Post-Acute COVID-19 Symptoms, a Potential Link with Myalgic Encephalomyelitis/Chronic Fatigue Syndrome: A 6-Month Survey in a Mexican Cohort
Abstract
1. Introduction
2. Materials and Methods
2.1. Study Cohort
2.2. Data Collection
2.3. Statistical Analysis
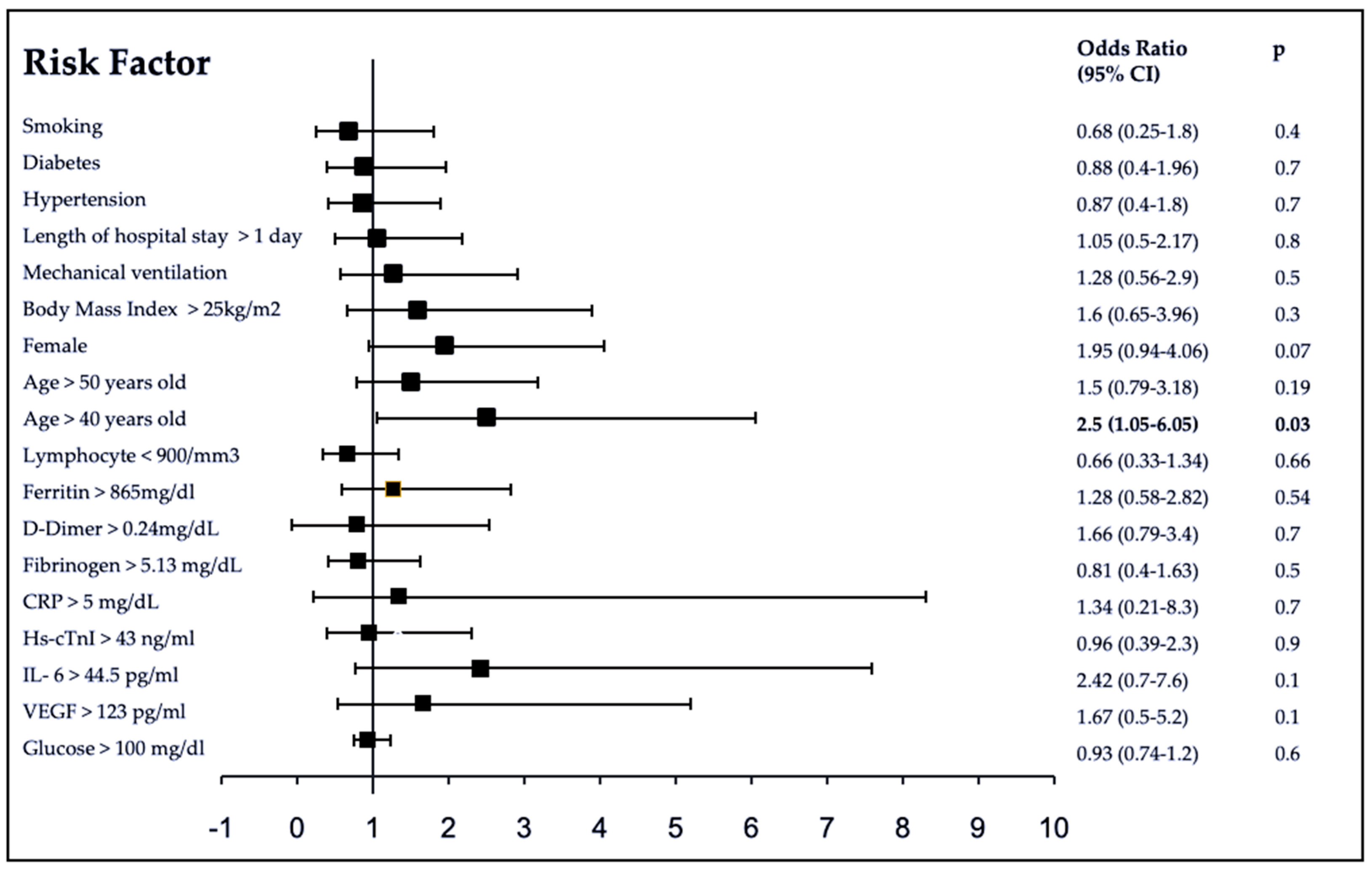
3. Results
3.1. Study Population
3.2. Demographics and Clinical Characteristics
4. Discussion
Limitations
5. Conclusions
Author Contributions
Funding
Institutional Review Board Statement
Informed Consent Statement
Data Availability Statement
Acknowledgments
Conflicts of Interest
References
- Carfi, A.; Bernabei, R.; Landi, F. Gemelli against COVID-19 post-acute care study Group. Persistent symptoms in patients alter acute COVID-19. JAMA 2020, 24, 603–605. [Google Scholar] [CrossRef] [PubMed]
- Xiong, Q.; Xu, M.; Li, J.; Liu, Y.; Zhang, J.; Xu, Y.; Dong, W. Clinical sequelae of COVID-19 survivors in Wuhan, China: A single-centre longitudinal study. Clin. Microbiol. Infect. 2021, 27, 89–95. [Google Scholar] [CrossRef] [PubMed]
- Tenforde, T.W.; Kim, S.S.; Lindsell, C.J.; Rose, E.B.; Shapiro, N.I.; Files, D.C.; Gibbs, K.W.; Erickson, H.L.; Steingrub, J.S.; Smithline, H.A.; et al. Symptom duration and risk factors for delayed return to usual health among outpatients with COVID-19 in a multi state health care systems network-United States. March–June 2020. Morb. Mortal. Wkly. Rep. 2020, 69, 993–998. [Google Scholar] [CrossRef] [PubMed]
- Halpin, S.J.; McIvor, C.; Whyatt, G.; Adams, A.; Harvey, O.; McLean, L.; Walshaw, C.; Kemp, S.; Corrado, J.; Singh, R.; et al. Postdischarge symptoms and rehabilitation needs in survivors of COVID-19 infection: A cross-sectional evaluation. J. Med. Virol. 2021, 93, 1013–1022. [Google Scholar] [CrossRef] [PubMed]
- Carvalho-Schneider, C.; Laurent, E.; Lemaignen, A.; Beaufils, E.; Bourbao-Tournois, C.; Laribi, S.; Flament, T.; Ferreira-Maldent, N.; Bruyère, F.; Stefic, K.; et al. Follow-up of adults with noncritical COVID-19 two months after symptom onset. Clin. Microbiol. Infect. 2021, 27, 258–263. [Google Scholar] [CrossRef] [PubMed]
- Huang, C.; Huang, L.; Wang, Y.; Li, X.; Ren, L.; Gu, X.; Kang, L.; Guo, L.; Liu, M.; Zhou, X.; et al. 6-month consequences of COVID-19 in patients discharged from hospital: A cohort study. Lancet 2021, 397, 220–232. [Google Scholar] [CrossRef]
