Brief Strategy Training in Aging: Near Transfer Effects and Mediation of Gains by Improved Self-Regulation
Abstract
1. Introduction
1.1. The Present Study
1.2. Research Aims and Hypotheses
1.2.1. Aim 1. Impact of Training
1.2.2. Aim 2. Impact of Added Self-Regulatory Elements
1.2.3. Aim 3. Near Transfer of Training Impact
1.2.4. Aim 4. Mechanisms for Training Effects
2. Materials and Methods
2.1. Participants
2.2. Procedure
2.3. Measures and Materials
2.3.1. Baseline, Control, and Exploratory Measures
2.3.2. Primary Outcome Measures
2.3.3. Transfer Outcome Measures
2.4. Training Procedures
2.4.1. Overall Training Approach
2.4.2. Self-Regulatory Elements in Training
3. Results
3.1. Preliminary Results: Baseline Data by Condition
3.2. Aim 1 Results: Impact of Abbreviated Training
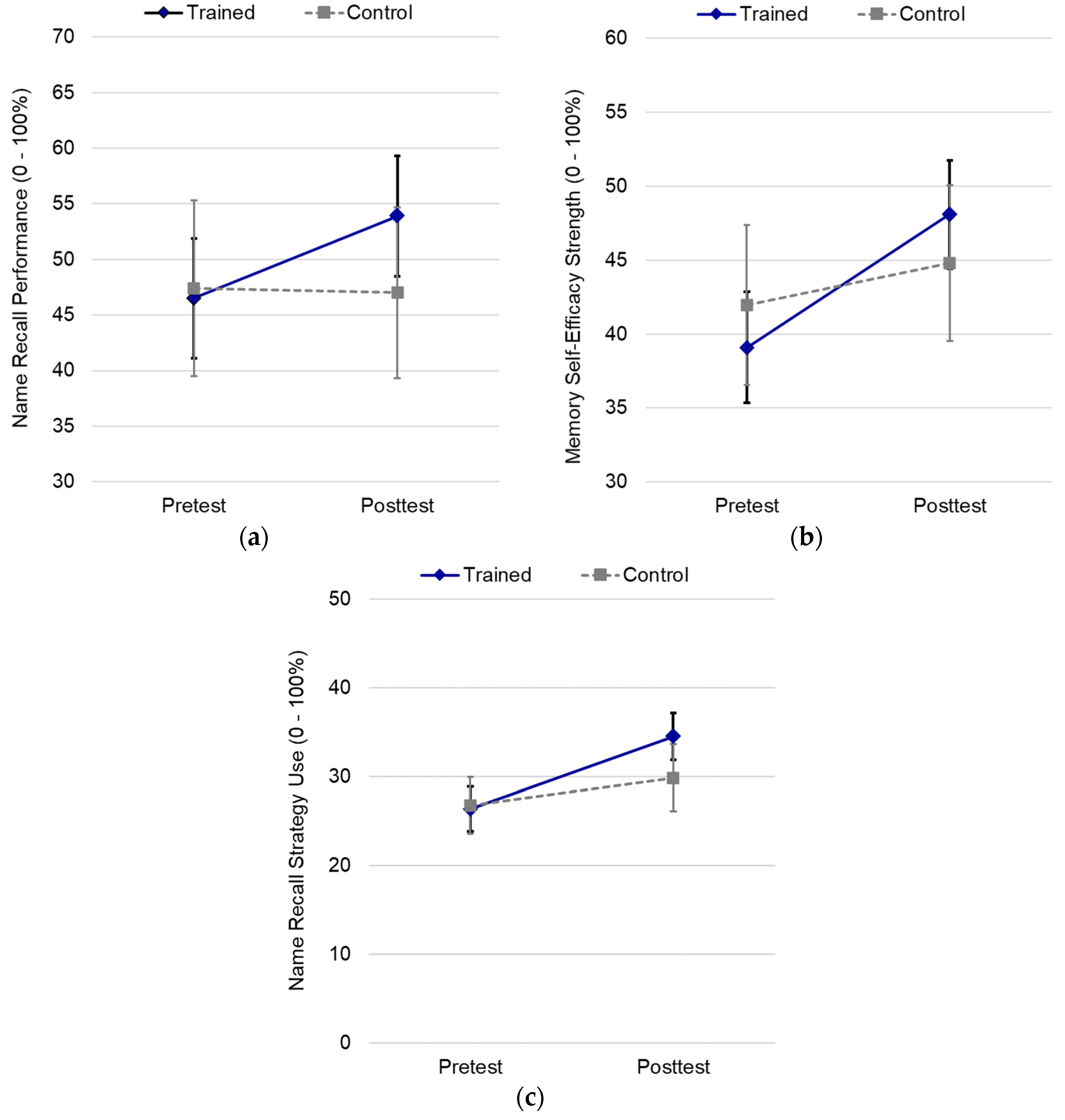
3.2.1. Training Effects for Name Recall
3.2.2. Training Effects for Memory Self-Efficacy
3.2.3. Training Effects for Memory Control Beliefs
3.2.4. Training Effects for Strategy Use
3.3. Aim 2 Results: Impact of Added Self-Regulation Elements
3.4. Aim 3 Results: Near Transfer Effects
3.4.1. Preliminary Analyses for Transfer Outcomes
3.4.2. Near Transfer Effects
3.5. Aim 4 Results: Mechanisms for Training Effects
4. Discussion
4.1. Effectiveness of Brief Memory Training Program
4.2. Evidence for Near Transfer
4.3. The Value of Self-Regulation in Training Approaches
4.4. Limitations
5. Conclusions
Supplementary Materials
Author Contributions
Funding
Institutional Review Board Statement
Informed Consent Statement
Data Availability Statement
Acknowledgments
Conflicts of Interest
Appendix A. Participants: Participant Exclusion, Attrition, and Demographics
Appendix B. Training Procedures: Examples to Compare Self-Regulatory Elements in Training Groups
| SB Version | SO Version | 
|---|---|
| 1. Workbook Introductory Paragraph | 1. Workbook Introductory Paragraph | 
| We recognize that each person begins on a different level. We all start with different skills and different ability levels. Each person has different memory experiences. By beginning with fairly simple techniques, we hope to ensure that all of you understand and benefit from this lesson, even if you have very little background in memory. The Everyday Memory Training program is not about being an expert memorizer. It’s not about getting 100%. It’s about each one of you learning and improving, so that you will be able to remember more after the program is done. | Memory is complicated. We have been working on memory research for many years. So we are going to try to teach you specific techniques that might help you to improve your memory performance. Because there are many different techniques, you will learn more than one technique in class. Some of these techniques will be hard and other memory methods will be easy. And you will be asked to do practice exercises with these techniques. The lesson in class today and the readings and practice exercises are intended to help you to raise your memory scores. | 
| 2. Workbook Closing Paragraph | 2. Workbook Closing Paragraph | 
| In this memory training program, you have learned how to use different memory techniques. We have discussed association, imagery, the image-name-match method and active observation. Research evidence tells us that each of these techniques can support your memory in general and make it more likely that you will remember names. The homework section of this notebook starts on the next page. The homework includes readings and memory activities that will give you an opportunity to practice and master the memory techniques that you learned today. | In this memory training program, you have learned how to use different memory techniques. We have discussed association, imagery, the image-name-match method and active observation. Each of these techniques can support your memory in general and make it possible to remember names. The homework section of this notebook starts on the next page. The homework includes readings and memory activities that will improve your memory scores. | 
