Kay, D.B.; Buysse, D.J. The Pathophysiology of Insomnia. Chest 2015, 147, 1179–1192. [Google Scholar] [CrossRef]
- Nagai, Y. Biofeedback and epilepsy. Curr. Neurol. Neurosci. Rep. 2011, 11, 443–450. [Google Scholar] [CrossRef]
- Nestoriuc, Y.; Martin, A. Efficacy of biofeedback for migraine: A meta-analysis. Pain 2007, 128, 111–127. [Google Scholar] [CrossRef]
- Rayegani, S.M.; Raeissadat, S.A.; Sedighipour, L.; Rezazadeh, I.M.; Bahrami, M.H.; Eliaspour, D.; Khosrawi, S. Effect of Neurofeedback and Electromyographic-Biofeedback Therapy on Improving Hand Function in Stroke Patients. Top. Stroke Rehabil. 2014, 21, 137–151. [Google Scholar] [CrossRef] [PubMed]
- Kwan, Y.; Yoon, S.; Suh, S.; Choi, S. A Randomized Controlled Trial Comparing Neurofeedback and Cognitive-Behavioral Therapy for Insomnia Patients: Pilot Study. Appl. Psychophysiol. Biofeedback 2022, 47, 95–106. [Google Scholar] [CrossRef] [PubMed]
- Lovato, N.; Miller, C.B.; Gordon, C.J.; Grunstein, R.R.; Lack, L. The efficacy of biofeedback for the treatment of insomnia: A critical review. Sleep Med. 2019, 56, 192–200. [Google Scholar] [CrossRef] [PubMed]
- Alneyadi, M.; Drissi, N.; Almeqbaali, M.; Ouhbi, S. Biofeedback-Based Connected Mental Health Interventions for Anxiety: Systematic Literature Review. JMIR mHealth uHealth 2021, 9, e26038. [Google Scholar] [CrossRef] [PubMed]
- Micoulaud-Franchi, J.-A.; McGonigal, A.; Lopez, R.; Daudet, C.; Kotwas, I.; Bartolomei, F. Electroencephalographic neurofeedback: Level of evidence in mental and brain disorders and suggestions for good clinical practice. Neurophysiol. Clin. 2015, 45, 423–433. [Google Scholar] [CrossRef]
- Patil, A.U.; Madathil, D.; Fan, Y.-T.; Tzeng, O.J.L.; Huang, C.-M.; Huang, H.-W. Neurofeedback for the Education of Children with ADHD and Specific Learning Disorders: A Review. Brain Sci. 2022, 12, 1238. [Google Scholar] [CrossRef]
- Holtmann, M.; Steiner, S.; Hohmann, S.; Poustka, L.; Banaschewski, T.; Bölte, S. Neurofeedback in autism spectrum disorders. Dev. Med. Child Neurol. 2011, 53, 986–993. [Google Scholar] [CrossRef]
- Fernández-Alvarez, J.; Grassi, M.; Colombo, D.; Botella, C.; Cipresso, P.; Perna, G.; Riva, G. Efficacy of bio- and neurofeedback for depression: A meta-analysis. Psychol. Med. 2021, 52, 201–216. [Google Scholar] [CrossRef]
- Liu, S.; Hao, X.; Liu, X.; He, Y.; Zhang, L.; An, X.; Song, X.; Ming, D. Sensorimotor rhythm neurofeedback training relieves anxiety in healthy people. Cogn. Neurodyn. 2021, 16, 531–544. [Google Scholar] [CrossRef]
- Tolin, D.F.; Davies, C.D.; Moskow, D.M.; Hofmann, S.G. Biofeedback and Neurofeedback for Anxiety Disorders: A Quantitative and Qualitative Systematic Review. Adv. Exp. Med. Biol. 2020, 1191, 265–289. [Google Scholar]
- Zhao, W.; Van Someren, E.J.W.; Li, C.; Chen, X.; Gui, W.; Tian, Y.; Lei, X. EEG spectral analysis in insomnia disorder: A systematic review and meta-analysis. Sleep Med. Rev. 2021, 59, 101457. [Google Scholar] [CrossRef]
