Assessing the Three Attentional Networks and Vigilance in the Adolescence Stages
Abstract
1. Introduction
2. Materials and Methods
2.1. Participants
2.2. Apparatus
2.3. Attentional Network Test for Interaction—Vigilance (ANTI-V)
2.4. Data Analyses
2.5. Power Analysis
3. Results
3.1. Reaction Times
3.2. Accuracy Analysis
3.3. Attentional Effects
3.3.1. Reaction Times
3.3.2. Accuracy
3.4. Standard Deviation of RTs
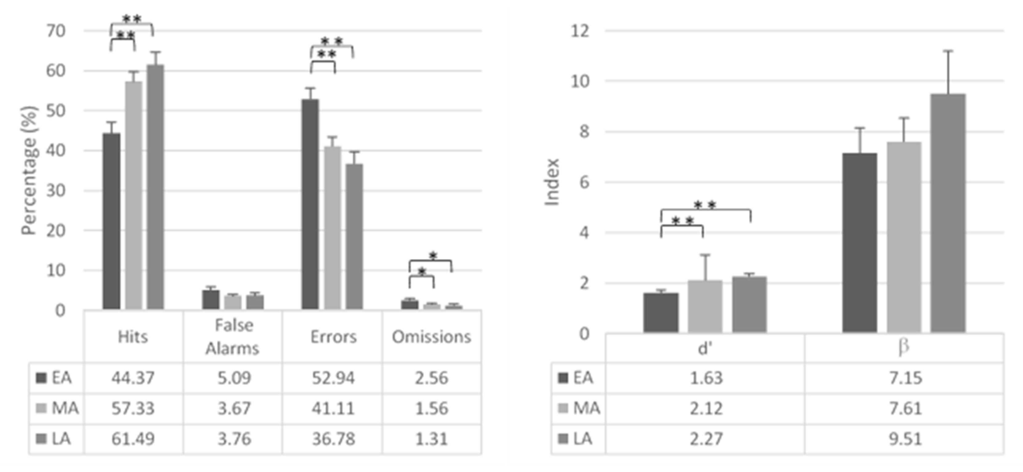
3.5. Vigilance Analysis
3.6. Correlations
3.7. Speed-Accuracy Trade-Off Effect
4. Discussion
5. Limitations
6. Conclusions
Author Contributions
Funding
Institutional Review Board Statement
Informed Consent Statement
Data Availability Statement
Acknowledgments
Conflicts of Interest
References
- Petersen, S.E.; Posner, M.I. The attention system of the human brain: 20 years after. Annu. Rev. Neurosci. 2012, 35, 73–89. [Google Scholar] [CrossRef]
- Posner, M.I.; Petersen, S.E. The attention system of the human brain. Annu. Rev. Neurosci. 1990, 13, 25–42. [Google Scholar] [CrossRef]
- Fan, J.; McCandliss, B.D.; Sommer, T.; Raz, A.; Posner, M.I. Testing the efficiency and independence of attentional networks. J. Cogn. Neurosci. 2002, 14, 340–347. [Google Scholar] [CrossRef] [PubMed]
- Posner, M.I. Orienting of attention. Q. J. Exp. Psychol. 1980, 32, 3–25. [Google Scholar] [CrossRef] [PubMed]
- Eriksen, B.A.; Eriksen, C.W. Effects of noise letters upon the identification of a target letter in a nonsearch task. Percept Psychophys. 1974, 16, 143–149. [Google Scholar] [CrossRef]
- Federico, F.; Marotta, A.; Martella, D.; Casagrande, M. Development in attention functions and social processing: Evidence from the Attention Network Test. Br. J. Dev. Psychol. 2017, 35, 169–185. [Google Scholar] [CrossRef]
- Mezzacappa, E. Alerting, orienting, and executive attention: Developmental properties and sociodemographic correlates in an epidemiological sample of young, urban children. Child Dev. 2004, 75, 1373–1386. [Google Scholar] [CrossRef]
- Rueda, M.R.; Fan, J.; McCandliss, B.D.; Halparin, J.D.; Gruber, D.B.; Lercari, L.P.; Posner, M.I. Development of attentional networks in childhood. Neuropsychologia 2004, 42, 1029–1040. [Google Scholar] [CrossRef]
- Federico, F.; Marotta, A.; Adriani, T.; Maccari, L.; Casagrande, M. Attention network test—The impact of social information on executive control, alerting and orienting. Acta Psychol. 2013, 143, 65–70. [Google Scholar] [CrossRef] [PubMed]
- Martella, D.; Casagrande, M.; Lupiáñez, J. Alerting, orienting and executive control: The effects of sleep deprivation on attentional networks. Exp. Brain Res. 2011, 210, 81–89. [Google Scholar] [CrossRef]
- Spagna, A.; Martella, D.; Fuentes, L.J.; Marotta, A.; Casagrande, M. Hemispheric modulations of the attentional networks. Brain Cogn. 2016, 108, 73–80. [Google Scholar] [CrossRef]