| 3. Excerpt from General Instructions for Practice Exercises | 3. Excerpt from General Instructions for Practice Exercises | 
| You have an activity log with this packet so that you can keep track of your exercise time. The more you practice, the better you will do on these tasks. It is up to you. With additional practice, you are more likely to master the strategies you learned in class. | You have an activity log with this packet so that you can keep track of your exercise time. The more you practice, the better you will do on these tasks. | 
Appendix C. Results: Baseline Statistics by Training Condition
| CT (n = 38) 79% Female 95% White | SO (n = 46) 76% Female 89% White | SB (n = 38) 82% FEMALE 92% white | Total (N = 122) 79% Female 92% White | |||||
|---|---|---|---|---|---|---|---|---|
| M | SD | M | SD | M | SD | M | SD | |
| Age (years) a | 72.51 | 8.34 | 71.51 | 7.34 | 76.08 | 8.83 | 73.24 | 8.31 | 
| Years of education | 17.76 | 3.07 | 17.50 | 2.96 | 16.68 | 2.36 | 17.33 | 2.84 | 
| Rating of English ability (1–10) | 9.32 | 0.93 | 8.91 | 1.31 | 9.03 | 0.97 | 9.07 | 1.11 | 
| Rating of corrected vision (1–10) | 8.08 | 1.44 | 8.17 | 1.06 | 7.68 | 1.56 | 7.99 | 1.38 | 
| Rating of corrected hearing (1–10) | 7.87 | 1.55 | 8.33 | 1.52 | 7.97 | 1.64 | 8.07 | 1.57 | 
| RAVLT immediate recall (0–15) | 7.68 | 2.41 | 7.28 | 2.23 | 7.21 | 2.71 | 7.39 | 2.42 | 
| RAVLT delayed recall (0–15) | 4.11 | 2.47 | 4.37 | 2.41 | 4.34 | 2.91 | 4.28 | 2.60 | 
| Backward digit span (2–8) | 5.13 | 1.42 | 5.26 | 1.34 | 5.11 | 1.20 | 5.17 | 1.31 | 
| Physical health (PCS from SF-12) | 50.25 | 8.79 | 49.05 | 10.14 | 47.81 | 8.99 | 49.04 | 9.36 | 
| Mental health (MCS from SF-12) | 54.67 | 7.12 | 54.39 | 6.60 | 55.03 | 6.13 | 54.68 | 6.58 | 
| Perceived mastery (1–6) | 5.19 | 0.65 | 5.00 | 0.77 | 4.99 | 0.91 | 5.06 | 0.78 | 
| General memory evaluation (1–7) | 4.59 | 1.24 | 4.18 | 1.22 | 4.04 | 1.24 | 4.26 | 1.24 | 
Appendix D. Results: Correlations for Pretest and Posttest Name Recall and Transfer Outcomes
| Measure | 1 | 2 | 3 | 4 | 5 | 
|---|---|---|---|---|---|
| 1. Name recall (level 2) | – | 0.60 | 0.63 | 0.51 | 0.46 | 
| 2. Occupation–name immediate recall | 0.60 | – | 0.96 | 0.74 | 0.45 | 
| 3. Occupation–name delayed recall | 0.62 | 0.97 | – | 0.75 | 0.46 | 
| 4. Occupation–name delayed recognition | 0.47 | 0.71 | 0.71 | – | 0.52 | 
| 5. Object–location delayed recall | 0.47 | 0.41 | 0.45 | 0.34 | – | 
References
- Dark-Freudeman, A.; West, R.L.; Viverito, K.M. Future Selves and Aging: Older Adults’ Memory Fears. Educ. Gerontol. 2006, 32, 85–109. [Google Scholar] [CrossRef]
- Nyberg, L.; Pudas, S. Successful memory aging. Annu. Rev. Psychol. 2019, 70, 219–243. [Google Scholar] [CrossRef]
- Park, D.; Festini, S. Theories of memory and aging: A look at the ast and a glimpse of the future. J. Gerontol. B Psychol. Sci. Soc. Sci. 2017, 72, 82–90. [Google Scholar] [CrossRef] [PubMed]
- Barber, S.J.; Strickland-Hughes, C.M. The relationship between future time perspective and memory control beliefs in older adults. Res. Hum. Dev. 2019, 16, 156–174. [Google Scholar] [CrossRef]
- Beaudoin, M.; Desrichard, O. Are memory self-efficacy and memory performance related? A meta-analysis. Psychol. Bull. 2011, 137, 211–241. [Google Scholar] [CrossRef]
- Crumley, J.J.; Stetler, C.A.; Horhota, M. Examining the relationship between subjective and objective memory performance in older adults: A meta-analysis. Psychol. Aging 2014, 29, 250–263. [Google Scholar] [CrossRef] [PubMed]