- Marzbani, H.; Marateb, H.R.; Mansourian, M. Methodological Note: Neurofeedback: A Comprehensive Review on System Design, Methodology and Clinical Applications. Basic Clin. Neurosci. J. 2016, 7, 143–158. [Google Scholar] [CrossRef] [PubMed]
- Hou, Y.; Zhang, S.; Li, N.; Huang, Z.; Wang, L.; Wang, Y. Neurofeedback training improves anxiety trait and depressive symptom in GAD. Brain Behav. 2021, 11, e02024. [Google Scholar] [CrossRef] [PubMed]
- Hsueh, J.-J.; Chen, T.-S.; Chen, J.-J.; Shaw, F.-Z. Neurofeedback training of EEG alpha rhythm enhances episodic and working memory. Hum. Brain Mapp. 2016, 37, 2662–2675. [Google Scholar] [CrossRef]
- Bazanova, O.M.; Auer, T.; Sapina, E.A. On the Efficiency of Individualized Theta/Beta Ratio Neurofeedback Combined with Forehead EMG Training in ADHD Children. Front. Hum. Neurosci. 2018, 12, 3. [Google Scholar] [CrossRef] [PubMed]
- Hauri, P. Treating Psychophysiologic Insomnia with Biofeedback. Arch. Gen. Psychiatry 1981, 38, 752–758. [Google Scholar] [CrossRef]
- Cortoos, A.; De Valck, E.; Arns, M.; Breteler, M.H.M.; Cluydts, R. An Exploratory Study on the Effects of Tele-neurofeedback and Tele-biofeedback on Objective and Subjective Sleep in Patients with Primary Insomnia. Appl. Psychophysiol. Biofeedback 2009, 35, 125–134. [Google Scholar] [CrossRef]
- Backhaus, J.; Junghanns, K.; Broocks, A.; Riemann, D.; Hohagen, F. Test-retest reliability and validity of the Pitts-burgh Sleep Quality Index in primary insomnia. J. Psychosom. Res. 2002, 53, 737–740. [Google Scholar] [CrossRef]
- Jasper, H.H. The ten-twenty electrode system of the International Federation. Electroencephalogr. Clin. Neurophysiol. 1958, 10, 371–375. [Google Scholar]
- Kouijzer, M.E.J.; van Schie, H.T.; Gerrits, B.J.L.; Buitelaar, J.K.; de Moor, J.M.H. Is EEG-biofeedback an Effective Treatment in Autism Spectrum Disorders? A Randomized Controlled Trial. Appl. Psychophysiol. Biofeedback 2012, 38, 17–28. [Google Scholar] [CrossRef]
- Sohn, S.I.; Kim, D.H.; Lee, M.Y.; Cho, Y.W. The reliability and validity of the Korean version of the Pittsburgh Sleep Quality Index. Sleep Breath. 2011, 16, 803–812. [Google Scholar] [CrossRef]
- Beck, A.T.; Steer, R.A.; Ball, R.; Ranieri, W.F. Comparison of Beck Depression Inventories-IA and-II in Psychiatric Outpatients. J. Pers. Assess. 1996, 67, 588–597. [Google Scholar] [CrossRef] [PubMed]
- Maggi, G.; D’Iorio, A.; Aiello, E.N.; Poletti, B.; Ticozzi, N.; Silani, V.; Amboni, M.; Vitale, C.; Santangelo, G. Psychometrics and diagnostics of the Italian version of the Beck Depression Inventory-II (BDI-II) in Parkinson’s disease. Neurol. Sci. 2023, 44, 1607–1612. [Google Scholar] [CrossRef] [PubMed]
- Julian, L.J. Measures of anxiety: State-Trait Anxiety Inventory (STAI), Beck Anxiety Inventory (BAI), and Hospital Anxiety and Depression Scale-Anxiety (HADS-A). Arthritis Care Res. 2011, 63 (Suppl. 11), S467–S472. [Google Scholar] [CrossRef] [PubMed]
- Du, Q.; Liu, H.; Yang, C.; Chen, X.; Zhang, X. The Development of a Short Chinese Version of the State-Trait Anxiety Inventory. Front. Psychiatry 2022, 13, 854547. [Google Scholar] [CrossRef] [PubMed]
