Influence of Soil Parameters on Detecting Voids behind a Tunnel Lining Using an Impact Echo Method
Abstract
1. Introduction
2. Experimental Outline
2.1. Experimental Design
2.2. Test Cases
2.3. Setup and Sensor Location
3. Experimental Study
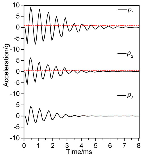
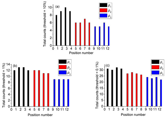
3.1. Soil Density Alteration
3.2. Water Content Alteration
3.2.1. Vibration Response Changes with Water Content
3.2.2. Vibration Responses Affected by Existence of Void
3.3. Void Size Alteration
4. Numerical Analysis
4.1. FE Model and Calibration
4.2. Parameter Analysis
4.2.1. Void Influence
4.2.2. Soil Parameters Influence
4.2.3. Void Size Influence
5. Conclusions
Author Contributions
Funding
Conflicts of Interest
References
- Zhang, S.L. Study on Health Diagnosis and Technical Condition Assessment for Tunnel Lining Structure; Beijing Jiaotong University: Beijing, China, 2012. [Google Scholar]
- Ni, S.H.; Lehmann, L.; Charng, J.-J.; Lo, K.-F. Low-strain integrity testing of drilled piles with high slenderness ratio. Comput. Geotech. 2006, 33, 283–293. [Google Scholar] [CrossRef]
- Sansalone, M.S.W. Impact-Echo Nondestructive Evaluation of Concrete and Masonry; Bullbreier Press: Ithaca, NY, USA, 1997. [Google Scholar]
- Lu, Z.T.; Wang, Z.L.; Liu, D.J. Study on low-strain integrity testing of pipe-pile using the elastodynamic finite integration technique. Int. J. Numer. Anal. Methods Geomech. 2013, 37, 536–550. [Google Scholar] [CrossRef]
- Lin, S.K.; Lin, Y.; Hsu, K.-T.; Yen, T. Use of the normalized impact-echo spectrum to monitor the setting process of mortar. NDT E Int. 2010, 43, 385–393. [Google Scholar] [CrossRef]
- Cheng, C.C.; Yu, C.-P.; Liou, T. Evaluation of interfacial bond condition between concrete plate-like structure and substrate using the simulated transfer function derived by IE. NDT E Int. 2009, 42, 678–689. [Google Scholar] [CrossRef]
- Ma, M.; Liu, J.; Ke, Z.; Gao, Y. Bearing Capacity Estimation of Bridge Piles Using the Impulse Transient Response Method. Shock Vib. 2016, 2016. [Google Scholar] [CrossRef]
- Davis, A.G.; Lim, M.K.; Petersen, C.G. Rapid and economical evaluation of concrete tunnel linings with impulse response and impulse radar non-destructive methods. NDT E Int. 2005, 38, 181–186. [Google Scholar] [CrossRef]
- Ni, S.H.; Lo, K.-F.; Lehmann, L.; Huang, Y.-H. Time–frequency analyses of pile-integrity testing using wavelet transform. Comput. Geotech. 2008, 35, 600–607. [Google Scholar] [CrossRef]
- Olson, L.D. Dynamic Bridge Substructure Evaluation and Monitoring; US Federal Highway Administration: Washington, DC, USA, 2005.
