Articulatory Performance in Dysarthria: Using a Data-Driven Approach to Estimate Articulatory Demands and Deficits
Abstract
1. Introduction
1.1. Understanding and Leveraging Articulatory Demands of Stimuli in Dysarthria Assessments
1.2. Range of Motion as an Important Articulatory Feature to Define Motor Performance Demand
1.3. ROM Performance and Disease-Specific Deficits in Talkers with ALS and PD
1.4. Research Purpose and Hypotheses
- (1)
- Both clinical groups were expected to increase ROM as a function of articulator-specific ROM demand; however, these within-group increases in ROM were expected to be smaller in magnitude than those of controls.
- (2)
- Overall, both clinical groups were expected to exhibit deviant ROM performance when compared to controls with magnitudes of between-group differences varying across different ROM demands.
- (3)
- Movement durations were expected to differentiate talkers with ALS and PD better than ROM and speed, regardless of the articulator.
2. Materials and Methods
2.1. Participants
2.2. Experimental Stimuli
2.3. Experimental Task
2.4. Data Acquisition and Analysis
3. Results
3.1. Articulatory-Specific ROM Demands Tiers Based on Performance of Controls
3.2. Articulatory Performance of Talkers with ALS and PD across Articulator-Specific ROM Demand Tiers
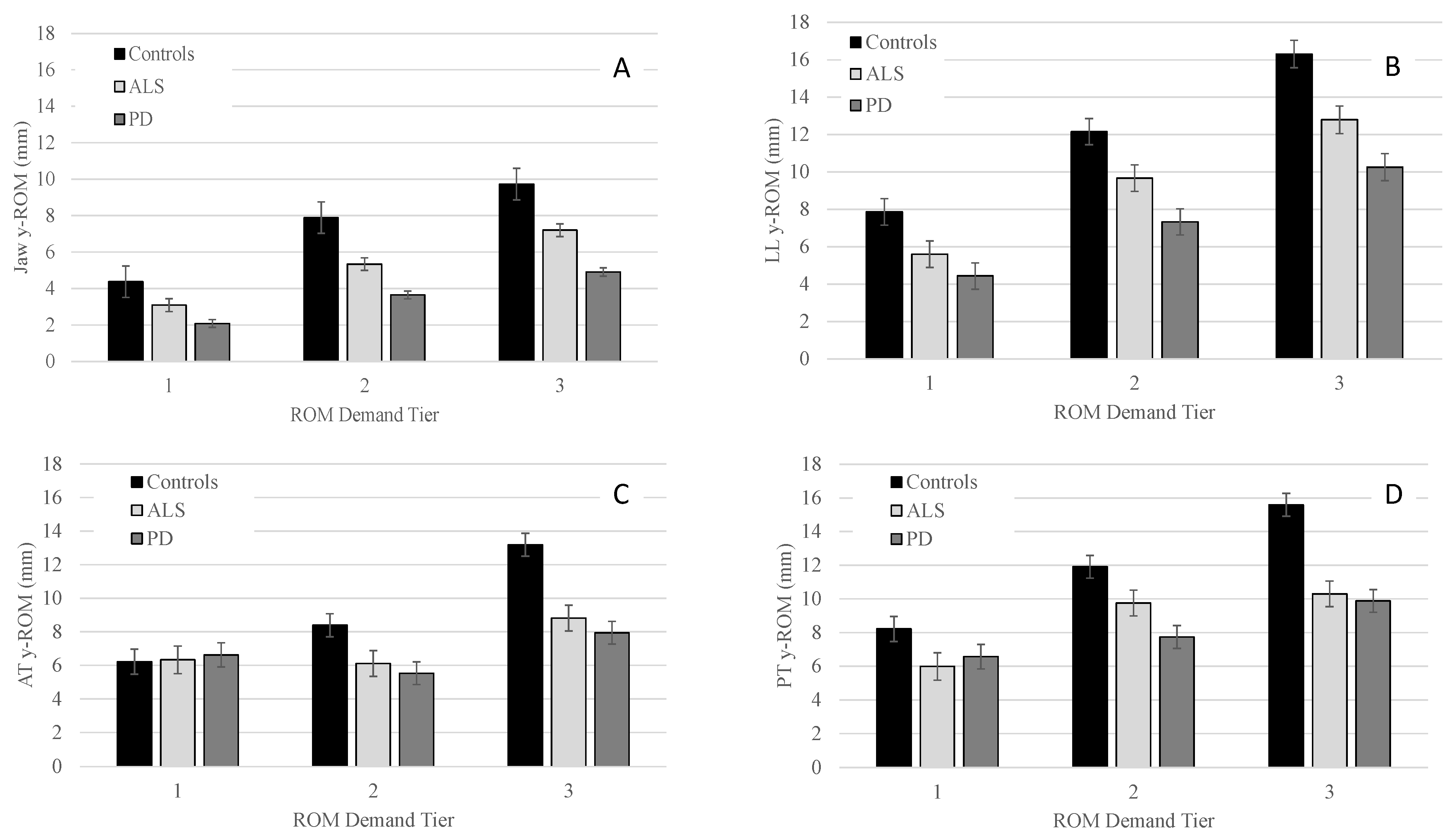
3.2.1. ROM
3.2.2. Average Speed
3.2.3. Movement Duration
4. Discussion
4.1. Hypothesis 1: Performance Changes across ROM Demand Tiers
4.2. Hypothesis 2: Comparing ROM Performance across Groups
4.2.1. Jaw Findings
4.2.2. Lower Lip Findings
4.2.3. Tongue Findings
4.2.4. Considering Findings across All Articulators
4.3. Hypothesis 3: Disease-Specific Performance Profiles
4.4. Clinical Implications for the Assessment of Articulatory Performance
4.5. Limitations and Future Directions
5. Conclusions
Author Contributions
Funding
Institutional Review Board Statement
Informed Consent Statement
Data Availability Statement
Acknowledgments
Conflicts of Interest
References
- Lee, J.; Littlejohn, M.A.; Simmons, Z. Acoustic and tongue kinematic vowel space in speakers with and without dysarthria. Int. J. Speech-Lang. Pathol. 2017, 19, 195–204. [Google Scholar] [CrossRef] [PubMed]
- Rong, P.; Green, J.R. Predicting Speech Intelligibility Based on Spatial Tongue-Jaw Coupling in Persons with Amyotrophic Lateral Sclerosis: The Impact of Tongue Weakness and Jaw Adaptation. J. Speech Lang. Hear. Res. 2019, 62, 3085–3103. [Google Scholar] [CrossRef] [PubMed]
- Tjaden, K.; Kain, A.; Lam, J. Hybridizing conversational and clear speech to investigate the source of increased intelligibility in speakers with Parkinson’s disease. J. Speech Lang. Hear. Res. 2014, 57, 1191–1205. [Google Scholar] [CrossRef] [PubMed]
