Next Article in Journal
Coded Excitation for Crosstalk Suppression in Multi-line Transmit Beamforming: Simulation Study and Experimental Validation
Previous Article in Journal
Influence of Fuel Injection, Turbocharging and EGR Systems Control on Combustion Parameters in an Automotive Diesel Engine
 
 
Font Type:
Arial Georgia Verdana
Font Size:
Aa Aa Aa
Line Spacing:
Column Width:
Background:
Article

Investigation of Uncertain Factors on Measuring Residual Stress with Critically Refracted Longitudinal Waves

Science and Technology on Electronic Test and Measurement Laboratory, North University of China, Taiyuan 030051, China
*
Author to whom correspondence should be addressed.
Appl. Sci. 2019, 9(3), 485; https://doi.org/10.3390/app9030485
Submission received: 12 December 2018 / Revised: 22 January 2019 / Accepted: 24 January 2019 / Published: 31 January 2019
(This article belongs to the Section Acoustics and Vibrations)

Abstract

Critically refracted longitudinal (LCR) waves are commonly used to evaluate the residual stress of a material. The utilization of LCR waves is advantageous in that these waves are not sensitive to the texture of the material. Thus, LCR can be considered as a bulk longitudinal mode and can penetrate into the material well below its surface. However, while measuring the residual stress, the precision of the LCR wave travel-time is influenced by several uncertain factors. In order to further improve the accuracy of test results, we developed a measurement approach based on three aspects. First, the distances between the transmitter and the receivers were determined by transducer signal analysis. Second, for the residual stress detection to be consistent, transducers with different frequencies presented similar beam divergence angles. Finally, three different frequencies were used to evaluate the residual stress throughout the plate thickness. Based on the results of the above analysis, we used LCR waves to test 304 stainless steel plates. The detection error of residual stress measurement was ca. ±23 MPa. When compared with the X-ray diffraction approach, our method showed similar trends for the same regions of the specimens.

1. Introduction

Residual stresses are created during most manufacturing processes involving thermal treatment, deformation, or other operations required to reshape materials or change their properties. In addition, residual stresses may exist in the raw materials before processing or may arise during in-service loading operations [1]. The properties of engineering materials and their structural components (e.g., distortion, fatigue life, corrosion resistance, dimensional stability, and brittle fracture) can be greatly influenced by residual stress [2,3]. The effects of residual stress on these properties increase the repairing/restoring cost. Thus, residual stress analysis is an indispensable design tool when working with structural elements or evaluating their reliability under actual service conditions.
Residual stress evaluation methods can be destructive, semidestructive, or nondestructive [4]. The main destructive and semidestructive techniques include contour, sectioning, hole-drilling, ring-core, and deep-hole methods [5,6,7,8,9], among others. However, these methods are complicated, time-consuming, and will cause damage to the material. Typical nondestructive methods include neutron diffraction, X-ray, ultrasound, and magnetic-based techniques [10,11,12]. Neutron diffraction requires several minutes to over an hour and the measurements are costly. The X-ray method is harmful to human health and sensitive to the direction of detection. The magnetic-based method is only applied to measure residual stresses of ferromagnetic materials. The ultrasonic method is advantageous because it is portable, not expensive, harmless to operators, and provides real-time results. In recent years, ultrasound has been widely used in defect detection, residual stress measurement, and many other applications. There are numerous types of ultrasonic testing methods for determining residual stresses in engineering materials, including ultrasonic longitudinal wave, ultrasonic shear wave (and their combination with the former), ultrasonic surface wave, ultrasonic guided wave, and ultrasonic critically refracted longitudinal (LCR) wave methods [13,14,15]. The latter method has been demonstrated to possess the highest sensitivity to strain among the ultrasonic wave methods [16].
Many researchers have worked on detecting residual stress by LCR waves. Jia et al. [17] analyzed the temperature effect and found that the LCR waves propagating in the stress direction is more sensitive than those propagating in the thickness direction of materials. Habibalahi et al. [18] proved that it is feasible to use the neural network to improve the accuracy and reliability of residual stress measurement by the ultrasonic method. The results of Javadi et al. [19] showed that longitudinal residual stresses were increased by using a clamp during the welding of stainless steel plates. Xu et al. [20] proposed the method of calibration of a stress coefficient to improve detection precision. Zhan et al. [21] discussed the effect of different test directions on the result of surface wave velocity measurement. Zhu et al. [22] studied the effects of initial stress d σ 0 and microstructure on the stress coefficient K and flight time t 0 in stress-free conditions. Liu et al. [23] discussed the optimal step length and grain size for residual stress measurement by LCR waves. Ramasamy et al. [24] proved the effectiveness of LCR waves by comparing the finite element simulation method with the LCR experimental method. Wang et al. [25] presented the velocity variations of LCR waves induced by orthotropic anisotropy and internal stresses.
Among the above references, several uncertain factors involved in measuring residual stress with LCR wave have been analyzed, such as temperature, neural network, clamping effect, stress coefficient, test direction, microstructure, and grain size. For the purpose of further improving the accuracy of residual stresses evaluation by LCR waves, another three factors have been studied in this paper. First, the distances between the transmitter and the receivers have been discussed from sound field and signal processing perspectives. Second, the frequency and diameter of the transducer have been analyzed. Finally, three different frequencies of transducers were used to evaluate the residual stresses throughout the 304 stainless steel plate thickness.