- Guo, Y.; Zhao, X.; Zhang, X.; Li, M.; Liu, X.; Lu, L.; Liu, J.; Li, Y.; Zhang, S.; Yue, L.; et al. Effects on resting-state EEG phase-amplitude coupling in insomnia disorder patients following 1 Hz left dorsolateral prefrontal cortex rTMS. Hum. Brain Mapp. 2023, 44, 3084–3093. [Google Scholar] [CrossRef] [PubMed]
- Naik, G.R.; Kumar, D.K. Subtle electromyographic pattern recognition for finger movements: A Pilot study using BSS techniques. J. Mech. Med. Biol. 2012, 12, 1250078. [Google Scholar] [CrossRef]
- Greco, A.; Costantino, D.; Morabito, F.C.; Versaci, M. A Morlet Powerlet Classification Technique for ICA filtered sEMG experimental Data. In Proceedings of the International Joint Conference on Neural Networks, Portland, OR, USA, 20–24 July 2003; pp. 166–171. [Google Scholar]
- Nicassio, P.M.; Boylan, M.B.; McCabe, T.G. Progressive relaxation, EMG biofeedback and biofeedback placebo in the treatment of sleep-onset insomnia. Br. J. Med. Psychol. 1982, 55 Pt 2, 159–166. [Google Scholar] [CrossRef]
- Joseph, C.N.; Porta, C.; Casucci, G.; Casiraghi, N.; Maffeis, M.; Rossi, M.; Bernardi, L. Slow breathing improves arterial baroreflex sensitivity and decreases blood pressure in essential hypertension. Hypertension 2005, 46, 714–718. [Google Scholar] [CrossRef]
- Egner, T.; Gruzelier, J. EEG Biofeedback of low beta band components: Frequency-specific effects on variables of attention and event-related brain potentials. Clin. Neurophysiol. 2004, 115, 131–139. [Google Scholar] [CrossRef]
- Kwan, Y.; Baek, C.; Chung, S.; Kim, T.H.; Choi, S. Resting-state quantitative EEG characteristics of insomniac patients with depression. Int. J. Psychophysiol. 2018, 124, 26–32. [Google Scholar] [CrossRef]
- Ogilvie, R.D. The process of falling asleep. Sleep Med. Rev. 2001, 5, 247–270. [Google Scholar] [CrossRef] [PubMed]
- Beatty, J.; Greenberg, A.; Deibler, W.P.; O’Hanlon, J.F. Operant control of occipital theta rhythm affects performance in a radar monitoring task. Science 1974, 183, 871–873. [Google Scholar]
- Åkerstedt, T.; Gillberg, M. Subjective and Objective Sleepiness in the Active Individual. Int. J. Neurosci. 1990, 52, 29–37. [Google Scholar] [CrossRef]
- Horváth, M.; Frantík, E.; Kopriva, K.; Meissner, J. EEG theta activity increase coinciding with performance decrement in a monotonous task. Act. Nerv. Super. 1976, 18, 207–210. [Google Scholar]
- Kaida, K.; Takahashi, M.; Akerstedt, T.; Nakata, A.; Otsuka, Y.; Haratani, T.; Fukasawa, K. Validation of the Ka-rolinska sleepiness scale against performance and EEG variables. Clin. Neurophysiol. 2006, 117, 1574–1581. [Google Scholar] [PubMed]
- Raymond, J.; Varney, C.; Parkinson, L.A.; Gruzelier, J.H. The effects of alpha/theta neurofeedback on personality and mood. Cogn. Brain Res. 2005, 23, 287–292. [Google Scholar] [CrossRef]
- Hammer, B.U.; Colbert, A.P.; Brown, K.A.; Ilioi, E.C. Neurofeedback for Insomnia: A Pilot Study of Z-Score SMR and Individualized Protocols. Appl. Psychophysiol. Biofeedback 2011, 36, 251–264. [Google Scholar] [CrossRef]







| Variables a | 10–20 BFB Sessions (n = 68) | >20 BFB Sessions (n = 14) | X2/z | p-Value b |