- Van Riper, C. Speech Correction, 4th ed.; Prentice Hall: Englewood Cliffs, NJ, USA, 1963. [Google Scholar]
- Forrest, K.; Weismer, G.; Turner, G.S. Kinematic, acoustic, and perceptual analyses of connected speech produced by parkinsonian and normal geriatric adults. J. Acoust. Soc. Am. 1989, 85, 2608–2622. [Google Scholar] [CrossRef] [PubMed]
- Kent, R.D.; Weismer, G.; Kent, J.F.; Rosenbek, J.C. Toward phonetic intelligibility testing in dysarthria. J. Speech Hear. Disord. 1989, 54, 482–499. [Google Scholar] [CrossRef] [PubMed]
- Kent, R.D.; Kim, Y.; Chen, L.M. Oral and Laryngeal Diadochokinesis Across the Life Span: A Scoping Review of Methods, Reference Data, and Clinical Applications. J. Speech Lang. Hear. Res. 2022, 65, 574–623. [Google Scholar] [CrossRef] [PubMed]
- Stipancic, K.L.; Yunusova, Y.; Campbell, T.F.; Wang, J.; Berry, J.D.; Green, J.R. Two distinct clinical phenotypes of bulbar motor impairment in amyotrophic lateral sclerosis. Front. Neurol. 2021, 12, 715. [Google Scholar] [CrossRef] [PubMed]
- Staiger, A.; Schölderle, T.; Brendel, B.; Bötzel, K.; Ziegler, W. Oral motor abilities are task dependent: A factor analytic approach to performance rate. J. Mot. Behav. 2017, 49, 482–493. [Google Scholar] [CrossRef] [PubMed]
- Kent, R.D. The biology of phonological development. In Phonological Development: Models, Research, Implications; Ferguson, C.A., Menn, L., Stoel-Gammon, C., Eds.; York Press: Baltimore, MD, USA, 1992; pp. 65–90. [Google Scholar]
- Kuruvilla-Dugdale, M.; Salazar, M.; Zhang, A.; Mefferd, A.S. Detection of Articulatory Deficits in Parkinson’s Disease: Can Systematic Manipulations of Phonetic Complexity Help? J. Speech Lang. Hear. Res. 2020, 63, 2084–2098. [Google Scholar] [CrossRef]
- Lindblom, B. Explaining phonetic variation: A sketch of the H&H theory. In Speech Production and Speech Modelling; Springer: Dordrecht, The Netherlands, 1990; pp. 403–439. [Google Scholar]
- Sussman, H.M.; Duder, C.; Dalston, E.; Cacciatore, A. An acoustic analysis of the development of CV coarticulation: A case study. J. Speech Lang. Hear. Res. 1999, 42, 1080–1096. [Google Scholar] [CrossRef]
- Lehner, K.; Ziegler, W. The impact of lexical and articulatory factors in the automatic selection of test materials for a web-based assessment of intelligibility in dysarthria. J. Speech Lang. Hear. Res. 2021, 64, 2196–2212. [Google Scholar] [CrossRef] [PubMed]
- Ziegler, W.; Lehner, K.; Pfab, J.; Aichert, I. The nonlinear gestural model of speech apraxia: Clinical implications and applications. Aphasiology 2021, 35, 462–484. [Google Scholar] [CrossRef]