2. Theoretical Background

Stress measurement by ultrasonic methods is based on the linear variation of the velocity of an ultrasonic wave with the stress. This relationship is denoted as an acoustoelastic effect within the elastic limit, and it provides the flight time variation of the ultrasonic wave with the stress [26]. As indicated in Figure 1, the LCR method uses a special longitudinal bulk wave, which propagates parallel to the surface and penetrates below the surface.
Reflection or refraction occurs when an ultrasonic wave propagates from one medium to another. For example, when a longitudinal wave is transmitted from a polymethyl methacrylate (PMMA) wedge to steel (Figure 1), shear and longitudinal waves are both created in the steel. The propagation angles of the waves follow Snell’s law:
C L 1 sin α C R = C L 2 sin β L = C S 2 sin β S
where C L 1 is the longitudinal velocity in the PMMA and C L 2 and C S 2 are the longitudinal and shear velocities in the steel, respectively. As suggested by Snell’s law, when the incident angle α C R increases from 0° to 27.8°, the refraction angle β L reaches 90° (i.e., first critical angle), and the wave is called the LCR wave. The velocity of the LCR waves propagating parallel to the load direction correlates with the strain ( σ ) according to the equation below:
ρ 0 V 11 2 = λ + 2 μ + ( 2 l + λ ) θ + ( 4 m + 4 λ + 10 μ ) σ 1
where ρ 0 represents the initial density and the first and the second subscript of the velocity ( V ) indicate the propagation and polarization direction of the wave, respectively. V 11 is the speed of the LCR wave traveling parallel to the applied stress; λ and μ are both second-order elastic constants (Lame constant); l and m represent the third elastic constants (Murnaghan constant); θ = σ 1 + σ 2 + σ 3 , and σ 1 , σ 2 , and σ 3 are the homogeneous triaxial principal strains. When dealing with uniaxial stress conditions, we know that σ 1 = ε , σ 2 = σ 3 = υ × ε is the strain along the normal direction (i.e., parallel to the propagation direction), and υ is the Poisson’s ratio. With these values, Equation (2) becomes:
ρ 0 V 11 2 = λ + 2 μ + [ 4 ( λ + 2 μ ) + 2 ( μ + 2 m ) + ν μ ( 1 + 2 λ μ ) ] · ε
A list of materials and their elastic constants are given in Table 1 [27].
The relative sensitivity measures the degree to which the velocity varies with the strain. This parameter is estimated by Equation (4), where K is a dimensionless constant for LCR waves, which can be evaluated during a uniaxial tensile test or calculated from Equation (4). For anisotropic elastomers, the independent second- and third-order elastic constant are 21 and 56, respectively. For isotropic elastomers, there are two independent second-order elastic constants (Lame constants λ and μ ) and three independent third-order elastic constants (Murnaghan constants l , m , and n ) [28].
d V 11 V 11 d ε = 2 + μ + 2 m + ν μ ( 1 + 2 l λ ) λ + 2 μ = K
As shown in Equation (4), the acoustoelastic constant K is related to the Lame constant and Murnaghan constant. From Equation (4), it can be deduced that the calculation formula of K is
K = 2 V 0 ( 3 λ + 2 μ ) ( 4 λ + 10 μ + 4 m μ + 2 l 3 λ 10 μ 4 m λ + 2 μ ) L
where V 0 is the velocity of the material and L is the travel distance for the ultrasonic wave. For steel, V 0 = 5790 m/s and L = 37.6 mm. The value of K can be calculated from the parameters in Table 1: K = 11.47 . Compared with the result of 9.68 obtained by tensile test later in this paper, there are some differences. However, for the residual stress detection of in-service components, it is of certain reference value because the acoustoelastic constants cannot be obtained by tensile test.
The values of the acoustoelastic constants in other directions can be obtained by a similar method. Stress can be estimated by the axial application of the stress–strain relationship to elastic solids. Equation (4) can be reorganized to describe the variation of stress with time-of-flight ( d t t 0 ), as indicated in the following equation:
d σ = E ( d V 11 V 11 ) K = E K ( d t t 0 )
where represents the stress variation, E is the elastic modulus, and t 0 is the time required for the wave to cover a stress free path in the studied material. For a given transducer distance, the LCR wave travels faster in a compressive stress field as compared to a tensile stress. The acoustoelastic constant ( K ) describes how the velocity or the travel time varies with the stress.