- Ahmed, H.; Patel, K.; Greenwood, D.C.; Halpin, S.; Lewthwaite, P.; Salawu, A.; Eyre, L.; Breen, A.; O’connor, R.; Jones, A.; et al. Long term clinical outcomes in survivors of severe acute respiratory syndrome (SARS) and middle east respiratory syndrome (MERS) coronavirus out breaks alter hospitalization or ICU admission: A systematic review and meta-analysis. J. Rehabil. Med. 2020, 52, 1–11. [Google Scholar] [CrossRef]
- Goërtz, Y.M.J.; Van Herck, M.V.; Delbressine, J.M.; Vaes, A.W.; Meys, R.; Machado, F.V.C.; Houben-Wilke, S.; Burtin, C.; Posthuma, R.; Franssen, F.M.E.; et al. Persistent symptoms 3 months alter a SARS-CoV-2 infection: The post-COVID-19 syndrome? ERJ Open Res. 2020. [Google Scholar] [CrossRef]
- Townsend, L.; Dyer, A.H.; Jones, K.; Dunne, J.; Mooney, A.; Gaffney, F.; O’Connor, L.; Leavy, D.; O’Brien, K.; Dowds, J.; et al. Persistent fatigue following SARS-CoV-2 infection is common and independent of severity of initial infection. PLoS ONE 2020, 15, e0240784. [Google Scholar] [CrossRef]
- Lopez-Leon, S.; Wegman-Ostrosky, T.; Perelman, C.; Sepulveda, R.; Rebolledo, P.A.; Cuapio, A.; Villapol, S. More than 50 Long-term effects of COVID-19: A systematic review and meta-analysis. medRxiv 2021. preprint. [Google Scholar] [CrossRef]
- Magnus, P.; Gunnes, N.; Tveito, K.; Bakken, I.J.; Ghaderi, S.; Stoltenberg, C.; Hornig, M.; Lipkin, W.I.; Trogstad, L.; Håberg, S.E. Chronic fatigue syndrome/myalgic encephalomyelitis (CFS/ME) is associated with pandemic influenza infection, but not with an adjuvanted pandemic influenza vaccine. Vaccine 2015, 33, 6173–6177. [Google Scholar] [CrossRef]
- Katz, B.Z.; Shiraishi, Y.; Mears, C.J.; Binns, H.J.; Taylor, R. Chronic Fatigue Syndrome after Infectious Mononucleosis in Adolescents. Pediatrics 2009, 124, 189–193. [Google Scholar] [CrossRef]
- Fukuda, K.; Straus, S.E.; Hickie, I.; Sharpe, M.C.; Dobbins, J.G.; Komaroff, A. The Chronic Fatigue Syndrome: A Comprehensive Approach to Its Definition and Study. Ann. Intern. Med. 1994, 121, 953–959. [Google Scholar] [CrossRef]
- Carruthers, B.M.; Jain, A.K.; De Meirleir, K.L.; Peterson, D.L.; Klimas, N.G.; Lemer, A.M.; Bested, A.C.; Flor-Henry, P.; Joshi, P.; Powles, A.C.P.; et al. Myalgic encephalomyelitis/chronic fatigue syndrome: Clinical working case definition, diagnostic and treatment protocols (Canadian case definition). J. Chronic Fatigue Syndr. 2003, 11, 7–115. [Google Scholar] [CrossRef]