- Olson, L.D.; Sack, D.A.; Ii, K.H.S.; Buchinski, K.W. Stress-wave nondestructive testing of tunnels and shafts. Transp. Res. Rec. 1993, 1415, 88–94. [Google Scholar]
- Guevremont, P. Using NDT for thickness measurement of shotcrete rock support systems in underground mines. Am. Inst. Phys. 2000, 509, 1701–1707. [Google Scholar]
- Bosela, P.A.; Lek-Udom, S.; Mullangi, S.; Delatte, N. Field Comparison of NDE Methods for Tunnel Condition Assessment. In Proceedings of the Fourth Forensic Engineering Congress, Cleveland, OH, USA, 6–9 October 2006. [Google Scholar]
- Aggelis, D.G.; Shiotani, T.; Kasai, K. Evaluation of grouting in tunnel lining using impact-echo. Tunn. Undergr. Space Technol. Inc. Trenchless Technol. Res. 2008, 23, 629–637. [Google Scholar] [CrossRef]
- Lehmann, F. Practical application of non-destructive test methods at a single-shell tunnel lining. In Proceedings of the 7th International PhD Symposium in Civil Engineering, Stuttgart, Germany, 11–13 September 2008. [Google Scholar]
- Song, K.I.; Cho, G.-C. Bonding state evaluation of tunnel shotcrete applied onto hard rocks using the impact-echo method. NDT E Int. 2009, 42, 487–500. [Google Scholar] [CrossRef]
- Song, K.I.; Cho, G.-C. Numerical study on the evaluation of tunnel shotcrete using the Impact-Echo method coupled with Fourier transform and short-time Fourier transform. Int. J. Rock Mech. Min. Sci. 2010, 47, 1274–1288. [Google Scholar] [CrossRef]
- Song, K.I.; Cho, G.C. Health Monitoring of Tunnel Shotcrete Lining Using Nondestructive Testing Methods. In Proceedings of the GeoFlorida, Orlando, FL, USA, 20–24 February 2010. [Google Scholar]
- Boone, S.D.; Barr, P.J.; Bay, J.A. Nondestructive Analysis of a Concrete Tunnel Model Using a Newly Proposed Combined Stress Wave Propagation Method. J. Perform. Constr. Facil. 2009, 23, 432–439. [Google Scholar] [CrossRef]
- Gibon, A. Advances in Shotcrete Impact-Echo Testing; CRC Press: London, UK, 2010. [Google Scholar]
- Ryden, N.; Aurell, O.; Nilsson, P.; Hartlén, J. Impact Echo Q-Factor Measurements Towards Non-Destructive Quality Control of the Backfill in Segmental Lined Tunnels; Springer: City, The Netherlands, 2013. [Google Scholar]
- Azari, H.; Soheil Nazarian, P.E.; Yuan, D. Case Study on Tunnel Lining Assessment Using Stress Wave-Based Nondestructive Testing Methods. In Proceedings of the Geo-Congress, Atlanta, GA, USA, 23–26 February 2014. [Google Scholar]
- Cao, R.N.; Ma, M.; Liang, R.H.; Niu, C. Detecting the Void behind the Tunnel Lining by Impact-Echo Methods with Different Signal Analysis Approaches. Appl Sci. 2019, 9, 3280. [Google Scholar] [CrossRef]
- Huang, W.D.; Y., H.T.; Li, Z.X. Study of the boundary effect on the stiff model box. In Proceedings of the Construction and Management of Subaqueous Tunnel, Nanjing, Jiangsu, China, 28 November 2013. [Google Scholar]
- Code, C.N. Standard for Engineering Classification of Soil; China Planning Press: Beijing, China, 2008; GB/T 50145-2007. [Google Scholar]
- Shiotani, T.; Bisschop, J.; Mier, J.G.M.V. Temporal and spatial development of drying shrinkage cracking in cement-based materials. Eng. Fract. Mech. 2003, 70, 1509–1525. [Google Scholar] [CrossRef]
- Mandelbrot, B.B. The Fractal Geometry of Nature. Am. J. Phys. 1983, 51, 286. [Google Scholar] [CrossRef]
- Maragos, P.; Sun, F.-K. Measuring the Fractal Dimension of Signals: Morphological Covers and Iterative Optimization. IEEE Trans. Signal Process. 1993, 41, 108. [Google Scholar] [CrossRef]
- Lou, J.W.; Long, Y.; Xu, Q.J.; WAN, W.Q. A study on the fractal dimension of blasting seismic waves. Explos. Shock Waves 2004, 24, 363–369. [Google Scholar] [CrossRef]