|---|---|---|---|---|
| Sex (female/male) | 46/22 | 10/4 | 0.094 | 0.158 |
| Medication use (yes/no) | 22/46 | 3/11 | 0.209 | 0.259 |
| Age (years) | 49.45 ± 13.24 | 48.95 ± 10.02 | −0.813 | 0.416 |
| Education (years) | 13.63 ± 4.76 | 12.36 ± 6.08 | −0.554 | 0.580 |
| Duration (years) | 5.29 ± 3.285 | 4.36 ± 1.99 | −0.876 | 0.387 |
| PSQI | 14.77 ± 3.63 | 11.00 ± 4.41 | −0.165 | 0.869 |
| BDI-II | 16.19 ± 8.12 | 10.85 ± 10.17 | −0.751 | 0.453 |
| STAI-S | 42.22 ± 49.21 | 32.22 ± 14.88 | −1.688 | 0.091 |
| STAI-T | 41.23 ± 11.21 | 35.86 ± 13.09 | −0.341 | 0.733 |
| Item | Baseline a (Mean ± SD) | After 20 Sessions a (Mean ± SD) | Effect | df | F | p-Value b |
|---|---|---|---|---|---|---|
| Alpha | 15.42 ± 9.07 | 16.24 ± 7.09 | Time | 9 | 0.95 | 0.483 |
| post- vs. pre-treatment | 1 | 0.11 | 0.736 | |||
| Time × treatment | 9 | 0.99 | 0.450 | |||
| Beta | 10.06 ± 5.07 | 9.06 ± 5.27 | Time | 9 | 2.02 | 0.035 |
| post- vs. pre-treatment | 1 | 6.25 | 0.014 | |||
| Time × treatment | 9 | 0.64 | 0.764 | |||
| Theta | 14.31 ± 10.53 | 6.76 ± 1.07 | Time | 9 | 2.15 | 0.024 |
| post- vs. pre-treatment | 1 | 11.91 | 0.001 | |||
| Time × treatment | 9 | 0.27 | 0.981 | |||
| EMG | 20.08 ± 58.73 | 2.44 ± 1.15 | Time | 9 | 2.91 | 0.002 |
| post- vs. pre-treatment | 1 | 2.11 | 0.015 | |||
| Time × treatment | 9 | 0.36 | 0.952 |
Disclaimer/Publisher’s Note: The statements, opinions and data contained in all publications are solely those of the individual author(s) and contributor(s) and not of MDPI and/or the editor(s). MDPI and/or the editor(s) disclaim responsibility for any injury to people or property resulting from any ideas, methods, instructions or products referred to in the content. |
© 2023 by the authors. Licensee MDPI, Basel, Switzerland. This article is an open access article distributed under the terms and conditions of the Creative Commons Attribution (CC BY) license (https://creativecommons.org/licenses/by/4.0/).
Share and Cite
Wang, H.; Hou, Y.; Zhan, S.; Li, N.; Liu, J.; Song, P.; Wang, Y.; Wang, H. EEG Biofeedback Decreases Theta and Beta Power While Increasing Alpha Power in Insomniacs: An Open-Label Study. Brain Sci. 2023, 13, 1542. https://doi.org/10.3390/brainsci13111542
Wang H, Hou Y, Zhan S, Li N, Liu J, Song P, Wang Y, Wang H. EEG Biofeedback Decreases Theta and Beta Power While Increasing Alpha Power in Insomniacs: An Open-Label Study. Brain Sciences. 2023; 13(11):1542. https://doi.org/10.3390/brainsci13111542
Chicago/Turabian StyleWang, Huicong, Yue Hou, Shuqin Zhan, Ning Li, Jianghong Liu, Penghui Song, Yuping Wang, and Hongxing Wang. 2023. "EEG Biofeedback Decreases Theta and Beta Power While Increasing Alpha Power in Insomniacs: An Open-Label Study" Brain Sciences 13, no. 11: 1542. https://doi.org/10.3390/brainsci13111542
APA StyleWang, H., Hou, Y., Zhan, S., Li, N., Liu, J., Song, P., Wang, Y., & Wang, H. (2023). EEG Biofeedback Decreases Theta and Beta Power While Increasing Alpha Power in Insomniacs: An Open-Label Study. Brain Sciences, 13(11), 1542. https://doi.org/10.3390/brainsci13111542

