Nomogram for Predicting Depression Improvement after Deep Brain Stimulation for Parkinson’s Disease
Abstract
:1. Introduction
2. Materials and Methods
2.1. Patients
2.2. Outcome Assessment
2.3. Statistical Analyses
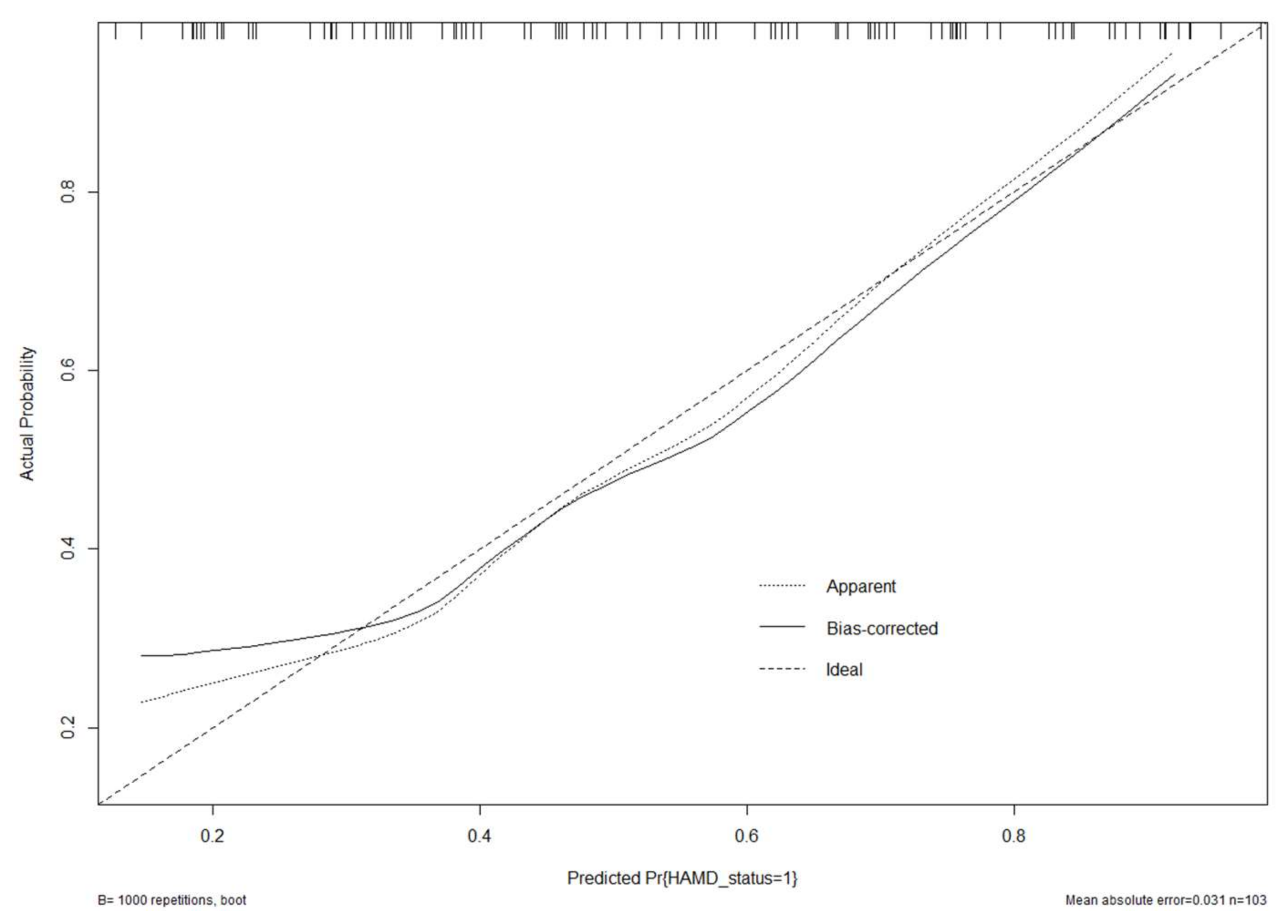
3. Results
3.1. Patients
3.2. Development of the Nomogram
3.3. Validation of the Nomogram
4. Discussion
5. Conclusions
Supplementary Materials
Author Contributions
Funding
Institutional Review Board Statement
Informed Consent Statement
Data Availability Statement
Acknowledgments
Conflicts of Interest
Abbreviations
| LED | levodopa equivalent dose |
| UPDRSIII | Unified Parkinson’s Disease Rating Scale III |
| NMSS | Parkinson’s Non-Motor Symptom Scale |
| PDQ39 | Parkinson’s Disease Questionnaire 39 |
| MOCA | The Montreal Cognitive Assessment |
| MMSE | Mini-Mental State Examination |
| HAMD | The Hamilton Depression Scale |
| HAMA | The Hamilton Anxiety Scale |
| H-Y | Hoehn-Yahr grading |
Appendix A





Appendix B
| Total | Lower Improvement Rate | Higher Improvement Rate | p-Value | |
|---|---|---|---|---|
| No. | 49 | 54 | ||
| Age (years) | 59.01 ± 8.03 | 56.59 ± 8.39 | 61.20 ± 7.06 | 0.003 |
| Education (years) | 5.54 ± 4.38 | 4.93 ± 3.89 | 6.09 ± 4.76 | 0.179 |
| LED | 659.95 ± 363.80 | 611.22 ± 375.25 | 704.17 ± 350.71 | 0.197 |
| Drug improvement rate | 0.52 ± 0.14 | 0.52 ± 0.13 | 0.52 ± 0.16 | 0.938 |
| UPDRSIII drug off | 54.00 ± 14.15 | 52.84 ± 12.51 | 55.06 ± 15.53 | 0.429 |
| UPDRSIII drug on | 26.64 ± 11.47 | 25.27 ± 10.13 | 27.89 ± 12.52 | 0.248 |
| NMSS Preop | 87.53 ± 30.01 | 82.14 ± 28.90 | 92.43 ± 30.42 | 0.082 |
| PDQ39 Preop | 73.24 ± 16.25 | 66.92 ± 14.62 | 78.98 ± 15.61 | <0.001 |
| MOCA Preop | 18.67 ± 6.15 | 20.10 ± 6.04 | 17.37 ± 6.02 | 0.024 |
| MMSE Preop | 24.99 ± 3.74 | 25.55 ± 3.33 | 24.48 ± 4.04 | 0.148 |
| HAMD Preop | 15.73 ± 6.66 | 13.71 ± 5.12 | 17.56 ± 7.39 | 0.003 |
| HAMA Preop | 18.06 ± 5.38 | 16.51 ± 4.88 | 19.46 ± 5.47 | 0.005 |
| Duration (years) | 8.70 ± 3.80 | 8.20 ± 3.87 | 9.15 ± 3.71 | 0.209 |
| Sex | 0.229 | |||
| male | 63 (61.17%) | 27 (55.10%) | 36 (66.67%) | |
| female | 40 (38.83%) | 22 (44.90%) | 18 (33.33%) | |
| H-Y | 0.017 | |||
| 2 | 2 (1.94%) | 2 (4.08%) | 0 (0.00%) | |
| 2.5 | 16 (15.53%) | 9 (18.37%) | 7 (12.96%) | |
| 3 | 50 (48.54%) | 29 (59.18%) | 21 (38.89%) | |