- Lee, J.; Shaiman, S.; Weismer, G. Relationship between tongue positions and formant frequencies in female speakers. J. Acoust. Soc. Am. 2016, 139, 426–440. [Google Scholar] [CrossRef] [PubMed]
- Mefferd, A.S.; Green, J. Articulatory-to-acoustic relations in response to speaking rate and loudness manipulations. J. Speech Lang. Hear. Res. 2010, 53, 1206–1219. [Google Scholar] [CrossRef]
- Whitfield, J.; Dromey, C.; Palmer, P. Examining acoustic and kinematic measures of articulatory working space: Effects of speech intensity. J. Speech Lang. Hear. Res. 2018, 61, 1104–1117. [Google Scholar] [CrossRef] [PubMed]
- Turner, G.S.; Tjaden, K.; Weismer, G. The influence of speaking rate on vowel space and speech intelligibility for individuals with amyotrophic lateral sclerosis. J. Speech Lang. Hear. Res. 1995, 38, 1001–1013. [Google Scholar] [CrossRef]
- Munhall, K.G.; Ostry, D.J.; Parush, A. Characteristics of velocity profiles of speech movements. J. Exp. Psychol. Hum. Percept. Perform. 1985, 11, 457. [Google Scholar] [CrossRef] [PubMed]
- Kent, R.D.; Moll, K.L. Cinefluorographic analyses of selected lingual consonants. J. Speech Hear. Res. 1972, 15, 453–473. [Google Scholar] [CrossRef] [PubMed]
- Westbury, J.R.; Dembowski, J. Articulatory kinematics of normal diadochokinetic performance. Annu. Bull. Res. Inst. Logop. Phoniatr. 1993, 27, 13–36. [Google Scholar]
- Duffy, J.R. Motor Speech Disorders: Substrates, Differential Diagnosis, and Management; Elsevier Health Sciences: St. Louis, MO, USA, 2020. [Google Scholar]
- Walsh, B.; Smith, A. Basic parameters of articulatory movements and acoustics in individuals with Parkinson’s disease. Mov. Disord. 2012, 27, 843–850. [Google Scholar] [CrossRef] [PubMed]
- Mefferd, A.S.; Green, J.R.; Pattee, G. A novel fixed-target task to determine articulatory speed constraints in persons with amyotrophic lateral sclerosis. J. Commun. Disord. 2012, 45, 35–45. [Google Scholar] [CrossRef] [PubMed]
- Mefferd, A.S.; Dietrich, M.S. Tongue-and jaw-specific articulatory underpinnings of reduced and enhanced acoustic vowel contrast in talkers with Parkinson’s disease. J. Speech Lang. Hear. Res. 2019, 62, 2118–2132. [Google Scholar] [CrossRef] [PubMed]
- Yunusova, Y.; Weismer, G.; Westbury, J.R.; Lindstrom, M.J. Articulatory movements during vowels in speakers with dysarthria and healthy controls. J. Speech Lang. Hear. Res. 2008, 51, 596–611. [Google Scholar] [CrossRef]
- DePaul, R.; Brooks, B.R. Multiple orofacial indices in amyotrophic lateral sclerosis. J. Speech Lang. Hear. Res. 1993, 36, 1158–1167. [Google Scholar] [CrossRef] [PubMed]