- Hertzog, C.; Touron, D.R. Age differences in memory retrieval shift: Governed by feeling-of-knowing? Psychol. Aging 2011, 26, 647–660. [Google Scholar] [CrossRef]
- Gross, A.L.; Parisi, J.M.; Spira, A.P.; Kueider, A.M.; Ko, J.Y.; Saczynski, J.S.; Samus, Q.M.; Rebok, G.W. Memory training interventions for older adults: A meta-analysis. Aging Ment. Health 2012, 16, 722–734. [Google Scholar] [CrossRef]
- Hertzog, C.; Kramer, A.F.; Wilson, R.S.; Lindenberger, U. Enrichment effects on adult cognitive development: Can the functional capacity of older adults be preserved and enhanced? Psychol. Sci. Public Interest 2009, 9, 1–65. [Google Scholar] [CrossRef]
- West, R.L. A commentary on historical and innovated approaches to memory intervention for older adults. J. Appl. Res. Mem. Cogn. 2012, 1, 53–55. [Google Scholar] [CrossRef]
- Strickland-Hughes, C.M.; West, R.L. Memory: Training methods and benefits. In Encyclopedia of Geropsychology; Pachana, N.A., Ed.; Springer: Singapore, 2017. [Google Scholar] [CrossRef]
- Verhaeghen, P.; Marcoen, A.; Goossens, L. Improving memory performance in the aged through mnemonic training: A meta-analytic study. Psychol. Aging 1992, 7, 242–251. [Google Scholar] [CrossRef] [PubMed]
- Zehnder, F.; Martin, M.; Altgasses, N.; Clare, L. Memory training effects in old age as markers of plasticity: A meta-analysis. Restor. Neurol. Neurosci. 2009, 27, 507–520. [Google Scholar] [CrossRef] [PubMed]
- Hering, A.; Rendell, P.G.; Rose, N.S.; Schnitzspahn, K.M.; Kliegel, M. Prospective memory training in older adults and its relevance for successful aging. Psychol. Res. 2014, 78, 892–904. [Google Scholar] [CrossRef] [PubMed]
- Stine-Morrow, E.A.L.; Parisi, J.M.; Morrow, D.G.; Greene, J.; Park, D.C. An engagement model of cognitive optimization through adulthood. J. Gerontol. B Psychol. Sci. Soc. Sci. 2007, 62, 62–69. [Google Scholar] [CrossRef]
- West, R.L.; Strickland-Hughes, C.M. Memory training for older adults: A review with recommendations for clinicians. In Preservation of Memory; Bruno, D., Ed.; Psychology Press: New York, NY, USA, 2015; pp. 152–168. [Google Scholar]
- Stine-Morrow, E.A.L.; Shake, M.C.; Miles, J.R.; Noh, S.R. Adult age differences in the effects of goals on self-regulated sentence processing. Psychol. Aging 2006, 21, 790–803. [Google Scholar] [CrossRef]
- Stine-Morrow, E.A.L.; Miller, L.M.; Hertzog, C. Aging and self-regulated language processing. Psychol. Bull. 2006, 132, 582–606. [Google Scholar] [CrossRef]
- Bailey, H.; Dunlosky, J.; Hertzog, C. Metacognitive training at home: Does it improve older adults’ learning? Gerontology 2010, 56, 414–420. [Google Scholar] [CrossRef][Green Version]
- Gross, A.L.; Rebok, G.W. Memory training and strategy use in older adults: Results from the ACTIVE study. Psychol. Aging 2011, 26, 503–517. [Google Scholar] [CrossRef] [PubMed]
- Payne, B.R.; Gross, A.L.; Hill, P.L.; Parisi, J.M.; Rebok, G.W.; Stine-Morrow, E.A.L. Decomposing the relationship between cognitive functioning and self-referent memory beliefs in older adulthood: What’s memory got to do with it? Aging Neuropsychol. Cogn. 2017, 24, 345–362. [Google Scholar] [CrossRef]
- West, R.L.; Hastings, E.C. Self-regulation and recall: Growth curve modeling of intervention outcomes for older adults. Psychol. Aging 2011, 26, 803–812. [Google Scholar] [CrossRef]
- Hertzog, C.; Dunlosky, J. Metacognitive approaches can promote transfer of training: Comment on McDaniel and Bugg. J. Appl. Res. Mem. Cogn. 2012, 1, 61–63. [Google Scholar] [CrossRef]
- Jaeggi, S.M.; Buschkuehl, M.; Shah, P.; Jonides, J. The role of individual differences in cognition training and transfer. Mem. Cogn. 2014, 42, 464–480. [Google Scholar] [CrossRef]
- Payne, B.R.; Jackson, J.J.; Hill, P.L.; Gao, X.; Roberts, B.W.; Stine-Morrow, E.A.L. Memory self-efficacy predicts responsiveness to inductive reasoning training in older adults. J. Gerontol. B Psychol. Sci. Soc. Sci. 2012, 67, 27–35. [Google Scholar] [CrossRef] [PubMed]