| 4 | 28 (27.18%) | 8 (16.33%) | 20 (37.04%) | |
| 5 | 7 (6.80%) | 1 (2.04%) | 6 (11.11%) |
| Exposure | Univariable | Multivariable |
|---|---|---|
| OR 95%CI p-value | OR 95%CI p-value | |
| Age (years) | 1.08 (1.02, 1.14) 0.0047 | 1.08 (1.00, 1.16) 0.0432 |
| Education (years) | 1.06 (0.97, 1.17) 0.1796 | 1.08 (0.93, 1.26) 0.3035 |
| LED | 1.00 (1.00, 1.00) 0.2034 | 1.00 (1.00, 1.00) 0.6882 |
| Drug improvement rate | 1.12 (0.07, 17.09) 0.9374 | 23.94 (0.06, 10315.49) 0.3049 |
| UPDRSIII drug off | 1.01 (0.98, 1.04) 0.4258 | 0.93 (0.85, 1.01) 0.0777 |
| UPDRSIII drug on | 1.02 (0.99, 1.06) 0.2467 | 1.07 (0.95, 1.20) 0.2703 |
| NMSS Preop | 1.01 (1.00, 1.03) 0.0857 | 0.95 (0.92, 0.99) 0.0054 |
| PDQ39 Preop | 1.06 (1.02, 1.09) 0.0004 | 1.11 (1.04, 1.19) 0.0012 |
| MOCA Preop | 0.92 (0.83, 1.03) 0.1487 | 0.91 (0.75, 1.10) 0.3182 |
| MMSE Preop | 0.93 (0.87, 0.99) 0.0262 | 1.00 (0.88, 1.14) 0.9914 |
| HAMD Preop | 1.12 (1.03, 1.21) 0.0069 | 1.17 (1.02, 1.34) 0.0281 |
| HAMA Preop | 1.11 (1.03, 1.19) 0.0052 | 1.07 (1.01, 1.19) 0.0335 |
| Duration (years) | 1.07 (0.96, 1.19) 0.2097 | 1.06 (0.91, 1.23) 0.4424 |
| Sex | ||
| male | 1.0 | 1.0 |
| female | 0.61 (0.28, 1.36) 0.2304 | 0.20 (0.06, 1.71) 0.2328 |
| H-Y | ||
| 2 | 1.0 | 1.0 |
| 2.5 | 4478298.90 (0.00, Inf) 0.9881 | 2414460.89 (0.00, Inf) 0.9930 |
| 3 | 4169450.70 (0.00, Inf) 0.9882 | 2109909.14 (0.00, Inf) 0.9931 |
| 4 | inf. (0.00, Inf) 0.9872 | 2173729.34 (0.00, Inf) 0.9931 |
| 5 | inf. (0.00, Inf) 0.9865 | inf. (0.00, Inf) 0.9922 |
| Non-Adjusted | Model I | Model II | ||||
|---|---|---|---|---|---|---|
| OR (95% CI) | p-Value | OR (95% CI) | p-Value | OR (95% CI) | p-Value | |
| Age (years) | 1.08 (1.02, 1.14) | 0.0047 | 1.08 (1.02, 1.14) | 0.0059 | 1.06 (1.00, 1.12) | 0.0432 |
| PDQ-39 Preop | 1.06 (1.02, 1.09) | 0.0004 | 1.06 (1.03, 1.09) | 0.0004 | 1.04 (1.01, 1.08) | 0.0106 |
| MoCA Preop | 0.93 (0.87, 0.99) | 0.0262 | 0.92 (0.86, 1.00) | 0.0426 | 0.94 (0.86, 1.02) | 0.1110 |
| HAMA Preop | 1.11 (1.03, 1.19) | 0.0052 | 1.11 (1.03, 1.20) | 0.0075 | 1.09 (1.00, 1.18) | 0.0440 |
| HAMD Preop | 1.12 (1.03, 1.21) | 0.0069 | 1.13 (1.04, 1.23) | 0.0046 | 1.10 (1.01, 1.20) | 0.0335 |
References
- Cerri, S.; Mus, L.; Blandini, F. Parkinson’s Disease in Women and Men: What’s the Difference? J. Parkinsons Dis. 2019, 9, 501–515. [Google Scholar] [CrossRef] [PubMed] [Green Version]