- Carruthers, B.M.; van de Sande, M.I.; De Meirleir, K.L.; Klimas, N.G.; Broderick, G.; Mittche, T.; Stainess, D.; Powles, A.C.P.; Speight, N.; Vallings, R.; et al. Myalgic Encephalomyelitis: International Consensus Criteria. J. Intern. Med. 2011, 270, 327–338. [Google Scholar] [CrossRef]
- Institute of Medicine. Beyond Myalgic Encephalomyelitis/Chronic Fatigue Syndrome: Redefining an Illness; Report Guide for Clinicians; The National Academies: Washington, DC, USA, 2015. [Google Scholar]
- Brurberg, K.G.; Fønhus, M.S.; Larun, L.; Flottorp, S.; Malterud, K. Case definitions for chronic fatigue syndrome/myalgic encephalomyelitis (CFS/ME): A systematic review. BMJ Open 2014, 4, e003973. [Google Scholar] [CrossRef]
- Davis, H.E.; Assaf, G.S.; McCorkell, L.; Wei, H.; Low, R.J.; Re’em, Y.; Redfield, S.; Austin, J.P.; Akrami, A. Characterizing Long COVID in an International Cohort: 7 Months of Symptoms and Their Impact. medRxiv 2020, 20248802. [Google Scholar] [CrossRef]
- Słomko, J.; Newton, J.L.; Kujawski, S.; Tafil-Klawe, M.; Klawe, J.; Staines, D.; Marshall-Gradisnik, S.; Zalewski, P. Prevalence and characteristics of chronic fatigue syndrome/myalgic encephalomyelitis (CFS/ME) in Poland: A cross-sectional study. BMJ Open 2019, 9, e023955. [Google Scholar] [CrossRef]
- Komaroff, A.L.; Bateman, L. Will COVID-19 Lead to Myalgic Encephalomyelitis/Chronic Fatigue Syndrome? Front. Med. 2021, 7, 606824. [Google Scholar] [CrossRef]
- Perrin, R.; Riste, L.; Hann, M.; Walther, A.; Mukherjee, A.; Heald, A. Into the looking glass: Post-viral syndrome post COVID-19. Med. Hypotheses 2020, 144, 110055. [Google Scholar] [CrossRef]
- Casagrande, M.; Favieri, F.; Tambelli, R.; Forte, G. The enemy who sealed the world: Effects quarantine due to the COVID-19 on sleep quality, anxiety, and psychological distress in the Italian population. Sleep Med. 2020, 75, 12–20. [Google Scholar] [CrossRef]
- Cortés-Alvarez, N.Y.; Piñeiro-Lamas, R.; Vuelvas-Olmos, C. Psychological Effects and Associated Factors of COVID-19 in a Mexican Sample. DMAPHP 2020. [Google Scholar] [CrossRef]
- Nalbandian, A.; Sehgal, K.; Gupta, A.; Madhavan, M.; McGroder, C.; Stevens, J.; Cook, J.; Nordving, A.; Shalev, D.; Sehrawat, T. Post-acute COVID-19 syndrome. Nat. Med. 2021, 27, 601–615. [Google Scholar] [CrossRef]
- World Health Organization. Clinical Management of Severe Acute Respiratory Infection (SARI) When COVID-19 Disease Is Suspected: Interim Guidance, 13 March 2020. Licence CC BY-NC-SA 3.0 IGO. World Health Organization, 2020. Available online: https://apps.who.int/iris/handle/10665/331446 (accessed on 30 May 2021).