- Spagna, A.; Martella, D.; Sebastiani, M.; Maccari, L.; Marotta, A.; Casagrande, M. Efficiency and interactions of alerting, orienting and executive networks: The impact of imperative stimulus type. Acta Psychol. 2014, 148, 209–215. [Google Scholar] [CrossRef]
- Federico, F.; Marotta, A.; Orsolini, M.; Casagrande, M. Aging in cognitive control of social processing: Evidence from the attention network test. Neuropsychol. Dev. Cogn. 2021, 28, 128–142. [Google Scholar] [CrossRef] [PubMed]
- Casagrande, M.; Martella, D.; Ruggiero, M.C.; Maccari, L.; Paloscia, C.; Rosa, C.; Pasini, A. Assessing attentional systems in children with attention deficit hyperactivity disorder. Arch. Clin. Neuropsychol. 2012, 27, 30–44. [Google Scholar] [CrossRef] [PubMed]
- Casagrande, M.; Marotta, A.; Canepone, V.; Spagna, A.; Rosa, C.; Dimaggio, G.; Pasini, A. Dysfunctional personality traits in adolescence: Effects on alerting, orienting and executive control of attention. Cogn. Process. 2017, 18, 183–193. [Google Scholar] [CrossRef] [PubMed]
- Marotta, A.; Delle Chiaie, R.; Spagna, A.; Bernabei, L.; Sciarretta, M.; Roca, J.; Biondi, M.; Casagrande, M. Impaired conflict resolution and vigilance in euthymic bipolar disorder. Psychiatry Res. 2015, 229, 490–496. [Google Scholar] [CrossRef]
- Callejas, A.; Lupianez, J.; Funes, M.J.; Tudela, P. Modulations among the alerting, orienting and executive control networks. Exp. Brain Res. 2005, 167, 27–37. [Google Scholar] [CrossRef]
- Luna, F.G.; Marino, J.; Roca, J.; Lupiáñez, J. Executive and arousal vigilance decrement in the context of the attentional networks: The ANTI-Vea task. J. Neurosci. Methods 2018, 306, 77–87. [Google Scholar] [CrossRef]
- Morandini, H.A.; Silk, T.J.; Griffiths, K.; Rao, P.; Hood, S.; Zepf, F.D. Meta-analysis of the neural correlates of vigilant attention in children and adolescents. Cortex 2020. [Google Scholar] [CrossRef]
- Rosvold, H.E.; Mirsky, A.F.; Sarason, I.; Bransome, E.D., Jr.; Beck, L.H. A continuous performance test of brain damage. J. Consult. Psychol. 1956, 20, 343. [Google Scholar] [CrossRef]
- Mackworth, N.H. The breakdown of vigilance during prolonged visual search. Q. J. Exp. Psychol. 1948, 1, 6–21. [Google Scholar] [CrossRef]
- Lim, J.; Dinges, D. Sleep deprivation and vigilant attention. N. Y. Acad. Sci. 2008, 1129, 305. [Google Scholar] [CrossRef] [PubMed]
- Robertson, I.H.; Manly, T.; Andrade, J.; Baddeley, B.T.; Yiend, J. ‘Oops!’: Performance correlates of everyday attentional failures in traumatic brain injured and normal subjects. Neuropsychologia 1997, 35, 747–758. [Google Scholar] [CrossRef]
- Casagrande, M.; Violani, C.; Curcio, G.; Bertini, M. Assessing vigilance through a brief pencil Letter Cancellation Task (LCT): Effects of one night of sleep deprivation and of the time of day. Ergonomics 1997, 40, 613–630. [Google Scholar] [CrossRef] [PubMed]
- Casagrande, M.; Martella, D.; Di Pace, E.; Pirri, F.; Guadalupi, F. Orienting and alerting: Effects of 24 hours of prolonged wakefulness. Exp. Brain Res. 2006, 171, 184–193. [Google Scholar] [CrossRef] [PubMed]
