Experimental Study to Determine the Most Preferred Additive for Improving Asphalt Performance Using Polypropylene, Crumb Rubber, and Tafpack Super in Medium and High-Temperature Range
Abstract
1. Introduction
2. Materials and Methods
2.1. Materials
2.1.1. Asphalt
2.1.2. Crumb Rubber Modifier
2.1.3. Tafpack Super
2.1.4. Polypropylene
2.2. Methods
2.2.1. Sample Preparation
2.2.2. Testing Procedures
3. Results and Discussion
3.1. Ductility
3.2. Kinematic Viscosity
3.3. Toughness and Tenacity
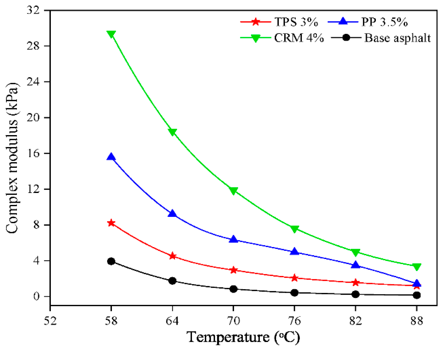
3.4. Dynamic Shear Rheometer
3.4.1. Rutting Parameter and Complex Shear Modulus
3.4.2. Strain Sweep Test
4. Conclusions
Author Contributions
Funding
Conflicts of Interest
Abbreviations
| CRM | crumb rubber modifier |
| DSR | dynamic shear rheometer |
| G* | complex shear modulus |
| G*/sin(δ) | rutting parameter |
| HVA | high-viscosity additive |
| MD | molecular dynamics |
| PG | performance grade |
| PP | polypropylene |
| RST | road-science-technology |
| RV | rotational viscometer |
| SBR | styrene–butadiene rubber |
| SBS | styrene–butadiene–styrene |
| TPS | tafpack super |
References
- Khabaz, F.; Khare, R. Glass Transition and Molecular Mobility in Styrene–Butadiene Rubber Modified Asphalt. J. Phys. Chem. B. 2015, 119, 14261–14269. [Google Scholar] [CrossRef] [PubMed]
- Siddig, E.A.; Cheng, C.P.; Ming, L.Y. Effects of Ethylene Vinyl Acetate and Nanoclay Additions on High-Temperature Performance of Asphalt Binders. Constr. Build. Mater. 2018, 169, 276–282. [Google Scholar] [CrossRef]
- Habib, N.Z.; Kamaruddin, I.; Napiah, M.; Tan, I.M. Effect of Mixing Process on Polypropylene Modified Bituminous Concrete Mix Properties. J. Civ. Environ. Eng. 2011, 5, 477–482. [Google Scholar]
- Lin, J.D.; Chen, S.H.; Liu, P.; Wang, J.N. Modified Toughness Used to Evaluate the Effect of Polymer Modified Asphalt on Sma. J. Chin. Inst. Eng. 2004, 27, 8. [Google Scholar] [CrossRef]
- Galooyak, S.S.; Dabir, B.; Nazarbeygi, A.E.; Moeinic, A. Rheological Properties and Storage Stability of Bitumen/Sbs/Montmorillonite Composites. Constr. Build. Mater. 2010, 24, 300–307. [Google Scholar] [CrossRef]
- Li, R.; Xiao, F.; Amirkhanian, S.; You, Z.; Huang, J. Developments of Nano Materials and Technologies on Asphalt Materials–a Review. Constr. Build. Mater. 2017, 143, 633–648. [Google Scholar] [CrossRef]
- Dong, R.; Zhao, M.; Tang, N. Characterization of Crumb Tire Rubber Lightly Pyrolyzed in Waste Cooking Oil and the Properties of Its Modified Bitumen. Constr. Build. Mater. 2019, 195, 10–18. [Google Scholar] [CrossRef]
- Cui, S.; Blackman, B.R.; Kinloch, A.J.; Taylor, A.C. Durability of Asphalt Mixtures: Effect of Aggregate Type and Adhesion Promoters. Int. J. Adhes. Adhes. 2014, 54, 100–111. [Google Scholar] [CrossRef]
- Cao, T.; Wu, S.; Liu, C.; Zhang, T. Shear Resistance Properties of Tps Modified Bitumen Binders and Asphalt Mixtures. J. Cent. South Univ. Technol. 2008, 15, 434–437. [Google Scholar] [CrossRef]