- Timoshenko, S. Vibration Problems in Engineering, 2nd ed.; Wolfenden Press: New York, NY, USA, 1937. [Google Scholar]
- Solodov, I.; Bai, J.; Busse, G. Resonant ultrasound spectroscopy of defects: Case study of flat-bottomed holes. J. Appl. Phys. 2013, 113, 26–31. [Google Scholar] [CrossRef]































| Case Description | Case Number | Mass Density (kg/m3) | Water Content (%) | Void Dimension (mm × mm × mm) | |
|---|---|---|---|---|---|
| Without Void | With Void | ||||
| Density alteration | D1 | - | ρ1 = 1578 | ω1 | - |
| D2 | - | ρ2 = 1629 | - | ||
| D3 | D3v | ρ3 = 1656 | V1 | ||
| Water content alteration | W1 | W1v | ρ3 | ω1 = 0.3 | V1 |
| W2 | W2v | ω2 = 8.2 | V1 | ||
| W3 | W3v | ω3 = 15.3 | V1 | ||
| Void dimension alteration | - | V1 | ρ3 | ω1 | V1 = 150 × 150 × 100 |
| - | V2 | V2 = 100 × 100 × 100 | |||
| - | V3 | V3 = 50 × 50 × 100 | |||
| Tool/ Instrument | Picture | Description | Tool/ Instrument | Picture | Description |
|---|---|---|---|---|---|
| Test sieves | ![]() | Sieve soil with pore sizes of 0.5, 0.25 and 0.075 mm | Constant temperature oven | ![]() | Dry soil and measure water content |
| Ramming hammer | ![]() | Ram soil | Weighting box | ![]() | Weight soil samples for water content measurement |
| Electronic platform scale | ![]() | Weight and measure soil layer mass | Electronic balance | ![]() | Weight and measure soil mass |
| Tarpaulin | ![]() | Encase soil to ensure water permeates evenly into soils |
| Equipment | Picture | Manufacturer | Model | Main Parameters |
|---|---|---|---|---|
| Dynamic hand hammer | ![]() | Dytran Instruments, Inc., Chatsworth, CA, USA | Dytranpulse™ 5800B4T | Hammer head weight: 100 g Sensitivity: 10 mV/lbf Measurement range: 500 lbf Maximum impact load: 1000 lbf |
| Accelerometer | ![]() | Lance Technologies Inc., Copley, OH, USA | Lance LC0156A | Measurement range: 20 g Working frequency: 0.1 to 6000 Hz Resolution: 0.02 mg |
| Data acquisition | ![]() | China Orient Institute of Noise & Vibration, Beijing, China | INV3062T | Maximum sampling frequency: 51.2 kHz |
| Laptop | ![]() | Lenovo, Beijing, China | Thinkpad |
| Water Content | Threshold of 10% of Peak Value | Threshold of 1% of Peak Value | Threshold of 0.1% of Peak Value | |||
|---|---|---|---|---|---|---|
| Without Void | With Void | Without Void | With Void | Without Void | With Void | |
| ω1 = 0.3% | 5.3 | 8.5 | 9.0 | 13.3 | 23.3 | 33.0 |
| ω1 = 8.2% | 3.8 | 8.3 | 7.5 | 13.0 | 20.8 | 32.0 |
| ω1 = 15.3% | 3.5 | 8.3 | 7.3 | 12.5 | 19.5 | 30.5 |
© 2019 by the authors. Licensee MDPI, Basel, Switzerland. This article is an open access article distributed under the terms and conditions of the Creative Commons Attribution (CC BY) license (http://creativecommons.org/licenses/by/4.0/).
Share and Cite
Ma, M.; Cao, R.; Niu, C.; Zhang, H.; Liu, W. Influence of Soil Parameters on Detecting Voids behind a Tunnel Lining Using an Impact Echo Method. Appl. Sci. 2019, 9, 5403. https://doi.org/10.3390/app9245403
Ma M, Cao R, Niu C, Zhang H, Liu W. Influence of Soil Parameters on Detecting Voids behind a Tunnel Lining Using an Impact Echo Method. Applied Sciences. 2019; 9(24):5403. https://doi.org/10.3390/app9245403
Chicago/Turabian StyleMa, Meng, Rongning Cao, Chao Niu, Hougui Zhang, and Weining Liu. 2019. "Influence of Soil Parameters on Detecting Voids behind a Tunnel Lining Using an Impact Echo Method" Applied Sciences 9, no. 24: 5403. https://doi.org/10.3390/app9245403
APA StyleMa, M., Cao, R., Niu, C., Zhang, H., & Liu, W. (2019). Influence of Soil Parameters on Detecting Voids behind a Tunnel Lining Using an Impact Echo Method. Applied Sciences, 9(24), 5403. https://doi.org/10.3390/app9245403