3. Experiment

3.1. Description of the Samples

The specimens studied were 304 stainless steel bars, with dimensions of 390 mm × 60 mm × 6 mm (15.35 in × 2.36 in × 0.24 in) (length × width × thickness). To facilitate the experiments, the front surfaces were polished with a milling machine to a roughness ( R a ) of 2.83 μm. The calibration sample underwent a heat treatment (4 h at 600 degrees Celsius, followed by slow cooling) for stress relief.

3.2. Measurement Device

The ultrasonic system (Figure 2) consisted of several functional units: three transducers (one transmitter (T) and two receivers (R1 and R2)), a pulser/receiver, and a computer (PC). The pulser/receiver generates high-voltage electrical pulses. Driven by the pulser, the transmitting transducer produces high ultrasonic energy with a high frequency. The sound energy is introduced and emitted through the 304 stainless steel in the form of an LCR wave. The LCR wave is converted by the receiving transducers (R1 and R2) into an electrical signal, which is shown on the computer screen. The pulse received at R2 appears on the digital screen later than the pulse received at R1. Double receiving transducers are advantageous in that they eliminate environment effects (e.g., temperature and coupling conditions, among others). Time-of-flight was measured using the zero-crossing method between the two receiver echoes R1 and R2. This measuring device showed a time resolution of 0.5 ns.
Three groups of transducers with different frequencies were used to detect residual stresses of 10 samples. This means that there were three groups, and each group consisted of three transducers. The specimens were numbered from S1 to S10, with S1 being the reference specimen free of stresses determined in advance. Samples S2 through S10 were tested for travel time using the LCR technique, and each travel time was compared to the travel time of S1. The residual stresses were evaluated using Equation (5). The parameters of the different frequency transducers are shown in Table 2.
The results obtained with ultrasonic and X-ray diffraction methods were compared in order to validate our measurements. After the measurement of residual stress using the X-ray diffraction method, the sample was electrochemically polished (because the X-ray beam penetrates to a depth of only a few microns), and the measurement was repeated. The thickness of each etched layer was approximately 20 μm. The surface was etched 10 times, which enabled us to reach a depth of 200 μm below the machined surface.
An X-ray stress analyzer from Proto Corporation was used herein, and the main parameters of the device are shown in Table 3. Before the experiment, the X-ray stress analyzer was used to detect the residual stress in the reference bar (S1). A value of −0.78 ± 3.45 MPa was obtained, indicating that the analyzer was sufficiently accurate for our purposes.

3.3. Distance between the Transmitter and the Receiver

A wave propagates from the transmitter to the base surface (the 1st leg). The wave is subsequently reflected back, continuing its path until reaching the surface wall (the 2nd leg), as shown in Figure 3. The 1st and 2nd legs generate a sound path ( S P ). The skip distance ( S K D ) is a term that measures the distance between the point of excitation (beginning of S P ) and the end of the second leg (end of S P ).
According to Snell’s law, the refraction angle β S is determined by the following equation:
sin β S = C S 2 C L 2 = 3100 5790 = 0.5354 β S = 32.4 °
The depth of the 304 stainless steel specimens ( D ) is 6 mm. The following equation is adapted:
S K D = 2 × D × tan β S = 2 × 6 × tan ( 32.4 ° ) = 7.62 m m
The length of the surface distance ( S D ) is 3.81 mm, which is half that of S K D . The segments L 1 , L 2 , and L 3 of the S P in Figure 3 correspond to the 1st, 2nd, and 3rd legs, respectively. S K D , S D , L 1 , L 2 , and L 3 can be found using trigonometric functions by setting β S as equal to 32.4 . The 1st leg can be calculated as follows:
L 1 = S D sin β S = 3.81 sin ( 32.4 ) = 3.81 0.5354 = 7.12 m m
The distance between the transmitter and receiver (l) depends on the first leg (L1) and SKD. The received waves for different transmitter–receiver distances are displayed in Figure 4. The number of received waves is proportional to the transmitter–receiver distance. This can be explained by Snell’s law; thus, when the refracted shear waves reflect from the back wall to the front wall, numerous reflected shear waves turn into longitudinal waves. However, the amplitude of the LCR wave is inversely related to the transmitter–receiver distance, since a larger distance attenuates the sonic energy. Therefore, the distance between the transmitting probe and the receiving probe should be as large as possible to avoid integer multiples of SKD, so as to achieve accurate identification of LCR waves. In this paper, 37.6 mm was selected as the distance from the transmitter to the first receiver and 7.6 mm was selected as the distance between two receivers.