- Bouraima, M.B.; Zhang, X.; Zhou, S.; Qiu, Y. Impact of Viscosity Modifier on Asphalt Properties Used for Bus Rapid Transit Lane in Chengdu. J. Modern Transp. 2017, 25, 185–193. [Google Scholar] [CrossRef][Green Version]
- Yi-Qiu, T.; Ai, A. World Cup 2010 Traffic Simulation Long-Term Aging of Polypropylene Asphalt Paving Mixtures. In Proceedings of the 2007 26th Southern African Transport Conference (SATC), Pretoria, South Africa, 9–12 July 2007; pp. 761–767. [Google Scholar]
- Khabaz, F.; Khare, R. Molecular Simulations of Asphalt Rheology: Application of Time–Temperature Superposition Principle. J. Rheol. 2018, 62, 941–954. [Google Scholar] [CrossRef]
- Barco-Carrión, A.J.; García-Travé, G.; Moreno-Navarro, F.; Martínez-Montes, G.; Rubio-Gámez, M.C. Comparison of the Effect of Recycled Crumb Rubber and Polymer Concentration on the Performance of Binders for Asphalt Mixtures. Mater. Constr. 2016, 66, 090. [Google Scholar]
- Bahia, H.U.; Davies, R. Effect of Crumb Rubber Modifiers (CRM) on Performance Related Properties of Asphalt Binders. Asph. Paving Technol. 1994, 63, 414. [Google Scholar]
- Zumrawi, M. Effect of Crumb Rubber Modifiers (CRM) on Characteristics of Asphalt Binders in Sudan. Int. J. Mater. Sci. Appl. 2017, 6, 1–6. [Google Scholar]
- Bulei, C.; Todor, M.P.; Heput, T.; Kiss, I. Directions for Material Recovery of Used Tires and Their Use in the Production of New Products Intended for the Industry of Civil Construction and Pavements. In Proceedings of the 2017 1st International Conference on Applied Sciences (ICAS), Hunedoara, Romania, 10–12 May 2017. [Google Scholar]
- Billiter, T.C.; Chun, J.S.; Davison, R.R.; Glover, C.J.; Bullin, J.A. Investigation of the Curing Variables of Asphalt-Rubber Binder. Liq. Fuels Technol. 1997, 15, 445–469. [Google Scholar] [CrossRef]
- Airey, G.D. Rheological Properties of Styrene Butadiene Styrene Polymer Modified Road Bitumens. Fuel 2003, 82, 1709–1719. [Google Scholar] [CrossRef]
- Liu, Q.; Wu, S.; Liu, C.; Wang, J. Investigation of Rheological Properties of TPS Modified Bitumen. J. Cent. South Univ. Technol. 2010, 15, 118–121. [Google Scholar] [CrossRef]
- Polacco, G.; Stastna, J.; Biondi, D.; Zanzotto, L. Relation between Polymer Architecture and Nonlinear Viscoelastic Behavior of Modified Asphalts. Curr. Opin. Colloid Interface Sci. 2006, 11, 230–245. [Google Scholar] [CrossRef]
- Merighi, J.V.; Fortes, R.M. The Study of Permanent Deformation Using the Static Creep Test. In Proceedings of the 3rd Eurasphalt and Eurobitume Congress, Vienna, Austria, 12–14 May 2004; Volume 2, pp. 12–14. [Google Scholar]
- Hossain, Z.; Zaman, M.; Saha, M.C.; Hawa, T. Evaluation of Viscosity and Rutting Properties of Nanoclay-Modified Asphalt Binders. In Proceedings of the Geo-Congress 2014, Geo-characterization and Modeling for Sustainability, Atlanta, Georgia, 23–26 February 2014. [Google Scholar]
- Noguera, A.H.; Miró, R. Asphalt Toughness Effect on Bituminous Mixture Fatigue Behavior. Rev. Ing. Constr. 2011, 26, 224–239. [Google Scholar] [CrossRef]