- Rivera, M.C.; Mastronardi, C.; Silva-Aldana, C.T.; Arcos-Burgos, M.; Lidbury, B.A. Myalgic Encephalomyelitis/Chronic Fatigue Syndrome: A Comprehensive Review. Diagnostics 2019, 9, 91. [Google Scholar] [CrossRef]
- Nasserie, T.; Hittle, M.; Goodman, S.N. Assessment of the Frequency and Variety of Persistent Symptoms among Patients with COVID-19. JAMA 2021, 4, e2111417. [Google Scholar] [CrossRef]
- Wang, X.; Xu, H.; Jiang, H.; Wang, L.; Lu, C.; Wei, X.; Liu, J.; Xu, S. Clinical features and outcomes of discharged coronavirus disease 2019 patients: A prospective cohort study. QJM 2020, 113, 657–665. [Google Scholar] [CrossRef]
- Hickie, I.; Davenport, T.; Wakefield, D.; Vollmer-Conna, U.; Cameron, B.; Vernon, S.D.; Reeves, W.C.; Lloyd, A. Post-infective and chronic fatigue syndromes precipitated by viral and non-viral pathogens: Prospective cohort study. BMJ 2006, 333, 575. [Google Scholar] [CrossRef]
- Poenaru, S.; Abdallah, S.; Corrales-Medina, V.; Cowan, J. COVID-19 and post-infectious myalgic encephalomyelitis/chronic fatigue syndrome: A narrative review. SAGE J. 2021. [Google Scholar] [CrossRef]
- Petracek, L.; Suskauer, S.; Vickers, R.; Patel, N.; Violand, R.; Swope, R.; Rowe, P. Adolescent and Young Adult ME/CFS after Confirmed or Probable COVID-19. Front. Med. 2021, 8, 668944. [Google Scholar] [CrossRef]
- Miwa, K. Variability of postural orthostatic tachycardia in patients with myalgic encephalomyelitis and orthostatic intolerance. Heart Vessel. 2016, 31, 1522–1528. [Google Scholar] [CrossRef]
- Novak, P. Post COVID-19 syndrome associated with orthostatic cerebral hypoperfusion syndrome, small fiber neuropathy and benefit of immunotherapy: A case report. eNeurologicalSci 2020, 21, 100276. [Google Scholar] [CrossRef] [PubMed]
- Dani, M.; Dirksen, A.; Taraborrelli, P.; Torocastro, M.; Panagopoulos, D.; Sutton, R.; Lim, P.B. Autonomic dysfunction in ‘long COVID’: Rationale, physiology and management strategies. Clin. Med. 2021, 21, e63–e67. [Google Scholar] [CrossRef]
- Goldstein, D.S. The possible association between COVID-19 and postural tachycardia syndrome. Heart Rhythm. 2021, 18, 508–509. [Google Scholar] [CrossRef] [PubMed]