3.4. Frequency and Diameter of the Transducer

The beam angle plays an important role in the selection of transducers for several reasons. First, because of the low concentration of the sound field, the propagation of the beam reduces the amplitude of the reflection. Second, the light beam’s spreading may hinder the interpretation of the signal due to other features outside the reflective or examination region from the side of the test subject. Therefore, representing the sound field generated by the transducer is a prerequisite for understanding the observed signal.
The beam spread depends to a large extent on the frequency and diameter of the transducer. The larger the beam angle, the poorer the directivity and the more dispersive the acoustic energy. The directivity of the sound field can be improved by decreasing frequency and increasing diameter. The specific relationship is as follows:
sin θ = 1.2 × V D f
where θ is the angle between the tangent of the main lobe beam and the adjacent secondary lobe beam and the axis of the main beam, V is the sound velocity in the material (inch/sec or m/sec), D is the diameter of the transducer (inch or mm), and f is the frequency of the transducer (Hz).
Figure 5a–c shows the received waves for a frequency of 2.5 MHz and transducer diameters of 6 mm, 8 mm, and 10 mm, respectively. The beam divergence angle of each sample was calculated according to Equation (9), and the respective results were θ a = 27.6 ° , θ b = 20.3 ° , and θ c = 16.1 ° . The waveform shown in Figure 5c was clearly observed and possessed a clear outline. Therefore, for the 2.5 MHz transducer, the optimum diameter was 10 mm. This means that the suitable beam divergence angle of the 2.5 MHz transducer was ca. 16 ° .
The signals shown in Figure 5d–f were obtained for a diameter of 6 mm and varying frequencies (1, 2.5, and 5 MHz, respectively). Similarly, since sin θ d > 1 , θ d does not exist, in other words, the energy of this signal scattered, and the signals cannot be interpreted. θ e and θ f were 27.6° and 13.4°, respectively. For a given transducer diameter of 6 mm, only the waves received by the 5 MHz transducer were available. Thus, for the 6 mm transducer, the optimum frequency was 5 MHz. Therefore, the proper beam divergence angle of the 6 mm transducer was approximately 13°.
According to the above analysis, in order to ensure the consistency of residual stress detection, transducers with different frequencies should have similar beam divergence angles. In this paper, we selected 16° as the beam divergence angle. This means that the diameter of the 1 MHz transducer is 25 mm, while the diameters of 2.5 and 5 MHz transducers can be 10 and 5 mm, respectively.

3.5. Evaluation of the Calibration Constants

The calibration constants must be evaluated before measuring the residual stress. Calibration can be performed in a lab by using a tension–compression testing machine providing standard stress values. All calibration samples have been stress-relieved (the oven is heated at 600 degrees Celsius for 4 h, then cooled naturally in the furnace).
The value of t 0 was determined directly from the stress-free samples, while K was experimentally derived from a uniaxial tensile test involving ultrasonic measurements. As described by Equation (6), K is the slope of the relative variation curve of the time of flight:
K = 1 d σ ( t t 0 t 0 )
where t and t 0 are the time of flight estimated between the two receivers for stressed and unstressed samples, respectively, and d σ represents the applied stress. The relationship between the tensile and the transit time is demonstrated in Figure 6.
Axial loadings of up to 40% of the elastic limit were applied using a tensile testing machine. The tensile testing machine load was controlled in steps of 20 MPa at a rate of 2 MPa/s. The time delay (10 min) between two steps was required for installing the transducer and recording the ultrasonic waveforms.

3.6. Determination of the LCR Penetration Depth

In our experiments, the time of flight was measured for 10 samples. The coupling fluid was reloaded after each measure to recreate the same test conditions. When the LCR technique is used over a limited wall thickness, the LCR wave penetration depth varies as a function of the frequency. Since no relation exists between the LCR depth and the frequency, an experimental measurement should be made.
The residual stress of the whole plate thickness is evaluated with three different frequencies. Therefore, the depth should be measured accurately for all frequencies. Three transducers with the same frequency, each acting as a transmitter or receiver, were employed to produce the LCR wave. A slot is dug between the two probes with a milling tools to cut off the LCR wave propagation in the detected object. The slot depth was increased in steps and the LCR wave amplitude was measured for each step. When the amplitude of the LCR wave was equal to the noise, the milling procedure was stopped. The slot depths correspond to the penetration depths of the LCR wave for the optimum test frequency. The slot depths were 5.98, 2.48, and 1.28 mm for transducers with nominal frequencies of 1, 2.5, and 5 MHz, respectively.