- West, R.L.; Bagwell, D.K.; Dark-Freudeman, A. Self-efficacy and memory aging: The impact of a memory intervention based on self-efficacy. Aging Neuropsychol. Cogn. 2008, 15, 302–329. [Google Scholar] [CrossRef] [PubMed]
- Valentijn, S.A.M.; Hill, R.D.; Van Hooren, S.A.H.; Bosma, H.; Van Boxtel, M.P.J.; Jolles, J.; Ponds, R.W.H.M. Memory self-efficacy predicts memory performance: Results from a 6-year follow-up study. Psychol. Aging 2006, 21, 165–172. [Google Scholar] [CrossRef] [PubMed]
- McDougall, G.M., Jr.; Becker, H.; Pituch, K.; Acee, T.W.; Vaughan, P.W.; Devlille, C.L. Differential Benefits of Memory Training for Minority Older Adults in the SeniorWISE Study. Gerontologist 2010, 50, 632–645. [Google Scholar] [CrossRef] [PubMed]
- Noack, H.; Lövdén, M.; Schmiedek, F. On the validity and generality of transfer effects in cognitive training research. Psychol Res. 2014, 78, 773–789. [Google Scholar] [CrossRef]
- Traut, H.J.; Guild, R.M.; Munakata, Y. Who does cognitive training yield inconsistent benefits? A meta-analysis of individual differences in baseline cognitive abilities and training outcomes. Front. Psychol. 2021, 12, 662139. [Google Scholar] [CrossRef]
- McDaniel, M.A.; Bugg, J.M. Memory training interventions: What has been forgotten? J. Appl. Res. Mem. Cogn. 2012, 1, 45–50. [Google Scholar] [CrossRef]
- Morrison, A.; Chein, J.M. Does working memory training work? The promise and challenges of enhancing cognition by training working memory. Psychon. Bull. Rev. 2011, 18, 46–60. [Google Scholar] [CrossRef]
- Schwaighofer, M.; Fischer, F.; Bühner, M. Does working memory training transfer? A meta-analysis including training conditions as moderators. Educ. Psychol. 2015, 50, 138–166. [Google Scholar] [CrossRef]
- Stine-Morrow, E.A.L.; Basak, C. Cognitive interventions. In Handbook of the Psychology of Aging, 7th ed.; Schaie, K.W., Willis, S.L., Eds.; Elsevier: New York, NY, USA, 2011; pp. 153–170. [Google Scholar]
- Rebok, G.W.; Carlson, M.C.; Langbaum, J.B.S. Training and maintaining memory abilities in healthy older adults: Traditional and novel approaches. J. Gerontol. B Psychol. Sci. Soc. Sci. 2017, 62, 53–61. [Google Scholar] [CrossRef] [PubMed]
- Zelinski, E.M. Far transfer in cognitive training of older adults. Restor. Neurol. Neurosci. 2009, 27, 455–471. [Google Scholar] [CrossRef] [PubMed]
- Jaeggi, S.M.; Buschkuehl, M.; Jonides, J.; Perrig, W.J. Improving fluid intelligence with training on working memory. Proc. Natl. Acad. Sci. USA 2008, 105, 6829–6833. [Google Scholar] [CrossRef] [PubMed]
- Kueider, A.M.; Parisi, J.M.; Gross, A.L.; Rebok, G.W. Computerized cognitive training with older adults: A systematic review. PLoS ONE 2012, 7, e40588. [Google Scholar] [CrossRef]
- Mewborn, C.M.; Lindbergh, C.A.; Stephen Miller, L. Cognitive interventions for cognitively healthy, mildly impaired, and mixed samples of older adults: A systematic review and meta-analysis of randomized-controlled trials. Neuropsychol. Rev. 2017, 27, 403–439. [Google Scholar] [CrossRef]
- Toril, P.; Reales, J.M.; Ballesteros, S. Video game training enhances cognition of older adults: A meta-analytic study. Psychol. Aging 2014, 29, 706–716. [Google Scholar] [CrossRef]
- Dunlosky, J.; Cavallini, E.; Roth, H.; McGuire, C.L.; Vecchi, T.; Hertzog, C. Do self-monitoring interventions improve older adults learning? J. Gerontol. B Psychol. Sci. Soc. Sci. 2007, 62, 70–76. [Google Scholar] [CrossRef]
- Dunlosky, J.; Kubat-Silman, A.; Hertzog, C. Training metacognitive skills improves older adults’ self-paced associative learning. Psychol. Aging 2003, 18, 340–345. [Google Scholar] [CrossRef]