- Maccari, L.; Martella, D.; Marotta, A.; Sebastiani, M.; Banaj, N.; Fuentes, L.J.; Casagrande, M. Effects of sleep loss on emotion recognition: A dissociation between face and word stimuli. Exp. Brain Res. 2014, 232, 3147–3157. [Google Scholar] [CrossRef] [PubMed]
- Huang-Pollock, C.L.; Karalunas, S.L.; Tam, H.; Moore, A.N. Evaluating vigilance deficits in ADHD: A meta-analysis of CPT performance. J. Abnorm. Psychol. 2012, 121, 360. [Google Scholar] [CrossRef]
- Roca, J.; Castro, C.; López-Ramón, M.F.; Lupiánez, J. Measuring vigilance while assessing the functioning of the three attentional networks: The ANTI-Vigilance task. J. Neurosci. Methods 2011, 198, 312–324. [Google Scholar] [CrossRef] [PubMed]
- Posner, M.I. Measuring alertness. N. Y. Acad. Sci. 2008, 1129, 193–199. [Google Scholar] [CrossRef]
- Adólfsdóttir, S.; Sørensen, L.; Lundervold, A.J. The attention network test: A characteristic pattern of deficits in children with ADHD. Behav. Brain Funct. 2008, 4, 9. [Google Scholar] [CrossRef]
- Lundervold, A.J.; Adolfsdottir, S.; Halleland, H.; Halmøy, A.; Plessen, K.; Haavik, J. Attention Network Test in adults with ADHD-the impact of affective fluctuations. Behav. Brain Funct. 2011, 7, 27. [Google Scholar] [CrossRef] [PubMed]
- Oberlin, B.G.; Alford, J.L.; Marrocco, R.T. Normal attention orienting but abnormal stimulus alerting and conflict effect in combined subtype of ADHD. Behav. Brain Res. 2005, 165, 1–11. [Google Scholar] [CrossRef]
- Ishigami, Y.; Klein, R.M. Are individual differences in absentmindedness correlated with individual differences in attention? J. Individ. Differ. 2009, 30, 220–237. [Google Scholar] [CrossRef]
- Lewis, F.C.; Reeve, R.A.; Johnson, K.A. A longitudinal analysis of the attention networks in 6-to 11-year-old children. Child Neuropsychol. 2018, 24, 145–165. [Google Scholar] [CrossRef] [PubMed]
- Mullane, J.C.; Lawrence, M.A.; Corkum, P.V.; Klein, R.M.; McLaughlin, E.N. The development of and interaction among alerting, orienting, and executive attention in children. Child Neuropsychol. 2016, 22, 155–176. [Google Scholar] [CrossRef]
- Pozuelos, J.P.; Paz-Alonso, P.M.; Castillo, A.; Fuentes, L.J.; Rueda, M.R. Development of attention networks and their interactions in childhood. Dev. Psychol. 2014, 50, 2405. [Google Scholar] [CrossRef] [PubMed]
- Boen, R.; Ferschmann, L.; Vijayakumar, N.; Overbye, K.; Walhovd, K.B.; Fjell, A.M.; Espeseth, T.; Tamnes, C.K. Development of attention networks from childhood to young adulthood: A study of performance, intraindividual variability and cortical thickness. bioRxiv 2020. [Google Scholar] [CrossRef]
- Thomson, P.; Vijayakumar, N.; Johnson, K.A.; Malpas, C.B.; Sciberras, E.; Efron, D.; Hazell, P.; Silk, T.J. Longitudinal Trajectories of Sustained Attention Development in Children and Adolescents with ADHD. J. Abnorm. Child Psychol. 2020, 48, 1529–1542. [Google Scholar] [CrossRef]