- Ascherio, A.; Schwarzschild, M.A. The epidemiology of Parkinson’s disease: Risk factors and prevention. Lancet Neurol. 2016, 15, 1257–1272. [Google Scholar] [CrossRef]
- Ribault, S.; Simon, E.; Berthiller, J.; Polo, G.; Nunes, A.; Brinzeu, A.; Mertens, P.; Danaila, T.; Thobois, S.; Laurencin, C. Comparison of clinical outcomes and accuracy of electrode placement between robot-assisted and conventional deep brain stimulation of the subthalamic nucleus: A single-center study. Acta Neurochir. 2021, 163, 1327–1333. [Google Scholar] [CrossRef]
- Pinto, S.; Le Bas, J.F.; Castana, L.; Krack, P.; Pollak, P.; Benabid, A.L. Comparison of two techniques to postoperatively localize the electrode contacts used for subthalamic nucleus stimulation. Neurosurgery 2007, 60 (Suppl. S2), 285–292. [Google Scholar] [CrossRef] [Green Version]
- Mansouri, A.; Taslimi, S.; Badhiwala, J.H.; Witiw, C.D.; Nassiri, F.; Odekerken, V.J.J.; De Bie, R.M.A.; Kalia, S.K.; Hodaie, M.; Munhoz, R.P.; et al. Deep brain stimulation for Parkinson’s disease: Meta-analysis of results of randomized trials at varying lengths of follow-up. J. Neurosurg. 2018, 128, 1199–1213. [Google Scholar] [CrossRef] [Green Version]
- Couto, M.I.; Monteiro, A.; Oliveira, A.; Lunet, N.; Massano, J. Depression and anxiety following deep brain stimulation in Parkinson’s disease: Systematic review and meta-analysis. Acta Med. Port. 2014, 27, 372–382. [Google Scholar] [CrossRef] [Green Version]
- Tröster, A.I.; Jankovic, J.; Tagliati, M.; Peichel, D.; Okun, M.S. Neuropsychological outcomes from constant current deep brain stimulation for Parkinson’s disease. Mov. Disord. 2017, 32, 433–440. [Google Scholar] [CrossRef]
- Schrag, A.; Taddei, R.N. Depression and Anxiety in Parkinson’s Disease. Int. Rev. Neurobiol. 2017, 133, 623–655. [Google Scholar]
- Schrag, A.; Ben-Shlomo, Y.; Quinn, N. How common are complications of Parkinson’s disease? J. Neurol. 2002, 249, 419–423. [Google Scholar] [CrossRef]
- Ashkan, K.; Samuel, M.; Reddy, P.; Chaudhuri, K.R. The impact of deep brain stimulation on the nonmotor symptoms of Parkinson’s disease. J. Neural. Transm. 2012, 120, 639–642. [Google Scholar] [CrossRef]