4. Results and Discussion

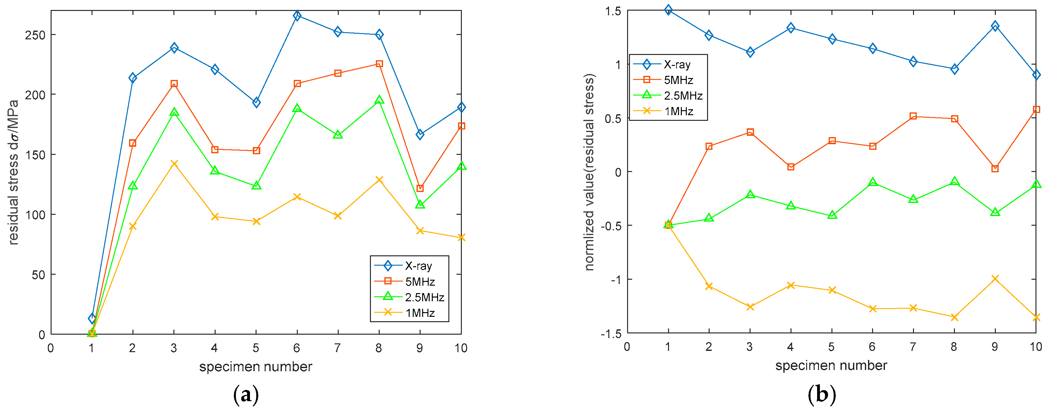
Residual stress was measured for each specimen using three groups of transducers and an X-ray stress analyzer, with the detection area being divided into 10 equal blocks. The mean value of the residual stress was obtained from 10 different blocks for each sample. Figure 7a shows the LCR wave results for the 1, 2.5, and 5 MHz transducers, respectively, and a comparison with the X-ray diffraction data for different specimens is also given. As shown in Figure 7b, the difference between the X-ray and ultrasonic methods at different frequencies was more evident when normalized values were used to display residual stress measurements.
The largest deviation of the ultrasonic and X-ray results for the 1 MHz frequency was 123.24 MPa (sample S2). This large deviation resulted from the different thickness of the layers for the ultrasonic and X-ray diffraction methods (ca. 5.98 mm (0.23 in) and 200 µm (0.0078 in)). The deviation of the ultrasonic and X-ray results for the 2.5 and 5 MHz frequencies were 90.50 and 54.50 MPa, respectively. This suggests that the X-ray diffraction is a surface method, which penetrates no more than 1 mm. The average deviations of all the specimens were 39.90, 56.08, and 79.01 MPa for the tests involving 5, 2.5, and 1 MHz transducers, respectively. These results suggested that the LCR wave provided the mean residual stresses within a certain transducer penetration depth. Therefore, where the residual stress is to be measured at an exact distance from the surface, the ultrasonic method is not the ideal option.
For the S2 specimen, the residual stresses measured by the 5, 2.5, and 1 MHz transducers are shown in Figure 8. The deviations of the 10 different specimens were ±23, ±19, and ±13 MPa for the tests involving 5, 2.5, and 1 MHz transducers, respectively. The samples with different test frequencies were compared to show that the LCR wave method is more accurate at low frequencies. Therefore, the deviation of the 5 MHz LCR wave is higher than the deviation of the 2.5 MHz LCR wave, and the minimum deviation happens for the 1 MHz LCR wave. The higher errors obtained for higher frequencies can be explained by the low frequency transducers, which create echoes in the receiver that are sharper and more powerful than the high frequency transducers. Therefore, it is desirable to increase the “gain” by using higher frequency transducers to avoid low resolutions and higher time-of-flight errors.

5. Conclusions

The uncertain factors involved in measuring residual stress with LCR waves, such as the distance between the transmitter and receiver and the diameter and frequency of the transducer, have been investigated. The distance between the transmitting probe and the receiving probe should be as large as possible to avoid integer multiples of S K D , so as to achieve accurate identification of LCR waves. In order to ensure the consistency of the results of residual stress detection, probes with different frequencies and diameters should have the same beam divergence angle. On the basis of obtaining the acoustoelastic constants with a tensile testing machine and the stress-free sample by annealing process, the residual stresses of 10 different steel bars have been measured with LCR waves. The results were consistent with X-ray diffraction, and the detection error was ca. ±23 MPa. It is an important reference for further research on the residual stress measurement with LCR waves.