- Fortenbaugh, F.C.; DeGutis, J.; Germine, L.; Wilmer, J.B.; Grosso, M.; Russo, K.; Esterman, M. Sustained attention across the life span in a sample of 10,000: Dissociating ability and strategy. Psychol. Sci. 2015, 26, 1497–1510. [Google Scholar] [CrossRef]
- Rebok, G.W.; Smith, C.B.; Pascualvaca, D.M.; Mirsky, A.F.; Anthony, B.J.; Kellam, S.G. Developmental changes in attentional performance in urban children from eight to thirteen years. Child Neuropsychol. 1997, 3, 28–46. [Google Scholar] [CrossRef]
- Yan, C.; Zhou, H.; Wei, W.; Wang, Y.J.; Cui, L.; Chan, R.C.; Deng, C.P. Developmental Trajectories of Attention in Typically Developing Chinese Children: A Four-Wave Longitudinal Study. Dev. Neuropsychol. 2018, 43, 479–496. [Google Scholar] [CrossRef]
- Lewis, F.C.; Reeve, R.A.; Kelly, S.P.; Johnson, K.A. Evidence of substantial development of inhibitory control and sustained attention between 6 and 8 years of age on an unpredictable Go/No-Go task. J. Exp. Child Psychol. 2017, 157, 66–80. [Google Scholar] [CrossRef] [PubMed]
- McAvinue, L.P.; Habekost, T.; Johnson, K.A.; Kyllingsbæk, S.; Vangkilde, S.; Bundesen, C.; Robertson, I.H. Sustained attention, attentional selectivity, and attentional capacity across the lifespan. Attent. Percept Psychol. 2012, 74, 1570–1582. [Google Scholar] [CrossRef]
- Roca, J.; Garcia-Fernandez, P.; Castro, C.; Lupiáñez, J. The moderating effects of vigilance on other components of attentional functioning. J. Neurosci. Methods 2018, 308, 151–161. [Google Scholar] [CrossRef] [PubMed]
- Roca, J.; Fuentes, L.J.; Marotta, A.; López-Ramón, M.F.; Castro, C.; Lupiáñez, J.; Martella, D. The effects of sleep deprivation on the attentional functions and vigilance. Acta Psychol. 2012, 140, 164–176. [Google Scholar] [CrossRef] [PubMed]
- Roca, J.; Lupiáñez, J.; López-Ramón, M.F.; Castro, C. Are drivers’ attentional lapses associated with the functioning of the neurocognitive attentional networks and with cognitive failure in everyday life? Transp. Res. Part F Traffic Psychol. Behav. 2013, 17, 98–113. [Google Scholar] [CrossRef]
- Wikee, G.; Martella, D. Physical activity and cognitive reserve as protective factors for attentional functioning in older people. Rev. Med. Child 2018, 146, 570–577. [Google Scholar] [CrossRef]
- Martella, D.; Manzanares, S.; Campoy, G.; Roca, J.; Antúnez, C.; Fuentes, L.J. Phasic and tonic alerting in mild cognitive impairment: A preliminary study. Exp. Gerontol. 2014, 49, 35–39. [Google Scholar] [CrossRef] [PubMed]
- World Health Organization. Orientation Programme on Adolescent Health for Health-Care Providers: Handout–New Modules; WHO Press: Geneva, Switzerland, 2009. [Google Scholar]
- Schneider, W.; Eschman, A.; Zuccolotto, A. E-Prime: User’s Guide; Psychology Software Incorporated: Pittsburgh, PA, USA, 2002. [Google Scholar]