- Langmore, S.; Lehman, M.E. Physiologic deficits in the orofacial system underlying dysarthria in amyotrophic lateral sclerosis. J. Speech Lang. Hear. Res. 1994, 37, 28–37. [Google Scholar] [CrossRef] [PubMed]
- Lee, J.; Rodriguez, E.; Mefferd, A. Direction-Specific Jaw Dysfunction and Its Impact on Tongue Movement in Individuals with Dysarthria Secondary to Amyotrophic Lateral Sclerosis. J. Speech Lang. Hear. Res. 2020, 63, 499–508. [Google Scholar] [CrossRef] [PubMed]
- Shellikeri, S.; Green, J.R.; Kulkarni, M.; Rong, P.; Martino, R.; Zinman, L.; Yunusova, Y. Speech Movement Measures as Markers of Bulbar Disease in Amyotrophic Lateral Sclerosis. J. Speech Lang. Hear. Res. 2016, 59, 887–899. [Google Scholar] [CrossRef]
- Nasreddine, Z.S.; Phillips, N.A.; Bédirian, V.; Charbonneau, S.; Whitehead, V.; Collin, I.; Cummings, J.L.; Chertkow, H. The Montreal Cognitive Assessment, MoCA: A Brief Screening Tool For Mild Cognitive Impairment. J. Am. Geriatr. Soc. 2005, 53, 695–699. [Google Scholar] [CrossRef] [PubMed]
- Folstein, M.F.; Folstein, S.E.; McHugh, P.R. “Mini-mental state”, A practical method for grading the cognitive state of patients for the clinician. J. Psychiatr. Res. 1975, 12, 189–198. [Google Scholar] [CrossRef]
- Yorkston, K.; Beukelman, D.R.; Hakel, M.; Dorsey, M. Sentence Intelligibility Test for Windows; Institute for Rehabilitation Science and Engineering at Madonna Rehabilitation Hospital: Lincoln, NE, USA, 2007. [Google Scholar]
- Marian, V.; Blumenfeld, H.K. Phonological Neighborhood Density Guides: Lexical Access in Native and Non-Native Language Production. J. Soc. Ecol. Bound. 2006, 2, 3–35. [Google Scholar]
- Vitevitch, M.S.; Luce, P.A. A web-based interface to calculate phonotactic probability for words and nonwords in English. Behav. Res. Methods Instrum. Comput. 2004, 36, 481–487. [Google Scholar] [CrossRef] [PubMed]
- Brysbaert, M.; New, B. Moving beyond Kučera and Francis: A critical evaluation of current word frequency norms and the introduction of a new and improved word frequency measure for American English. Behav. Res. Methods 2009, 41, 977–990. [Google Scholar] [CrossRef] [PubMed]
- Savariaux, C.; Badin, P.; Samson, A.; Gerber, S. A comparative study of the precision of Carstens and Northern Digital Instruments electromagnetic articulographs. J. Speech Lang. Hear. Res. 2017, 60, 322–340. [Google Scholar] [CrossRef] [PubMed]
- Mefferd, A.S. Tongue-and jaw-specific contributions to acoustic vowel contrast changes in the diphthong/ai/in response to slow, loud, and clear speech. J. Speech Lang. Hear. Res. 2017, 60, 3144–3158. [Google Scholar] [CrossRef] [PubMed]