- Ke, Z.; Mingzhi, S.; Ronghua, C. Performance Evaluation of High-Elastic/Salt-Storage Asphalt Mixture Modified with Mafilon and Rubber Particles. Constr. Build. Mater. 2018, 193, 153–161. [Google Scholar]









| Test | Method | Quantity | Specification Limits |
|---|---|---|---|
| Penetration at (25 °C,100 g, 5 s), 0.1 mm | ASTM D5 | 64 | 60–70 |
| Ductility (25 °C, 5 cm/min), (cm) | ASTM D113 | 150 | Min 100 |
| Kinematic Viscosity at 135 °C (Pa. s) | ASTM D2170 | 0.411 | - |
| Softening Point (Ring and ball method) (°C) | ASTM D36 | 49 | Min 46.0 |
| Flash Point (°C) | ASTM D92 | 317 | - |
| Fire Point (°C) | ASTM D92 | 331 | - |
| Specific Gravity at 25 °C (g/cm3) | ASTM D70 | 1.043 | - |
| Loss on Heat (%) | ASTM D-6 | 0.04 | - |
| Dynamic Viscosity at 60 °C (Pa. s) | ASTM D2171 | 0.410 | - |
| Component | Content (%) |
|---|---|
| Ash content | 5 |
| Acetone extract | 11 |
| Natural rubber Content | 25.8 |
| Rubber Hydrocarbon Content | 37 |
| Carbon Black Content | 21.2 |
| Relative density | 1.2 |
| Item | Properties |
|---|---|
| Shape | Granular (2–3 mm) |
| Color | Yellow |
| Relative density (%) | 0.98 |
| Weight per volume | 0.6 ton/m3 |
| Item | Properties |
|---|---|
| Shape | Granular (3–4 mm) |
| Density (g/cm3) | 0.895–0.92 |
| Melting point (°C) | >190 |
| Modifier Content (%) | Tenacity (N.m) | ||
|---|---|---|---|
| CRM | TPS | PP | |
| 2 | 1.62 | 4.90 | 2.21 |
| 3 | 1.29 | 3.94 | 2.08 |
| 3.5 | 0.96 | 3.08 | 1.95 |
| 4 | 0.65 | 2.22 | 1.93 |
© 2019 by the authors. Licensee MDPI, Basel, Switzerland. This article is an open access article distributed under the terms and conditions of the Creative Commons Attribution (CC BY) license (http://creativecommons.org/licenses/by/4.0/).
Share and Cite
Xiaoming, H.; Eldouma, I.B. Experimental Study to Determine the Most Preferred Additive for Improving Asphalt Performance Using Polypropylene, Crumb Rubber, and Tafpack Super in Medium and High-Temperature Range. Appl. Sci. 2019, 9, 1567. https://doi.org/10.3390/app9081567
Xiaoming H, Eldouma IB. Experimental Study to Determine the Most Preferred Additive for Improving Asphalt Performance Using Polypropylene, Crumb Rubber, and Tafpack Super in Medium and High-Temperature Range. Applied Sciences. 2019; 9(8):1567. https://doi.org/10.3390/app9081567
Chicago/Turabian StyleXiaoming, Huang, and Ismail Bakheit Eldouma. 2019. "Experimental Study to Determine the Most Preferred Additive for Improving Asphalt Performance Using Polypropylene, Crumb Rubber, and Tafpack Super in Medium and High-Temperature Range" Applied Sciences 9, no. 8: 1567. https://doi.org/10.3390/app9081567
APA StyleXiaoming, H., & Eldouma, I. B. (2019). Experimental Study to Determine the Most Preferred Additive for Improving Asphalt Performance Using Polypropylene, Crumb Rubber, and Tafpack Super in Medium and High-Temperature Range. Applied Sciences, 9(8), 1567. https://doi.org/10.3390/app9081567