- Faul, F.; Erdfelder, E.; Lang, A.G.; Buchner, A. G*Power 3: A flexible statistical power analysis program for the social, behavioral, and biomedical sciences. Behav. Res. Methods 2007, 39, 175–191. [Google Scholar] [CrossRef] [PubMed]
- Johnson, K.A.; Lewis, F.C.; Cornish, K.M. A child-focused version of the Attention Network Task designed to investigate interactions between the attention networks, including the endogenous orienting network. Child Neuropsychol. 2020, 26, 666–690. [Google Scholar] [CrossRef]
- Giovannoli, J.; Pitzianti, M.B.; Martella, D.; Boncompagni, I.; Favieri, F.; Forte, G.; Pasini, A.; Casagrande, M. Vigilance and attention in children with attention deficit hyperactivity disorder. Mediterr. J. Clin. Psychol. 2018, 6 (Suppl. S2018), 18–19. [Google Scholar]
- Martella, D.; Giovannoli, J.; Pitzianti, M.B.; Pasini, A.; Casagrande, M. The evaluation of attentional orienting in Italians and Chileans children with ADHD: Effects of two different school integration strategies. Cogn. Process 2018, 19 (Suppl. S1), 65. [Google Scholar]




| Early Adolescents (n = 58) | Middle Adolescents (n = 87) | Late Adolescents (n = 37) | ||||||
|---|---|---|---|---|---|---|---|---|
| RTs | Accuracy | RTs | Accuracy | RTs | Accuracy | |||
| No warning | Congruent | Valid | 725.70 (140.14) | 90.62 (9.46) | 691.74 (141.98) | 92.31 (6.92) | 742.37 (165.55) | 92.40 (11.33) | 
| Invalid | 766.26 (147.16) | 90.09 (11.41) | 719.93 (135.93) | 93.10 (6.81) | 772.76 (186.44) | 92.90 (7.53) | ||
| No Cue | 785.37 (153.56) | 89.76 (10.90) | 734.95 (155.42) | 92.60 (6.14) | 765.62 (147.33) | 92.40 (7.24) | ||
| Incongruent | Valid | 797.60 (159.82) | 84.37 (12.40) | 758.58 (150.94) | 89.08 (8.90) | 785.06 (182.10) | 88.68 (8.57) | |
| Invalid | 856.61 (168.75) | 78.12 (16.27) | 798.26 (147.84) | 86.92 (11.30) | 822.79 (130.41) | 87.33 (10.67) | ||
| No Cue | 845.22 (167.57) | 82.22 (14.38) | 785.99 (138.75) | 86.71 (9.28) | 819.58 (143.56) | 86.49 (11.65) | ||
| Warning | Congruent | Valid | 679.39 (154.53) | 92.46 (8.58) | 659.83 (141.95) | 93.96 (6.63) | 714.95 (153.55) | 93.41 (6.58) | 
| Invalid | 740.21 (149.78) | 90.95 (8.77) | 711.51 (144.15) | 95.26 (5.13) | 754.95 (164.77) | 93.24 (9.01) | ||
| No Cue | 717.96 (131.95) | 92.35 (9.22) | 682.14 (139.25) | 94.76 (6.66) | 726.62 (150.75) | 95.95 (4.93) | ||
| Incongruent | Valid | 772.25 (171.49) | 85.99 (14.35) | 724.34 (142.76) | 90.73 (7.37) | 774.08 (151.66) | 90.71 (9.39) | |
| Invalid | 819.84 (152.60) | 81.25 (17.36) | 791.66 (140.69) | 90.30 (9.57) | 829.15 (150.68) | 89.70 (10.12) | ||
| No Cue | 801.89 (171.43) | 83.62 (17.71) | 757.34 (144.07) | 89.65 (9.90) | 782.95 (151.90) | 93.07 (7.62) | ||
| Early Adolescents (n = 58) | Middle Adolescents (n = 87) | Late Adolescents (n = 37) | |
|---|---|---|---|
| Hits (%) | 44.37 (20.93) | 57.33 (22.10) | 61.49 (18.96) | 
| False alarms (%) | 5.09 (5.78) | 3.67 (3.00) | 3.76 (3.73) | 
| Errors (%) | 52.94 (20.52) | 41.11 (22.03) | 36.78 (18.19) | 