- Green, J.R.; Wang, J.; Wilson, D.L. SMASH: A tool for articulatory data processing and analysis. Interspeech 2013, 1331–1335. [Google Scholar]
- Mefferd, A.S.; Dietrich, M.S. Tongue-and jaw-specific articulatory changes and their acoustic consequences in talkers with dysarthria due to amyotrophic lateral sclerosis: Effects of loud, clear, and slow speech. J. Speech Lang. Hear. Res. 2020, 63, 2625–2636. [Google Scholar] [CrossRef] [PubMed]
- Kearney, E.; Giles, R.; Haworth, B.; Faloutsos, P.; Baljko, M.; Yunusova, Y. Sentence-level movements in Parkinson’s disease: Loud, clear, and slow speech. J. Speech Lang. Hear. Res. 2017, 60, 3426–3440. [Google Scholar] [CrossRef] [PubMed]
- Folkins, J.W.; Canty, J.L. Movements of the upper and lower lips during speech: Interactions between lips with the jaw fixed at different positions. J. Speech Hear Res. 1986, 29, 348–356. [Google Scholar] [CrossRef]
- Rowe, H.P.; Gutz, S.E.; Maffei, M.F.; Green, J.R. Acoustic-Based Articulatory Phenotypes of Amyotrophic Lateral Sclerosis and Parkinson’s Disease: Towards an Interpretable, Hypothesis-Driven Framework of Motor Control. Interspeech 2020, 4816–4820. [Google Scholar]
- Slis, A.; Lévêque, N.; Fougeron, C.; Pernon, M.; Assal, F.; Lancia, L. Analysing spectral changes over time to identify articulatory impairments in dysarthria. J. Acoust. Soc. Am. 2021, 149, 758–769. [Google Scholar] [CrossRef] [PubMed]
- Lee, J.; Bell, M. Articulatory range of movement in individuals with dysarthria secondary to amyotrophic lateral sclerosis. Am. J. Speech-Lang. Pathol. 2018, 27, 996–1009. [Google Scholar] [CrossRef] [PubMed]
- Antolík, T.; Fougeron, C. Consonant distortions in dysarthria due to Parkinson’s disease, Amyotrophic Lateral Sclerosis and Cerebellar Ataxia. Interspeech 2013, 2152–2156. [Google Scholar]



| S. ID | Age/Sex | MoCA Scores (Out of 30) | Speech Intelligibility (%) | Speaking Rate (Words per Minute) |
|---|---|---|---|---|
| ALS1 | 67.5/M | 19 | 99.00 | 164.90 |
| ALS2 | 56.1/M | 28 | 100.00 | 231.25 |
| ALS3 | 80.2/M | 26 | 99.39 | 145.17 |
| ALS4 | 71.4/M | 26 | 99.09 | 149.36 |
| ALS5 | 47.4/M | 26 | 53.61 | 55.10 |
| ALS6 | 75.0/M | 19 | 56.13 | 103.73 |
| ALS7 | 66.4/M | 23 | 98.79 | 188.34 |
| ALS8 | 58.11/F | 29 | 90.91 | 115.62 |
| ALS9 | 69.10/F | 27 | 93.67 | 106.69 |
| ALS10 | 74.11/F | 22 | 49.13 | 58.70 |
| ALS11 | 72.1/F | 22 | 92.56 | 128.23 |
| ALS12 | 54.4/F | 26 | 99.85 | 152.68 |
| PD1 | 71.9/M | 28 | 93.09 | 180.14 |
| PD2 | 88.8/M | 27 | 94.72 | 165.91 |
| PD3 | 71.1/M | 24 | 99.09 | 173.16 |
| PD4 | 77.0/M | 25 | 98.54 | 186.51 |
| PD5 | 69.7/M | 25 | 99.82 | 178.67 |