- Campbell, M.C.; Black, K.J.; Weaver, P.M.; Lugar, H.M.; Videen, T.O.; Tabbal, S.D.; Karimi, M.; Perlmutter, J.S.; Hershey, T. Mood response to deep brain stimulation of the subthalamic nucleus in Parkinson’s disease. J. Neuropsychiatry Clin. Neurosci. 2012, 24, 28–36. [Google Scholar] [CrossRef] [PubMed] [Green Version]
- Altug, F.; Acar, F.; Acar, G.; Cavlak, U. The influence of subthalamic nucleus deep brain stimulation on physical, emotional, cognitive functions and daily living activities in patients with Parkinson’s disease. Turk. Neurosurg. 2011, 21, 140–146. [Google Scholar] [CrossRef] [PubMed]
- Takeshita, S.; Kurisu, K.; Trop, L.; Arita, K.; Akimitsu, T.; Verhoeff, N.P.L.G. Effect of subthalamic stimulation on mood state in Parkinson’s disease: Evaluation of previous facts and problems. Neurosurg. Rev. 2005, 28, 179–186, discussion 187. [Google Scholar] [CrossRef] [PubMed]
- Okun, M.S.; Green, J.; Saben, R.; Gross, R.; Foote, K.D.; Vitek, J.L. Mood changes with deep brain stimulation of STN and GPi: Results of a pilot study. J. Neurol. Neurosurg. Psychiatry 2003, 74, 1584–1586. [Google Scholar] [CrossRef] [Green Version]
- Woods, S.P.; Fields, J.A.; Tröster, A.I. Neuropsychological sequelae of subthalamic nucleus deep brain stimulation in Parkinson’s disease: A critical review. Neuropsychol. Rev. 2002, 12, 111–126. [Google Scholar] [CrossRef]
- Castelli, L.; Zibetti, M.; Rizzi, L.; Caglio, M.; Lanotte, M.; Lopiano, L. Neuropsychiatric symptoms three years after subthalamic DBS in PD patients: A case-control study. J. Neurol. 2008, 255, 1515–1520. [Google Scholar] [CrossRef]
- Castelli, L.; Perozzo, P.; Zibetti, M.; Crivelli, B.; Morabito, U.; Lanotte, M.; Cossa, F.; Bergamasco, B.; Lopiano, L. Chronic deep brain stimulation of the subthalamic nucleus for Parkinson’s disease: Effects on cognition, mood, anxiety and personality traits. Eur. Neurol. 2006, 55, 136–144. [Google Scholar] [CrossRef]
- Salk, R.H.; Hyde, J.S.; Abramson, L.Y. Gender differences in depression in representative national samples: Meta-analyses of diagnoses and symptoms. Psychol. Bull. 2017, 143, 783–822. [Google Scholar] [CrossRef]
- Horwitz, A.V. How an age of anxiety became an age of depression. Milbank Q 2010, 88, 112–138. [Google Scholar] [CrossRef] [Green Version]
- Kim, H.J.; Jeon, B.S.; Paek, S.H. Nonmotor symptoms and subthalamic deep brain stimulation in Parkinson’s disease. J. Mov. Disord. 2015, 8, 83–91. [Google Scholar] [CrossRef]