- Vernino, S.; Stiles, L.E. Autoimmunity in postural orthostatic tachycardia syndrome: Current understanding. Auton. Neurosci. 2018, 215, 78–82. [Google Scholar] [CrossRef]
- Filler, K.; Lyon, D.; Bennett, J.; McCain, N.; Elswick, R.; Lukkahatai, N.; Saligan, L.N. Association of mitochondrial dysfunction and fatigue: A review of the literature. BBA Clin. 2014, 1, 12–23. [Google Scholar] [CrossRef]
- Blomberg, J.; Gottfries, C.-G.; Elfaitouri, A.; Rizwan, M.; Rosén, A. Infection Elicited Autoimmunity and Myalgic Encephalomyelitis/Chronic Fatigue Syndrome: An Explanatory Model. Front. Immunol. 2018, 9, 229. [Google Scholar] [CrossRef]
- Komaroff, A.L. Advances in Understanding the Pathophysiology of Chronic Fatigue Syndrome. JAMA 2019, 322, 499. [Google Scholar] [CrossRef]
- Moreno-Pérez, O.; Merino, E.; Leon-Ramirez, J.M.; Andres, M.; Ramos, J.M.; Arenas-Jiménez, J.; Asensio, S.; Sanchez, R.; Ruiz-Torregrosa, P.; Galan, I.; et al. Post-acute COVID-19 syndrome. Incidence and risk factors: A Mediterranean cohort study. J. Infect. 2021, 82, 378–383. [Google Scholar] [CrossRef]


| Characteristic | Overall (n = 130) | Non-Fatigue (n = 61) | Fatigue (n = 69) | p-Value |
|---|---|---|---|---|
| Age (years) | 51.0 ± 14 | 48.5 ± 13.2 | 53.0 ± 13.5 | 0.02 |
| Female n (%) | 45 (34.6) | 17 (27.8) | 28 (40.5) | 0.09 |
| Active smoker n (%) | 23 (17.6) | 12 (19.6) | 11 (15.6) | 0.3 |
| Body Mass Index (kg/m2) | 26.6 ± 3 | 27.6 ± 3.8 | 28.2 ± 5.1 | 0.5 |
| Underlying Diseases n (%) | ||||
| Hypertension | 53 (40.7) | 22 (36.0) | 31 (44.9) | 0.19 |
| Overweight | 62 (47.6) | 35 (57.3) | 27 (39.1) | 0.11 |
| Obesity | 38 (29.2) | 13 (21.3) | 25 (36.2) | 0.10 |
| Diabetes | 41 (31.5) | 17 (27.8) | 24 (34.7) | 0.25 |
| Chronic heart disease | 22 (16.9) | 9 (14.7) | 13 (18.8) | 0.35 |
| Chronic obstructive pulmonary disease | 4 (3.0) | 1 (1.6) | 3 (4.3) | 0.35 |
| Chronic kidney disease | 14 (10.7) | 5 (8.1) | 9 (13.0) | 0.27 |
| Immunosuppressive condition | 15 (11.5) | 7 (11.4) | 8 (11.5) | 0.6 |
| Psychiatric disorder | 2 (1.5) | 0 | 2 (2.8) | 0.28 |
| Acute COVID-19 Characteristics | ||||
| Mechanical ventilation n (%) | 29 (22.3) | 12 (19.6) | 17 (24.6) | 0.32 |
| Days on mechanical ventilation | 15 ± 11 | 14 ± 10.5 | 15 ± 12 | 0.83 |
| Length of hospital stay in days | 15 ±12 | 13 ± 10 | 17 ± 14 | 0.04 |
| Days of follow-up since discharge | 270 ± 32 | 266 ± 30 | 273 ± 36 | 0.8 |
| Laboratory Tests Median (IQR) | ||||
| Ferritin ng/mL | 512 (200–865) | 501 (255–820) | 520 (162–880) | 0.73 |