| PD6 | 78.1/M | 20 | 97.44 | 145.62 |
| PD7 | 70.5/F | 27 | 99.64 | 166.14 |
| PD8 | 75.5/F | 19 | 93.27 | 191.95 |
| PD9 | 65.8/F | 26 | 99.45 | 167.76 |
| PD10 | 60.8/F | 24 | 97.27 | 213.36 |
| PD11 | 68.8/F | 27 | 99.82 | 184.11 |
| PD12 | 60.11/F | 25 | 99.55 | 188.52 |
| Variable | Tier | Word | Mean | SE |
|---|---|---|---|---|
| Jaw y-ROM (mm) | 1 | Festivities | 4.26 | 0.86 |
| Princess | 4.34 | 0.87 | ||
| 2 | Violinist | 7.18 | 0.87 | |
| Velocity | 7.97 | 0.85 | ||
| 3 | Metropolis | 9.18 | 0.89 | |
| Popsicle | 10.26 | 0.89 | ||
| LL y-ROM (mm) | 1 | Princess | 8.02 | 0.61 |
| 2 | Festivities | 11.69 | 0.67 | |
| Preposterous | 12.67 | 0.64 | ||
| 3 | Velocity | 16.25 | 0.67 | |
| AT y-ROM (mm) | 1 | Princess | 6.44 | 0.86 |
| 2 | Festivities | 8.33 | 0.80 | |
| 3 | Velocity | 12.69 | 0.82 | |
| Metropolis | 13.38 | 0.83 | ||
| Violinist | 13.56 | 0.83 | ||
| PT y-ROM (mm) | 1 | Festivities | 8.40 | 0.67 |
| Princess | 9.60 | 0.70 | ||
| 2 | Metropolis | 11.60 | 0.65 | |
| Preposterous | 12.80 | 0.65 | ||
| 3 | Velocity | 15.80 | 0.64 |
| Variable | Effect | Jaw | Lower Lip | Anterior Tongue | Posterior Tongue |
|---|---|---|---|---|---|
| Fdf; p Value | |||||
| y-ROM | Tier | F(2, 475.5) = 1455.6, <0.001 | F(2, 308.8) = 966.3, <0.001 | F(2, 324.7) = 594.4, <0.001 | F(2, 386.8) = 595.8, <0.001 |
| Group | F(2, 29.3) = 15.6, <0.001 | F(2, 32.2) = 11.8, <0.001 | F(2, 31.8) = 4.1, 0.027 | F(2, 31.7) = 9.5, <0.001 | |
| Tier × Group | F(4, 466.2) = 59.4, <0.001 | F(4, 306.1) = 12.8, <0.001 | F(4, 320.6) = 57.6, <0.001 | F(4, 387.1) = 52.32, <0.001 | |
| Average Speed | Tier | F(2, 576.9) = 788.0, <0.001 | F(2, 362.8) = 416.7, <0.001 | F(2, 39.9) = 516.6, <0.001 | F(2, 377.4) = 587.2, <0.001 |
| Group | F(2, 30.5) = 9.9, <0.001 | F(2, 32.8) = 12.3, <0.001 | F(2, 31.4) = 5.0, 0.013 | F(2, 32.0) = 10.5, <0.001 | |
| Tier × Group | F(4, 568.5) = 49.0, <0.001 | F(4, 361.2) = 18.3, <0.001 | F(4, 41.9) = 48.9, <0.001 | F(2, 372.2) = 54.8, <0.001 | |
| Duration | Tier | F(2, 571.6) = 442.3, <0.001 | F(2, 332.4) = 1185.8, <0.001 | F(2, 367.4) = 995.3, <0.001 | F(2, 303.2) = 670.4, <0.001 |
| Group | F(2, 30.5) = 8.7, <0.001 | F(2, 32.4) = 7.9, <0.001 | F(2, 30.2) = 8.0, =0.002 | F(2, 31.4) = 7.3, =0.003 | |
| Tier × Group | F(4, 565.2) = 12.2, <0.001 | F(4, 330.5) = 13.03, <0.001 | F(4, 363.1) = 20.1, <0.001 | F(4, 301.5) = 10.8, <0.001 | |
| Measure | Articulator | Tier 1 | Tier 2 | Tier 3 | |||||||||||||||
|---|---|---|---|---|---|---|---|---|---|---|---|---|---|---|---|---|---|---|---|
| Controls-PD | Controls-ALS | ALS-PD | Controls-PD | Controls-ALS | ALS-PD | Controls-PD | Controls-ALS | ALS-PD | |||||||||||