- Cavallini, E.; Dunlosky, J.; Bottiroli, S.; Hertzog, C.; Vecchi, T. Promoting transfer in memory training for older adults. Aging Clin. Exp. Res. 2010, 22, 314–323. [Google Scholar] [CrossRef] [PubMed]
- Bandura, A. Self-Efficacy: The Exercise of Control; Freeman: New York, NY, USA, 1997. [Google Scholar]
- Smith, S.L.; West, R.L. The application of self-efficacy principles to audiologic rehabilitation: A tutorial. Am. J. Audiol. 2006, 15, 46–56. [Google Scholar] [CrossRef]
- Rebok, G.W.; Balcerak, L.J. Memory self-efficacy and performance differences in young and old adults: Effect of mnemonic training. Dev. Psychol. 1989, 25, 714–721. [Google Scholar] [CrossRef]
- West, R.L. Planning practical memory training for the aged. In Everyday Cognition in Adulthood and Late Life; Poon, L.A., Rubin, D.C., Wilson, B.D., Eds.; Cambridge University Press: Cambridge, UK, 1989; pp. 573–597. [Google Scholar] [CrossRef]
- Ware, J.E.; Kosinski, M.; Keller, S.D. SF-12: How to Score the SF-12 Physical and Mental Health Summary Scales, 2nd ed.; The Health Institute, New England Medical Center: Boston, MA, USA, 1995. [Google Scholar]
- Faul, F.; Erdfelder, E.; Lang, A.-G.; Buchner, A. G*Power 3: A flexible statistical power analysis program for the social, behavioral, and biomedical sciences. Behav. Res. Methods 2007, 39, 175–191. [Google Scholar] [CrossRef] [PubMed]
- Hastings, E.C.; West, R.L. The relative success of a self-help and a group-based memory training program for older adults. Psychol. Aging 2009, 24, 586–594. [Google Scholar] [CrossRef] [PubMed]
- Strickland-Hughes, C.M.; West, R.L.; Smith, K.A.; Ebner, N.C. False feedback and beliefs influence name recall in younger and older adults. Memory 2016, 25, 1072–1088. [Google Scholar] [CrossRef] [PubMed]
- Brandt, J.; Spencer, M.; Folstein, M. The Telephone Interview for Cognitive Status. Neuropsychiatry Neuropsychol. Behav. Neurol. 1988, 1, 111–117. [Google Scholar]
- Lachman, M.E.; Agrigoroaei, S.; Tun, P.A.; Weaver, S.L. Monitoring cognitive functioning: Psychometric properties of the Brief Test of Adult cognition by Telephone. Assessment 2014, 2, 404–417. [Google Scholar] [CrossRef] [PubMed]
- Lachman, M.E.; Weaver, S.L. The sense of control as a moderator of social class differences in health and well-being. J. Personal. Soc. Psychol. 1998, 74, 763–773. [Google Scholar] [CrossRef]
- West, R.L.; Dark-Freudeman, A.; Bagwell, D. Goals-feedback conditions and memory: Mechanisms for memory gains in older and younger adults. Memory 2009, 17, 233–244. [Google Scholar] [CrossRef]
- West, R.L.; Thorn, R.M.; Bagwell, D.K. Memory performance and beliefs as a function of goal setting and aging. Psychol. Aging 2003, 18, 111–125. [Google Scholar] [CrossRef]
- Dixon, R.A.; Hultsch, D.F.; Hertzog, C. The Metamemory in Adulthood (MIA) questionnaire. Psychopharmacol. Bull. 1988, 24, 671–688. [Google Scholar] [CrossRef]
- Craigie, M.; Hanley, J.R. Putting faces to names. Br. J. Psychol. 1997, 88, 157–171. [Google Scholar] [CrossRef]
- James, L.E. Meeting Mr. Farmer versus meeting a farmer: Specific effects of aging on learning proper names. Psychol. Aging 2004, 19, 515–522. [Google Scholar] [CrossRef] [PubMed]
- West, R.L.; Welch, D.C.; Knabb, P.D. Gender and aging: Spatial self-efficacy and location recall. Basic Appl. Soc. Psychol. 2002, 24, 71–80. [Google Scholar] [CrossRef]
- Welch, D.C. The Effects of Object Location Training on Spatial Self-Efficacy, Location Recall, and Strategy Usage. Ph.D. Thesis, University of Florida, Gainesville, FL, USA, 2008. [Google Scholar]
- Brown, K.W.; Ryan, R.M. The benefits of being present: Mindfulness and its role in psychological well-being. J. Personal. Soc. Psychol. 2003, 84, 822–848. [Google Scholar] [CrossRef]
- IBM Corp. IBM SPSS Statistics for Windows Version 24.0; IBM Corp: Armonk, NY, USA, 2016. [Google Scholar]