| NT-proBNP pg/mL | 242 (89–1055) | 200 (86–803) | 313 (94–1803) | 0.23 |
| Hs-cTnI pg/mL | 9.2 (4.7–23) | 6.8 (4.7–18.5) | 11.4 (4.8–25.4) | 0.26 |
| D-Dimer ng/mL | 0.35 (0.18–0.56) | 0.34 (0.16–0.76) | 0.37 (0.19–0.55) | 0.37 |
| CRP mg/L | 121 (53.7–216.5) | 121 (57.8–217) | 123.5 (42.5–218.7) | 0.86 |
| Fibrinogen g/L | 5.26 (4.49–6) | 5.5 (4.8–6) | 5.09 (4.3–6) | 0.16 |
| IL-6 pg/mL | 4.5 (4.5–44.5) | 7.9 (4.5–64) | 4.5 (4.5–39.5) | 0.63 |
| VEGF pg/mL | 53.2 (15–123.1) | 46.6 (15–119) | 60.6 (15–129.6) | 0.74 |
| Neutrophil count, 103/L | 6.7 (4.1–10.5) | 6.7 (4.5–11.6) | 6.8 (4.1–9) | 0.30 |
| Lymphocyte count, 103/L | 0.8 (0.6–1.2) | 0.9 (0.6–1.2) | 0.8 (0.6–1.2) | 0.83 |
| AST U/L | 36 (22.3–57.9) | 36 (22.2–58.7) | 37.2 (22.1–56.5) | 0.80 |
| Glucose mg/dL | 122 (105–153) | 120 (105.4–153) | 125 (104–153) | 0.81 |
| Creatinine mg/dL | 0.9 (0.73–1.2) | 0.9 (0.72–1.24) | 0.9 (0.73–1.28) | 0.69 |
| Symptoms | Overall (n = 130) | Non-Fatigue (n = 61) | Fatigue (n = 69) | p-Value | Overall (n = 130) | Non-Fatigue (n = 69) | Fatigue (n = 61) | Non-Fatigue at 3 Months vs. Non-Fatigue at 6 Months p-Value | p-Value | Fatigue at 3 Months vs. Fatigue at 6 Months p-Value |
|---|---|---|---|---|---|---|---|---|---|---|
| Fatigue | 69 (53.0) | 0 | 69 (100) | <0.001 | 61 (46.9) | 0 | 61 (100) | <0.001 | 0.3 | 0.19 |
| Respiratory | ||||||||||
| Resting dyspnea | 21 (16.2) | 6 (9.8) | 15 (21.7) | 0.053 | 21 (16.2) | 4 (5.8) | 17 (27.9) | 0.001 | 0.29 | 0.34 |
| Dyspnea on effort | 66 (50.8) | 21 (34.4) | 44 (63.8) | 0.001 | 55 (42.3) | 16(23.2) | 39 (63.9) | <0.001 | 0.11 | 0.5 |
| Neurocognitive, Neurosensory, Perceptual Disturbances | ||||||||||
| Concentration impairment | 30 (23.1) | 8 (13.1) | 22 (31.9) | 0.009 | 40 (30.8) | 10 (14.5) | 30 (49.2) | <0.001 | 0.51 | 0.05 |
| Short-term memory loss | 59 (45.4) | 17 (27.9) | 36 (52.2) | 0.004 | 70 (53.8) | 29 (42) | 41 (67.2) | 0.003 | 0.06 | 0.08 |
| Inability to focus vision | 50 (38.5) | 18 (29.5) | 34 (49.3) | 0.017 | 43 (33.1) | 13 (18.8) | 30 (49.2) | <0.001 | 0.11 | 0.56 |
| Light sensitivity | 24 (18.5) | 4 (6.6) | 17 (24.6) | 0.004 | 26 (20.0) | 8 (11.6) | 18 (29.5) | 0.01 | 0.24 | 0.33 |
| Anosmia | 16 (12.3) | 3 (4.9) | 11 (15.9) | 0.039 | 9 (6.9) | 4 (5.8) | 5 (8.2) | 0.42 | 0.56 | 0.14 |
| Ageusia | 16 (12.3) | 1 (1.6) | 13 (18.8) | 0.001 | 7 (5.4) | 3 (4.3) | 4 (6.6) | 0.43 | 0.35 | 0.03 |