| M Diff (SE) | p | M Diff (SE) | p | M Diff (SE) | p | M Diff (SE) | p | M Diff (SE) | p | M Diff (SE) | p | M Diff (SE) | p | M Diff (SE) | p | M Diff (SE) | p | ||
| y-ROM (mm) | J | 1.8 (0.5) | 0.001 | n.s. | n.s. | 3.8 (0.8) | <0.001 | 2.1 (0.8) | 0.037 | n.s. | 4.9 (1.1) | <0.001 | n.s. | n.s. | |||||
| LL | 3.2 (0.8) | <0.001 | n.s. | n.s. | 4.0 (1.2) | 0.004 | n.s. | n.s. | 6.4 (1.6) | <0.001 | 4.4 (1.6) | 0.029 | n.s. | ||||||
| AT | n.s. | n.s. | n.s. | 2.9 (1.0) | 0.017 | n.s. | n.s. | 5.3 (1.1) | <0.001 | 4.4 (1.2) | 0.003 | n.s. | |||||||
| PT | n.s. | n.s. | n.s. | 4.1 (1.2) | 0.004 | n.s. | n.s. | 6.4 (1.3) | <0.001 | 5.8 (1.3) | <0.001 | n.s. | |||||||
| Average Speed (mm/s) | J | 5.2 (1.8) | 0.018 | 4.7 (1.8) | 0.037 | n.s. | 6.3 (2.1) | 0.014 | 6.5 (2.1) | 0.011 | n.s. | 12.5 (3.2) | 0.001 | 12.7 (3.2) | 0.001 | n.s. | |||
| LL | 11.6 (3.2) | 0.003 | 9 (3.3) | 0.027 | n.s. | 17.1 (3.9) | <0.001 | 16.1 (3.9) | <0.001 | n.s. | 16.8 (4.2) | 0.001 | 16.4 (4.2) | 0.001 | n.s. | ||||
| AT | n.s. | n.s. | n.s. | n.s. | n.s. | n.s. | 17.7 (4.5) | 0.001 | 19.7 (4.9) | 0.001 | n.s. | ||||||||
| PT | n.s. | 7.3 (2.7) | 0.034 | n.s. | 13.1 (3.7) | 0.004 | 12.2 (3.8) | 0.009 | n.s. | 16.4 (3.4) | <0.001 | 18.8 (3.5) | <0.001 | n.s. | |||||
| Duration (s) | J | n.s. | −0.3 (0.1) | 0.002 | −0.3 (0.1) | 0.003 | n.s. | −0.4 (0.1) | 0.002 | −0.3 (0.1) | 0.031 | n.s. | −0.4 (0.1) | 0.001 | −0.3 (0.1) | 0.007 | |||
| LL | n.s. | −0.3 (0.1) | 0.004 | −0.3 (0.1) | 0.003 | n.s. | −0.4 (0.1) | 0.003 | −0.4 (0.1) | 0.014 | n.s. | −0.4 (0.1) | 0.002 | −0.3 (0.1) | 0.011 | ||||
| AT | n.s. | −0.2 (0.1) | 0.007 | −0.2 (0.1) | 0.007 | n.s. | −0.4 (0.1) | 0.005 | n.s. | n.s. | −0.4 (0.1) | 0.002 | −0.3 (0.1) | 0.013 | |||||
| PT | n.s. | −0.3 (0.1) | 0.008 | −0.3 (0.1) | 0.008 | n.s. | −0.4 (0.1) | 0.003 | −0.4 (0.1) | 0.012 | n.s. | −0.4 (0.1) | 0.004 | −0.3 (0.1) | 0.02 | ||||
| Group | Controls | ALS | PD | ||||||||||
|---|---|---|---|---|---|---|---|---|---|---|---|---|---|
| Within-Group | Tier 1 vs. Tier 2 | Tier 2 vs. Tier 3 | Tier 1 vs. Tier 2 | Tier 2 vs. Tier 3 | Tier 1 vs. Tier 2 | Tier 2 vs. Tier 3 | |||||||
| M Diff (SE) | p | M Diff (SE) | p | M Diff (SE) | p | M Diff (SE) | p | M Diff (SE) | p | M Diff (SE) | p | ||
| y-ROM (mm) | J | −3.5 (0.14) | <0.001 | −1.8 (0.13) | <0.001 | −2.3 (0.13) | <0.001 | −1.8 (0.11) | <0.001 | −1.6 (0.07) | <0.001 | −1.3 (0.1) | <0.001 |
| LL | −4.3 (0.22) | <0.001 | −3.9 (0.35) | <0.001 | −3.7 (0.25) | <0.001 | −3.5 (0.22) | <0.001 | −2.9 (0.17) | <0.001 | −2.8 (0.21) | <0.001 | |
| AT | −1.9 (0.34) | <0.001 | −4.9 (0.16) | <0.001 | n.s. | −2.7 (0.23) | <0.001 | 1.0 (0.2) | <0.001 | −2.3 (0.12) | <0.001 | ||