- Hayes, A.F. Introduction to Mediation: A Regression-Based Approach, 2nd ed.; Guildford Press: New York, NY, USA, 2018. [Google Scholar]
- Floyd, M.; Scogin, F. Effects of memory training on the subjective memory functioning and mental health of older adults: A meta-analysis. Psychol. Aging 1997, 12, 150–161. [Google Scholar] [CrossRef] [PubMed]
- Wolinsky, F.D.; Vander Weg, M.W.; Martin, R.; Unverzagt, F.W.; Willis, S.L.; Marsiske, M.; Rebok, G.W.; Morris, J.N.; Ball, K.K.; Tennstedt, S.L. Does cognitive training improve internal locus of control among older adults? J. Gerontol. B Psychol. Sci. Soc. Sci. 2009, 65, 591–598. [Google Scholar] [CrossRef] [PubMed]
- Rapp, S.; Brenes, G.; Marsh, A.P. Memory enhancement training for older adults with mild cognitive impairment: A preliminary study. Aging Ment. Health 2002, 6, 5–11. [Google Scholar] [CrossRef] [PubMed]
- Woolverton, M.; Scogin, F.; Shackelford, J.; Black, S.; Duke, L. Problem-targeted memory training for older adults. Aging Neuropsychol. Cogn. 2001, 8, 241–255. [Google Scholar] [CrossRef]
- Noice, H.; Noice, T. Extending the reach of an evidence-based theatrical intervention. Exp. Aging Res. 2013, 39, 398–4180. [Google Scholar] [CrossRef][Green Version]
- Barnett, S.M.; Ceci, S.J. When and where do we apply what we learn? A taxonomy for far transfer. Psychol. Bull. 2002, 128, 612–637. [Google Scholar] [CrossRef] [PubMed]
- Naveh-Benjamin, M.; Mayr, U. Age-related differences in associative memory: Empirical evidence and theoretical perspectives. Psychol. Aging 2018, 33, 1–6. [Google Scholar] [CrossRef]
- Bagwell, D.K.; West, R.L. Assessing compliance: Active versus inactive trainees in a memory intervention. Clin. Interv. Aging 2008, 3, 371–382. [Google Scholar] [CrossRef] [PubMed]
- Ashford, S.J.; De Stobbeleir, K.E.M. Feedback, goal-setting, and task performance revisited. In New Developments in Goal-Setting and Task Performance; Locke, E.A., Latham, G.P., Eds.; Routledge/Taylor & Francis Group: New York, NY, USA, 2013; pp. 51–64. [Google Scholar] [CrossRef]
- West, R.L.; Ebner, N.C.; Hastings, E.C. Linking goals and aging: Experimental and lifespan approaches. In New Developments in Goal-Setting and Task Performance; Locke, E.A., Latham, G.P., Eds.; Routledge/Taylor & Francis Group: New York, NY, USA, 2013; pp. 439–459. [Google Scholar]
- West, R.L.; Strickland-Hughes, C.M.; Smith, K.A. Age differences in self-set goal effects for memory. Aging Neuropsychol. Cogn. 2018, 25, 484–499. [Google Scholar] [CrossRef]
- Wood, R.L.; Whelan, J.; Sojo, V.; Wong, M. Goals, goal orientation, strategies, and performance. In New Developments in Goal-Setting and Task Performance; Locke, E.A., Latham, G.P., Eds.; Routledge/Taylor & Francis Group: New York, NY, USA, 2013; pp. 90–114. [Google Scholar]
- de Frias, C.M.; Nilsson, L.-G.; Herliz, A. Sex differences in cognition are stable over a 10-year period in adulthood and old age. Aging Neuropsychol. Cogn. 2006, 13, 574–587. [Google Scholar] [CrossRef]
- West, R.L.; Crook, T.H.; Barron, K.L. Everyday memory performance across the life span: Effects of age and noncognitive individual differences. Psychol. Aging 1992, 7, 72–82. [Google Scholar] [CrossRef] [PubMed]
- Reid, L.M.; MacLullich, A.M.J. Subjective memory complaints and cognitive impairment in older people. Dement. Geriatr. Cogn. Disord. 2006, 22, 471–485. [Google Scholar] [CrossRef]
- West, R.L.; Bagwell, D.; Dark-Freudeman, A. Memory and goal setting: The response of older and younger adults to positive and objective feedback. Psychol. Aging 2005, 20, 195–201. [Google Scholar] [CrossRef]
- West, R.L.; Welch, D.C.; Thorn, R.M. Effects of goal-setting and feedback on memory performance and beliefs among older and younger adults. Psychol. Aging 2001, 16, 240–250. [Google Scholar] [CrossRef] [PubMed]