Author Contributions

Conceptualization, S.Y. and M.W.; Methodology, S.Y.; Software, S.Y. and L.Y.; Validation, L.Y., and S.Y.; Formal Analysis, M.W.; Investigation, L.Y.; Resources, M.W.; Data Curation, L.Y.; Writing—Original Draft Preparation, S.Y.; Writing—Review & Editing, S.Y. and M.W.; Visualization, L.Y.; Supervision, M.W.; Project Administration, S.Y. and M.W.; Funding Acquisition, M.W.

Funding

This work was supported by the National Key Scientific Instrument and Equipment Development Projects of China (Grant No. 2013YQ240803), and the International Science & Technology Cooperation Program of Shanxi, China (Grant No. 201803D421032).

Conflicts of Interest

The authors declare no conflict of interest.

References

  1. Schajer, G.S. Practical Residual Stress Measurement Methods; John Wiley & Sons Ltd: Chichester, West Sussex, UK, 2013. [Google Scholar]
  2. Totten, G.E.; Howes, M.; Inoue, T. Handbook of Residual Stress and Deformation of Steel; ASM International: Geauga County, OH, USA, 2002. [Google Scholar]
  3. Huang, X.; Sun, J.; Li, J. Effect of initial residual stress and machining-induced residual stress on the deformation of aluminium alloy plate. Strojniški Vestnik-J. Mech. Eng. 2015, 61, 131–137. [Google Scholar] [CrossRef]
  4. Sadeghi, S.; Karimi, N.Z.; Fotouhi, M.; Hasani, M.; Ahmadi Najafabadi, M.; Pavlovic, A. Residual stress evaluation in friction stir welding of aluminum plates by means of acoustic emission and ultrasonic waves. FME Trans. 2018, 46, 230–237. [Google Scholar] [CrossRef]
  5. Muránsky, O.; Hamelin, C.J.; Hosseinzadeh, F.; Prime, M.B. Evaluation of a self-equilibrium cutting strategy for the contour method of residual stress measurement. Int. J. Press. Vessels Pip. 2017, 164, 22–31. [Google Scholar] [CrossRef]
  6. Bouffioux, C.; Pesci, R.; Boman, R.; Caillet, N.; Ponthot, J.P.; Habraken, A.M. Comparison of residual stresses on long rolled profiles measured by X-ray diffraction, ring core and the sectioning methods and simulated by FE method. Thin-Walled Struct. 2016, 104, 126–134. [Google Scholar] [CrossRef]
  7. Lothhammer, L.R.; Viotti, M.R.; Albertazzi, A., Jr.; Veiga, C.L. Residual stress measurements in steel pipes using DSPI and the hole-drilling technique. Int. J. Press. Vessels Pip. 2017, 152, 46–55. [Google Scholar] [CrossRef]
  8. Zuccarello, B.; Menda, F.; Scafidi, M. Error and Uncertainty Analysis of Non-Uniform Residual Stress Evaluation by Using the Ring-Core Method. Exp. Mech. 2016, 56, 1–16. [Google Scholar] [CrossRef]
  9. Garza, C.; Das, R.; Shterenlikht, A.; Pavier, M. Measurement of assembly stress in composite structures using the deep-hole drilling technique. Compos. Struct. 2018, 202, 119–126. [Google Scholar] [CrossRef]
  10. Fan, K.; Ruiz-Hervias, J.; Gurauskis, J.; Sanchez-Herencia, A.J.; Baudín, C. Neutron diffraction residual stress analysis of Al2O3/Y-TZP ceramic composites. Boletín De La Sociedad Española De Cerámica Y Vidrio 2016, 55, 13–23. [Google Scholar] [CrossRef]
  11. Jiménez, I.; López, C.; Martinez-Romero, O.; Mares, P.; Siller, H.R.; Diabb, J.; Sandoval-Robles, J.A.; Elías-Zúñiga, A. Investigation of residual stress distribution in single point incremental forming of aluminum parts by X-ray diffraction technique. Int. J. Adv. Manuf. Technol. 2017, 91, 2571–2580. [Google Scholar] [CrossRef]
  12. Vourna, P.; Ktena, A.; Mamalis, A.G.; Hristoforou, E.; Chen, P.W.; Zhou, Q. Magnetic Barkhausen Measurements for Determining Residual Stress Distribution in Welded Electrical Steels. In Materials Science Forum; Trans Tech Publications: Zürich, Switzerland, 2016; Volume 856, pp. 147–152. [Google Scholar]
  13. Pan, Q.; Mi, Y.; Wei, Y.; Ren, Y. A method of testing residual stress by ultrasonic shear and longitudinal waves. In Proceedings of the IEEE International Conference on Mechatronics & Automation, Harbin, China, 7–10 August 2016. [Google Scholar]
  14. Tolipov, K.B. Broadband Device for Measurement of Surface Acoustic Wave Velocities for Diagnostics of Residual Stress. Meas. Tech. 2016, 59, 1–4. [Google Scholar] [CrossRef]