- Gallagher, D.A.; Schrag, A. Psychosis, apathy, depression and anxiety in Parkinson’s disease. Neurobiol. Dis. 2012, 46, 581–589. [Google Scholar] [CrossRef] [PubMed]
- Wang, X.Q.; Zhuang, H.X.; Zhang, L.X.; Chen, X.; Niu, C.S.; Zhao, M. Nomogram for Predicting Postoperative Delirium After Deep Brain Stimulation Surgery for Parkinson’s Disease. World Neurosurg. 2019, 130, e551–e557. [Google Scholar] [CrossRef] [PubMed]
- Zhan, L.; Wang, X.Q.; Zhang, L.X. Nomogram Model for Predicting Risk of Postoperative Delirium After Deep Brain Stimulation Surgery in Patients Older Than 50 Years with Parkinson Disease. World Neurosurg. 2020, 139, e127–e135. [Google Scholar] [CrossRef] [PubMed]
- Frizon, L.A.; Hogue, O.; Achey, R.; Floden, D.P.; Nagel, S.; Machado, A.G.; Lobel, D.A. Quality of Life Improvement Following Deep Brain Stimulation for Parkinson Disease: Development of a Prognostic Model. Neurosurgery 2019, 85, 343–349. [Google Scholar] [CrossRef]
Publisher’s Note: MDPI stays neutral with regard to jurisdictional claims in published maps and institutional affiliations. |
© 2022 by the authors. Licensee MDPI, Basel, Switzerland. This article is an open access article distributed under the terms and conditions of the Creative Commons Attribution (CC BY) license (https://creativecommons.org/licenses/by/4.0/).
Share and Cite
Chang, B.; Ni, C.; Mei, J.; Xiong, C.; Chen, P.; Jiang, M.; Niu, C. Nomogram for Predicting Depression Improvement after Deep Brain Stimulation for Parkinson’s Disease. Brain Sci. 2022, 12, 841. https://doi.org/10.3390/brainsci12070841
Chang B, Ni C, Mei J, Xiong C, Chen P, Jiang M, Niu C. Nomogram for Predicting Depression Improvement after Deep Brain Stimulation for Parkinson’s Disease. Brain Sciences. 2022; 12(7):841. https://doi.org/10.3390/brainsci12070841
Chicago/Turabian StyleChang, Bowen, Chen Ni, Jiaming Mei, Chi Xiong, Peng Chen, Manli Jiang, and Chaoshi Niu. 2022. "Nomogram for Predicting Depression Improvement after Deep Brain Stimulation for Parkinson’s Disease" Brain Sciences 12, no. 7: 841. https://doi.org/10.3390/brainsci12070841
APA StyleChang, B., Ni, C., Mei, J., Xiong, C., Chen, P., Jiang, M., & Niu, C. (2022). Nomogram for Predicting Depression Improvement after Deep Brain Stimulation for Parkinson’s Disease. Brain Sciences, 12(7), 841. https://doi.org/10.3390/brainsci12070841