- West, R.L.; Yassuda, M.S. Aging and memory control beliefs: Performance in relation to goal setting and memory self-evaluation. J. Gerontol. B Psychol. Sci. Soc. Sci. 2004, 59, 56–65. [Google Scholar] [CrossRef] [PubMed]
- Bottiroli, S.; Cavallini, E.; Vecchi, T. Long-term effects of memory training in the elderly: A longitudinal study. Arch. Gerontol. Geriatr. 2008, 47, 277–289. [Google Scholar] [CrossRef] [PubMed]
- Rebok, G.W.; Ball, K.; Guey, L.T.; Jones, R.N.; Kim, H.-Y.; King, J.W.; Marsiske, M.; Morris, J.N.; Tennstedt, S.L.; Unverzagt, F.W.; et al. Ten-year effects of the Advanced cognitive Training for Independent and Vital elderly Cognitive Training trial on cognition and everyday functioning in older adults. J. Am. Geriatr. Soc. 2014, 62, 16–24. [Google Scholar] [CrossRef]



| Week | Groups | Agenda | 
|---|---|---|
| 0 | All | Phone interview: Eligibility, demographics, and other control measures | 
| 1 | All | Pretest assessment: Primary and transfer outcomes | 
| 2 | SB | 2-h group training session, followed by ~2 h of self-study in workbook | 
| SO | 2-h group training session, followed by ~2 h of self-study in workbook | |
| Control | No meeting, homework, or other activity | |
| 3 | All | Posttest assessment: Primary and transfer outcomes | 
| Measure | 
|---|
| Phone Interview | 
| Verbal Informed Consent | 
| Telephone Interview for Cognitive Status (TICS) [52] | 
| Rey Auditory-Verbal Learning Test (RAVLT) [53] | 
| Backward Digit Span from WAIS-III [53] | 
| Short Form Health Survey (SF-12) [48] | 
| Perceived Mastery [54] | 
| General Memory Evaluation (GME) [55] | 
| Surveys of medication/supplement use, ratings of sensory function, demographic information | 
| Targeted Pretest/Posttest Assessments | 
| Written Informed Consent * | 
| Name Recall (Levels 1 and 2) [26] | 
| Memory Self-Efficacy Questionnaire (MSEQ-4) [56] | 
| Locus of Control for Memory (Metamemory in Adulthood Questionnaire subscale) [57] | 
| Occupation–Name Verbal Association [58,59] | 
| Object–Location Visual Association [60,61] | 
| Strategy Use Checklists (for name recall, occupation–name association, and object–location association) [26] | 
| Exploratory Assessments | 
| Memory Anxiety (Metamemory in Adulthood Questionnaire Subscale) [57] | 
| Mindful Attention Awareness Scale (MAAS) [62] | 
| Subjective Age Identity [51] | 
| Surveys of health and memory engagement | 
| Self-Efficacy Elements | Control | SO | SB | 
|---|---|---|---|
| Enactive mastery | |||
| Each skill practiced repeatedly | - | ✓ | ✓ | 
| In class success remembering names of class members * | - | ✓ | ✓ | 
| Success with strategy practice | - | ✓ | ✓ | 
| Easier strategies first | - | - | ✓ | 
| Vicarious experience | |||
| Trainer gives examples, models each strategy | - | ✓ | ✓ | 
| Emphasis on learning from each other in class | - | - | ✓ | 
| Whole group practices strategy together | - | ✓ | ✓ | 
| Verbal persuasion | |||
| Group provides social support * | - | ✓ | ✓ | 
| Positive feedback from trainer in session | - | - | ✓ | 
| Readings emphasize potential at any age | - | - | ✓ | 
| Research presented on strategy effectiveness and learning potential of seniors | - | - | ✓ | 
| Trainer reframes all negative comments to emphasize potential | - | - | ✓ | 
| Physiologic and affective states (reducing anxiety) | |||
| At home training materials to allow self-pacing or sufficient time for learning | - | ✓ | ✓ | 
| Readings reviewed in class to help trainees understand | - | ✓ | ✓ | 
| Class discussion shows that others have similar problems | - | ✓ | ✓ | 
| Emphasis on process/learning, not on 100% score | - | - | ✓ | 
| Focus on potential in readings and in class sessions | - | - | ✓ | 
| Emphasize personal decision-making about what to learn | - | - | ✓ | 
| Trainer emphasizes that everyone has memory failures | - | - | ✓ | 