  15. Martinez, M.; Pant, S.; Yanishevsky, M.; Backman, D. Residual stress effects of a fatigue crack on guided lamb waves. Smart Mater. Struct. 2017, 26, 115004. [Google Scholar] [CrossRef]
  16. Bray, D.E.; Tang, W. Subsurface stress evaluation in steel plates and bars using the LCR ultrasonic wave. Nucl. Eng. Des. 2001, 207, 231–240. [Google Scholar] [CrossRef]
  17. Jia, D.; Bourse, G.; Chaki, S.; Lacrampe, M.F.; Robin, C.; Demouveau, H. Investigation of Stress and Temperature Effect on the Longitudinal Ultrasonic Waves in Polymers. Res. Nondestr. Eval. 2014, 25(1), 20–29. [Google Scholar] [CrossRef]
  18. Habibalahi, A.; Moghari, M.D.; Samadian, K.; Mousavi, S.S.; Safizadeh, M.S. Improving pulse eddy current and ultrasonic testing stress measurement accuracy using neural network data fusion. IET Sci. Meas. Technol. 2015, 9, 514–521. [Google Scholar] [CrossRef]
  19. Javadi, Y.; Hasani, M.; Sadeghi, S. Investigation of Clamping Effect on the Welding Sub-surface Residual Stress and Deformation by Using the Ultrasonic Stress Measurement and Finite Element Method. J. Nondestr. Eval. 2015, 34, 3. [Google Scholar] [CrossRef]
  20. Xu, C.; Song, W.; Pan, Q.; Li, H.; Liu, S. Nondestructive testing residual stress using ultrasonic critical refracted longitudinal wave. Phys. Procedia 2015, 70, 594–598. [Google Scholar] [CrossRef]
  21. Zhan, Y.; Liu, C.; Kong, X.; Lin, Z. Experiment and numerical simulation for laser ultrasonic measurement of residual stress. Ultrasonics 2017, 73, 271–276. [Google Scholar] [CrossRef]
  22. Zhu, Q.; Chen, J.; Gou, G.; Chen, H.; Li, P.; Gao, W. Residual Stress Measurement and Calibration for A7N01 Aluminum Alloy Welded Joints by Using Longitudinal Critically Refracted (LCR) Wave Transmission Method. J. Mater. Eng. Perform. 2016, 25, 4181–4189. [Google Scholar] [CrossRef]
  23. Liu, B.; Miao, W.; Dong, S.; He, P. Grain size correction of welding residual stress measurement in a carbon steel plate using the critical refraction of longitudinal waves. Res. Nondestr. Eval. 2017, 1–15. [Google Scholar] [CrossRef]
  24. Ramasamy, R.; Ibrahim, Z.; Chai, H.K. Numerical investigations of internal stresses on carbon steel based on ultrasonic LCR waves. J. Phys. Conf. Ser. 2017, 908. [Google Scholar] [CrossRef]
  25. Wang, W.; Zhang, Y.; Zhou, Y.; Meng, S.; Chen, D. Plane stress measurement of orthotropic materials using critically refracted longitudinal waves. J. Ultrason. 2018. [Google Scholar] [CrossRef] [PubMed]
  26. Egle, D.M.; Bray, D.E. Measurement of acoustoelastic and third-order elastic constants for rail steel. J. Acoust. Soc. Am. 1976, 59, 741–744. [Google Scholar] [CrossRef]
  27. Viktor, H. Structural and Residual Stress Analysis by Nondestructive Methods; Elsevier Press: Amsterdam, The Netherlands, 1997. [Google Scholar]
  28. Song, W.; Xu, C.; Pan, Q.; Song, J. Nondestructive testing and characterization of residual stress field using an ultrasonic method. Chin. J. Mech. Eng. 2016, 29, 365–371. [Google Scholar] [CrossRef]
Figure 1. Generation of LCR waves. PMMA: polymethyl methacrylate.
Figure 1. Generation of LCR waves. PMMA: polymethyl methacrylate.
Applsci 09 00485 g001
Figure 2. Schematic of the experimental critically refracted longitudinal (LCR) wave system (T: transmitting transducer, R1: the first receiving transducer, R2: the second receiving transducer, and PC: personal computer).
Figure 2. Schematic of the experimental critically refracted longitudinal (LCR) wave system (T: transmitting transducer, R1: the first receiving transducer, R2: the second receiving transducer, and PC: personal computer).
Applsci 09 00485 g002
Figure 3. Distance between the transmitter and the receiver ( β S : the refraction angle, l : the distance between transmitting transducer and the first receiving transducer, and D : the plate thickness).
Figure 3. Distance between the transmitter and the receiver ( β S : the refraction angle, l : the distance between transmitting transducer and the first receiving transducer, and D : the plate thickness).
Applsci 09 00485 g003
Figure 4. Received waves for different distances between the transmitter and the receiver (test conditions: frequency of transducers: 5 MHz, diameter of transducers: 6 mm. l: the distance between transmitting transducer and the first receiving transducer, L1 the first leg, SKD: the skip distance).