| PT | −3.7 (0.23) | <0.001 | −4 (0.25) | <0.001 | −3.7 (0.26) | <0.001 | −0.8 (0.28) | 0.028 | −1.2 (0.15) | <0.001 | −1.9 (0.25) | <0.001 | |
| Average Speed (mm/s) | J | −5.4 (0.34) | <0.001 | −7.6 (0.42) | <0.001 | −3.3 (0.31) | <0.001 | −3.1 (0.24) | <0.001 | −4.4 (0.25) | <0.001 | −2.1 (0.3) | <0.001 |
| LL | −14.4 (0.7) | <0.001 | n.s. | −7.5 (0.6) | <0.001 | n.s. | −8.5 (0.5) | <0.001 | n.s. | ||||
| AT | −5.0 (0.9) | <0.001 | −14.5 (0.7) | <0.001 | n.s. | −7.1 (0.6) | <0.001 | 3.3 (0.7) | <0.001 | −8.1 (0.4) | <0.001 | ||
| PT | −11.8 (0.47) | <0.001 | −3.0 (0.63) | <0.001 | −9.0 (0.57) | <0.001 | 3.2 (0.69) | <0.001 | −3.9 (0.41) | <0.001 | −1.5 (0.61) | 0.04 | |
| Duration (s) | J | −0.2 (0.01) | <0.001 | 0.1 (0.01) | 0.004 | 1.1 (0.01) | <0.001 | 0.1 (0.01) | 0.002 | −0.2 (0.01) | <0.001 | 0.1 (0.01) | <0.001 |
| LL | −0.3 (0.1) | <0.001 | 0.1 (0.1) | <0.001 | −0.4 (0.1) | <0.001 | 0.1 (0.1) | <0.001 | −0.4 (0.1) | <0.001 | 0.1 (0.1) | <0.001 | |
| AT | −0.2 (0.1) | <0.001 | 0.1 (0.1) | <0.001 | −0.4 (0.1) | <0.001 | 0.1 (0.1) | <0.001 | −0.4 (0.1) | <0.001 | 0.1 (0.1) | <0.001 | |
| PT | −0.2 (0.1) | <0.001 | 0.1 (0.1) | <0.001 | −0.3 (0.1) | <0.001 | 0.7 (0.1) | <0.001 | −0.3 (0.1) | <0.001 | 0.1 (0.1) | <0.001 | |
Publisher’s Note: MDPI stays neutral with regard to jurisdictional claims in published maps and institutional affiliations. |
© 2022 by the authors. Licensee MDPI, Basel, Switzerland. This article is an open access article distributed under the terms and conditions of the Creative Commons Attribution (CC BY) license (https://creativecommons.org/licenses/by/4.0/).
Share and Cite
Kuruvilla-Dugdale, M.; Mefferd, A.S. Articulatory Performance in Dysarthria: Using a Data-Driven Approach to Estimate Articulatory Demands and Deficits. Brain Sci. 2022, 12, 1409. https://doi.org/10.3390/brainsci12101409
Kuruvilla-Dugdale M, Mefferd AS. Articulatory Performance in Dysarthria: Using a Data-Driven Approach to Estimate Articulatory Demands and Deficits. Brain Sciences. 2022; 12(10):1409. https://doi.org/10.3390/brainsci12101409
Chicago/Turabian StyleKuruvilla-Dugdale, Mili, and Antje S. Mefferd. 2022. "Articulatory Performance in Dysarthria: Using a Data-Driven Approach to Estimate Articulatory Demands and Deficits" Brain Sciences 12, no. 10: 1409. https://doi.org/10.3390/brainsci12101409
APA StyleKuruvilla-Dugdale, M., & Mefferd, A. S. (2022). Articulatory Performance in Dysarthria: Using a Data-Driven Approach to Estimate Articulatory Demands and Deficits. Brain Sciences, 12(10), 1409. https://doi.org/10.3390/brainsci12101409