| Tingling | 61 (46.9) | 20 (32.8) | 38 (55.1) | 0.009 | 61 (46.9) | 26 (37.7) | 35 (57.4) | 0.019 | 0.34 | 0.54 |
| Sleep Disturbances | ||||||||||
| Disturbance of sleep | 59 (45.4) | 17 (27.9) | 41 (59.4) | <0.001 | 66 (50.8) | 28 (40.6) | 38 (62.3) | 0.011 | 0.09 | 0.43 |
| Unrefreshin sleep | 50 (38.4) | 15 (24.6) | 31 (44.9) | 0.012 | 63 (48.5) | 25 (36.2) | 38 (62.3) | 0.003 | 0.1 | 0.03 |
| Autonomic Dysregulation | ||||||||||
| Postural dizziness | 51 (39.2) | 16 (26.2) | 31 (44.9) | 0.021 | 46 (35.4) | 13 (18.8) | 33 (54.1) | <0.001 | 0.21 | 0.24 |
| Lightheadedness when prolonged standing | 22 (16.9) | 7 (11.5) | 15 (21.7) | 0.092 | 22 (16.9) | 7 (10.1) | 15 (24.6) | 0.025 | 0.51 | 0.51 |
| Chest pain | 40 (30.8) | 9 (14.8) | 25 (36.2) | 0.004 | 36 (27.7) | 9 (13) | 27 (44.3) | <0.001 | 0.48 | 0.28 |
| Tachycardia | 53 (40.8) | 15 (24.6) | 36 (52.2) | 0.001 | 46 (35.4) | 17 (24.6) | 29 (47.5) | 0.005 | 0.57 | 0.36 |
| Change pattern of sweating | 47 (36.2) | 17 (27.9) | 26 (37.7) | 0.159 | 37 (28.5) | 11 (15.9) | 26 (42.6) | 0.001 | 0.07 | 0.34 |
| Intolerance to temperature | 41 (31.5) | 12 (19.7) | 28 (40.6) | 0.008 | 40 (30.8) | 12 (17.4) | 28 (45.9) | <0.001 | 0.45 | 0.33 |
| Gastrointestinal and Genitourinary | ||||||||||
| Stomach bloated after meals | 35 (26.9) | 9 (14.8) | 24 (34.8) | 0.007 | 45 (34.6) | 12 (17.4) | 33 (54.1) | <0.001 | 0.43 | 0.03 |
| Abdominal pain | 20 (15.4) | 5 (8.2) | 13 (18.8) | 0.065 | 20 (15.4) | 3 (4.3) | 17 (27.8) | <0.001 | 0.29 | 0.15 |
| Diarrhea | 19 (14.6) | 6 (9.8) | 13 (18.8) | 0.114 | 19 (14.6) | 6 (8.7) | 13 (21.3) | 0.03 | 0.62 | 0.44 |
| Constipation | 48 (36.9) | 14 (22.9) | 35 (50.7) | 0.001 | 36 (27.7) | 12 (17.4) | 24 (39.3) | 0.005 | 0.28 | 0.13 |
| Nausea | 19 (14.6) | 3 (4.9) | 16 (23.2) | 0.003 | 22 (16.9) | 5 (7.2) | 17 (27.8) | <0.002 | 0.43 | 0.42 |
| Urinary frequency | 44 (33.8) | 8 (13.1) | 21 (30.4) | 0.015 | 30 (23.1) | 12 (17.4) | 18 (29.5) | 0.07 | 0.33 | 0.45 |
| Difficulty emptying bladder | 18 (13.8) | 6 (9.8) | 14(20.3) | 0.07 | 14 (10.7) | 4 (5.8) | 10 (16.4) | 0.02 | 0.29 | 0.36 |
| Difficulty with sexual function | 28 (21.5) | 9 (14.8) | 17 (24.6) | 0.117 | 18 (13.8) | 8 (11.6) | 10 (16.4) | 0.29 | 0.39 | 0.17 |
| Pain | ||||||||||
| Headache | 38 (29.2) | 12 (19.7) | 25 (36.2) | 0.028 | 48 (36.9) | 12 (17.4) | 36 (59) | <0.001 | 0.45 | 0.01 |