Figure 4. Received waves for different distances between the transmitter and the receiver (test conditions: frequency of transducers: 5 MHz, diameter of transducers: 6 mm. l: the distance between transmitting transducer and the first receiving transducer, L1 the first leg, SKD: the skip distance).
Applsci 09 00485 g004
Figure 5. Received waves for various diameters and frequencies of the transducer.
Figure 5. Received waves for various diameters and frequencies of the transducer.
Applsci 09 00485 g005
Figure 6. Tension versus transit time. (Test conditions: frequency of transducers: 5 MHz, the distance between transmitting transducer and the first reveiving transducer: 37.6 mm, specimen: 304 stainless steel, environment temperature:26 degrees Celsius, K: the acoustoelastic constant.)
Figure 6. Tension versus transit time. (Test conditions: frequency of transducers: 5 MHz, the distance between transmitting transducer and the first reveiving transducer: 37.6 mm, specimen: 304 stainless steel, environment temperature:26 degrees Celsius, K: the acoustoelastic constant.)
Applsci 09 00485 g006
Figure 7. Comparison between X-ray and LCR waves for different specimens. (a) The residual stress for different specimens; (b) The normalized value of residual stress for different specimens.
Figure 7. Comparison between X-ray and LCR waves for different specimens. (a) The residual stress for different specimens; (b) The normalized value of residual stress for different specimens.
Applsci 09 00485 g007
Figure 8. Residual stress measured at 5 MHz, 2.5 MHz, and 1 MHz for the S2 specimen (the detection area of samples had been divided into 10 equal blocks, and the mean value of the residual stress was obtained from 10 different blocks for each sample).
Figure 8. Residual stress measured at 5 MHz, 2.5 MHz, and 1 MHz for the S2 specimen (the detection area of samples had been divided into 10 equal blocks, and the mean value of the residual stress was obtained from 10 different blocks for each sample).
Applsci 09 00485 g008
Table 1. Lame and Murnaghan constants (in GPa) for some representative materials.
Table 1. Lame and Murnaghan constants (in GPa) for some representative materials.
Materialλ1μ1l2m2n2
Steel (0.12%)11582−301 ± 37−666 ± 6.5−716 ± 4.5
Aluminium (99%)61 ± 125−47 ± 25−342 ± 10−248 ± 10
Copper (99%)10446−542 ± 30−372 ± 5401 ± 5
1 The second-order elastic constants (Lame constants). 2 The third-order elastic constants (Murnaghan constants).
Table 2. Measurement parameters of the different frequency transducers.
Table 2. Measurement parameters of the different frequency transducers.
NumberCenter Frequency f/MHzDetected Depth D/mmCrystal Dimension/mm
151.2810
22.52.4810
315.9810
Table 3. Main parameters of the X-ray stress analyzer.
Table 3. Main parameters of the X-ray stress analyzer.
NameParameter
Tube voltage30 kV (fixed)
Tube current25 mA (continuously adjustable)
X-ray typeKa
TargetMn
Focusing area4 mm × 4 mm

Share and Cite

MDPI and ACS Style

Yang, S.; Wang, M.; Yang, L. Investigation of Uncertain Factors on Measuring Residual Stress with Critically Refracted Longitudinal Waves. Appl. Sci. 2019, 9, 485. https://doi.org/10.3390/app9030485

AMA Style

Yang S, Wang M, Yang L. Investigation of Uncertain Factors on Measuring Residual Stress with Critically Refracted Longitudinal Waves. Applied Sciences. 2019; 9(3):485. https://doi.org/10.3390/app9030485

Chicago/Turabian Style

Yang, Shunmin, Mingquan Wang, and Lu Yang. 2019. "Investigation of Uncertain Factors on Measuring Residual Stress with Critically Refracted Longitudinal Waves" Applied Sciences 9, no. 3: 485. https://doi.org/10.3390/app9030485

APA Style

Yang, S., Wang, M., & Yang, L. (2019). Investigation of Uncertain Factors on Measuring Residual Stress with Critically Refracted Longitudinal Waves. Applied Sciences, 9(3), 485. https://doi.org/10.3390/app9030485

Note that from the first issue of 2016, this journal uses article numbers instead of page numbers. See further details here.

Article Metrics

Back to TopTop