| Omissions (%) | 2.53 (3.38) | 1.56 (2.89) | 1.31 (1.67) | 
| d′ | 1.63 (0.81) | 2.12 (0.72) | 2.27 (0.69) | 
| β | 7.15 (7.65) | 7.61 (8.69) | 9.51 (10.27) | 
| Mean RTs (Vigilance block) | 975.30 (177.19) | 920.76 (115.29) | 930.43 (100.12) | 
| Mean SD of RTs (Vigilance block) | 184.64 (66.17) | 177.93 (58.22) | 174.78 (49.77) | 
| Hits | False Alarms | d′ | β | |
|---|---|---|---|---|
| ANTI Blocks | ||||
| Reaction time | ||||
| Alerting | −0.14 p = 0.070 | 0.17 p = 0.020 | −0.25 p = 0.001 | −0.17 p = 0.024 | 
| Orienting | −0.14 p = 0.070 | −12 p = 0.112 | −0.17 p = 0.025 | −0.07 p = 0.355 | 
| Executive Control | −0.03 p = 0.715 | 0.09 p = 0.221 | −0.11 p = 0.158 | −0.16 p = 0.030 | 
| Mean RTs | 0.33 p < 0.001 | 0.13 p = 0.087 | 0.18 p < 0.019 | −0.19 p = 0.012 | 
| Mean SD of RTs | 0.11 p = 0.144 | 0.19 p = 0.010 | −0.04 p = 0.629 | −0.21 p = 0.005 | 
| Accuracy | ||||
| Alerting | 0.02 p = 0.767 | 0.002 p = 0.978 | 0.03 p = 0.643 | 0.005 p = 0.950 | 
| Orienting | 0.24 p = 0.001 | −0.14 p = 0.067 | 0.24 p = 0.001 | −0.02 p = 0.800 | 
| Executive Control | 0.02 p = 0.778 | −0.54 p < 0.001 | 0.29 p < 0.001 | 0.32 p < 0.001 | 
| Mean ACC | 0.24 p = 0.001 | −0.82 p < 0.001 | 0.63 p < 0.001 | 0.41 p < 0.001 | 
| Vigilance blocks | ||||
| Mean RTs | −0.08 p = 0.257 | −0.07 p = 0.370 | −0.04 p = 0.576 | 0.03 p = 0.733 | 
| Mean SD of RTs | −0.01 p = 0.915 | 0.07 p = 0.375 | −0.01 p = 0.921 | 0.03 p = 0.674 | 
| Errors | −0.99 p < 0.001 | −0.05 p = 0.496 | −0.79 p < 0.001 | 0.08 p = 0.294 | 
| Omissions | −0.18 p = 0.015 | −10 p = 0.202 | −0.19 p = 0.012 | 0.01 p = 0.939 | 
| Publisher’s Note: MDPI stays neutral with regard to jurisdictional claims in published maps and institutional affiliations. | 
© 2021 by the authors. Licensee MDPI, Basel, Switzerland. This article is an open access article distributed under the terms and conditions of the Creative Commons Attribution (CC BY) license (https://creativecommons.org/licenses/by/4.0/).
Share and Cite
Giovannoli, J.; Martella, D.; Casagrande, M. Assessing the Three Attentional Networks and Vigilance in the Adolescence Stages. Brain Sci. 2021, 11, 503. https://doi.org/10.3390/brainsci11040503
Giovannoli J, Martella D, Casagrande M. Assessing the Three Attentional Networks and Vigilance in the Adolescence Stages. Brain Sciences. 2021; 11(4):503. https://doi.org/10.3390/brainsci11040503
Chicago/Turabian StyleGiovannoli, Jasmine, Diana Martella, and Maria Casagrande. 2021. "Assessing the Three Attentional Networks and Vigilance in the Adolescence Stages" Brain Sciences 11, no. 4: 503. https://doi.org/10.3390/brainsci11040503
APA StyleGiovannoli, J., Martella, D., & Casagrande, M. (2021). Assessing the Three Attentional Networks and Vigilance in the Adolescence Stages. Brain Sciences, 11(4), 503. https://doi.org/10.3390/brainsci11040503
 
         
                                                

 
       