| Muscle pain | 53 (40.8) | 14 (22.9) | 39 (56.5) | <0.001 | 47 (36.2) | 11 (15.9) | 36 (59) | <0.001 | 0.21 | 0.45 |
| Joint pain | 50 (38.5) | 11 (18) | 34 (49.3) | <0.001 | 57 (43.8) | 18 (26.1) | 39 (63.9) | <0.001 | 0.18 | 0.06 |
| Psychiatric | ||||||||||
| Anxiety | 51 (39.2) | 15 (24.6) | 39 (56.3) | <0.001 | 46 (35.4) | 11 (15.9) | 35 (57.4) | <0.001 | 0.15 | 0.53 |
| Depression | 46 (35.3) | 13 (21.3) | 31 (44.9) | 0.004 | 45 (34.6) | 13 (18.8) | 32 (52.5) | <0.001 | 0.44 | 0.24 |
Publisher’s Note: MDPI stays neutral with regard to jurisdictional claims in published maps and institutional affiliations. |
© 2021 by the authors. Licensee MDPI, Basel, Switzerland. This article is an open access article distributed under the terms and conditions of the Creative Commons Attribution (CC BY) license (https://creativecommons.org/licenses/by/4.0/).
Share and Cite
González-Hermosillo, J.A.; Martínez-López, J.P.; Carrillo-Lampón, S.A.; Ruiz-Ojeda, D.; Herrera-Ramírez, S.; Amezcua-Guerra, L.M.; Martínez-Alvarado, M.d.R. Post-Acute COVID-19 Symptoms, a Potential Link with Myalgic Encephalomyelitis/Chronic Fatigue Syndrome: A 6-Month Survey in a Mexican Cohort. Brain Sci. 2021, 11, 760. https://doi.org/10.3390/brainsci11060760
González-Hermosillo JA, Martínez-López JP, Carrillo-Lampón SA, Ruiz-Ojeda D, Herrera-Ramírez S, Amezcua-Guerra LM, Martínez-Alvarado MdR. Post-Acute COVID-19 Symptoms, a Potential Link with Myalgic Encephalomyelitis/Chronic Fatigue Syndrome: A 6-Month Survey in a Mexican Cohort. Brain Sciences. 2021; 11(6):760. https://doi.org/10.3390/brainsci11060760
Chicago/Turabian StyleGonzález-Hermosillo, J Antonio, Jhanea Patricia Martínez-López, Sofía Antonieta Carrillo-Lampón, Dayanara Ruiz-Ojeda, Sharon Herrera-Ramírez, Luis M. Amezcua-Guerra, and María del Rocío Martínez-Alvarado. 2021. "Post-Acute COVID-19 Symptoms, a Potential Link with Myalgic Encephalomyelitis/Chronic Fatigue Syndrome: A 6-Month Survey in a Mexican Cohort" Brain Sciences 11, no. 6: 760. https://doi.org/10.3390/brainsci11060760
APA StyleGonzález-Hermosillo, J. A., Martínez-López, J. P., Carrillo-Lampón, S. A., Ruiz-Ojeda, D., Herrera-Ramírez, S., Amezcua-Guerra, L. M., & Martínez-Alvarado, M. d. R. (2021). Post-Acute COVID-19 Symptoms, a Potential Link with Myalgic Encephalomyelitis/Chronic Fatigue Syndrome: A 6-Month Survey in a Mexican Cohort. Brain Sciences, 11(6), 760. https://doi.org/10.3390/brainsci11060760