| Control (n = 38) | Trained (n = 79) | Total (N = 117) | ||||
|---|---|---|---|---|---|---|
| M | SD | M | SD | M | SD | |
| Name recall (% correct) | ||||||
| Pretest | 47.37 | 22.52 | 46.52 | 25.34 | 46.79 | 24.37 | 
| Posttest | 47.04 | 23.29 | 53.85 | 24.53 | 51.64 | 24.25 | 
| Memory self-efficacy (0–100) | ||||||
| Pretest | 41.96 | 16.45 | 39.11 | 16.95 | 40.03 | 16.77 | 
| Posttest | 44.79 | 16.08 | 48.09 | 16.58 | 47.02 | 16.42 | 
| Memory control (1–5) | ||||||
| Pretest | 3.42 | 0.54 | 3.45 | 0.50 | 3.44 | 0.51 | 
| Posttest | 3.47 | 0.47 | 3.62 | 0.52 | 3.57 | 0.51 | 
| Name recall strategy use (% used) | ||||||
| Pretest | 26.78 | 10.39 | 26.14 | 9.87 | 26.34 | 10.00 | 
| Posttest | 29.88 | 12.26 | 34.55 | 11.55 | 33.03 | 11.94 | 
| SO (n = 44) | SB (n = 35) | Total (N = 79) | ||||
|---|---|---|---|---|---|---|
| M | SD | M | SD | M | SD | |
| Name recall (% correct) | ||||||
| Pretest | 50.19 | 25.59 | 41.90 | 24.61 | 46.52 | 25.34 | 
| Posttest | 57.20 | 23.59 | 49.64 | 25.37 | 53.85 | 24.53 | 
| Memory self-efficacy (0–100) | ||||||
| Pretest | 40.19 | 16.85 | 37.74 | 17.22 | 39.11 | 16.95 | 
| Posttest | 50.31 | 15.85 | 45.31 | 17.27 | 48.09 | 16.58 | 
| Memory control (1–5) | ||||||
| Pretest | 3.51 | 0.47 | 3.38 | 0.54 | 3.45 | 0.50 | 
| Posttest | 3.63 | 0.56 | 3.60 | 0.49 | 3.62 | 0.52 | 
| Name recall strategy use (% used) | ||||||
| Pretest | 25.27 | 8.38 | 27.23 | 11.51 | 26.14 | 9.87 | 
| Posttest | 35.03 | 10.98 | 33.95 | 12.36 | 34.55 | 11.55 | 
| CT (n = 38) | SO (n = 44) | SB (n = 36) | Total (N = 118) | |||||
|---|---|---|---|---|---|---|---|---|
| M | SD | M | SD | M | SD | M | SD | |
| Occupation-name immediate recall (%) | ||||||||
| Pretest | 28.86 | 16.93 | 30.00 | 21.39 | 22.04 | 19.86 | 27.20 | 19.72 | 
| Posttest | 30.00 | 19.25 | 36.21 | 20.84 | 30.46 | 22.14 | 32.46 | 20.78 | 
| Occupation-name delayed recall (%) | ||||||||
| Pretest | 25.00 | 15.02 | 26.06 | 21.74 | 18.61 | 18.91 | 23.45 | 19.04 | 
| Posttest | 26.93 | 17.85 | 31.89 | 20.99 | 28.15 | 22.29 | 29.15 | 20.40 | 
| Occupation-name delayed recognition (%) | ||||||||
| Pretest | 53.51 | 22.15 | 54.09 | 24.45 | 41.30 | 25.98 | 50.00 | 24.71 | 
| Posttest | 57.46 | 21.87 | 59.92 | 21.51 | 53.89 | 24.06 | 57.29 | 22.38 | 
| Object-location delayed recall (%) | ||||||||
| Pretest | 62.99 | 20.36 | 66.70 | 24.34 | 56.55 | 24.39 | 62.40 | 23.40 | 
| Posttest | 63.76 | 19.93 | 64.73 | 21.27 | 58.57 | 25.05 | 62.61 | 22.09 | 
| Publisher’s Note: MDPI stays neutral with regard to jurisdictional claims in published maps and institutional affiliations. | 
© 2022 by the authors. Licensee MDPI, Basel, Switzerland. This article is an open access article distributed under the terms and conditions of the Creative Commons Attribution (CC BY) license (https://creativecommons.org/licenses/by/4.0/).
Share and Cite
Strickland-Hughes, C.M.; West, R.L. Brief Strategy Training in Aging: Near Transfer Effects and Mediation of Gains by Improved Self-Regulation. Brain Sci. 2022, 12, 465. https://doi.org/10.3390/brainsci12040465
Strickland-Hughes CM, West RL. Brief Strategy Training in Aging: Near Transfer Effects and Mediation of Gains by Improved Self-Regulation. Brain Sciences. 2022; 12(4):465. https://doi.org/10.3390/brainsci12040465
Chicago/Turabian StyleStrickland-Hughes, Carla M., and Robin L. West. 2022. "Brief Strategy Training in Aging: Near Transfer Effects and Mediation of Gains by Improved Self-Regulation" Brain Sciences 12, no. 4: 465. https://doi.org/10.3390/brainsci12040465
APA StyleStrickland-Hughes, C. M., & West, R. L. (2022). Brief Strategy Training in Aging: Near Transfer Effects and Mediation of Gains by Improved Self-Regulation. Brain Sciences, 12(4), 465. https://doi.org/10.3390/brainsci12040465
 
         
                                                


 
       