Direct Under-Sampling Compressive Sensing Method for Underwater Echo Signals and Physical Implementation
Abstract
Featured Application
Abstract
1. Introduction
2. Direct Under-Sampling Compressive Sensing Method
2.1. Basic Theory of Compressive Sensing
2.2. Direct Under-Sampling Compressive Sensing Method (DUS-CS)
2.2.1. Direct Under-Sampling (DUS) Implementation
2.2.2. Direct Under-Sampling Compressive Sensing (DUS-CS) Method
- 1)
- Initialize the residual . The block structure of the dictionary is .
- 2)
- Selection of atomic blocks. On the -th iteration, select the index to be the largest inner product value of the residual, such that
- 3)
- Update the set of support blocks (choose sub-blocks that best match the signal) and the residuals, such that
- 4)
- Convergence conditions. When , return to the step 2 or stop iterating, then output the reconstructed signal.
3. Application of Compressive Sensing Method with Direct Under-Sampling in Underwater Echo Signals
4. DUS-CS Hardware Design
5. DUS-CS Data Acquisition and Analysis
5.1. Data Acquisition
- a)
- Nyquist sampling is directly taken from ADC, and put it into the data cache.
- b)
- The direct under-sampling is based on the coefficient, n, of under-sampling. Starting the counter, each time one ADC data is received, the counter is incremented by one. When the number of counts equals n, the current number is stored in the buffer and the counter is reset to zero. In this mode, the amount of data is 1/n of Nyquist sampling.
- c)
- Pseudo-random sampling is the random acquisition of one element of data from coefficient n. The specific implementation method is to pre-generate a pseudo-random sequence of numbers. If the data volume is 1/10 of the Nyquist sampling, and random numbers between 0 and 9 are generated, then the probability of choosing a random number is the same. Then, the numbers are saved to the ROM inside the FPGA. The counter is started and the count value is 10, counting from 0 to 9. When the count value is the same as the output value of the ROM, data is put into the buffer. When the counter reaches 9, the output of the ROM is moved to the next address. This is how pseudo-random sampling of data can be achieved.
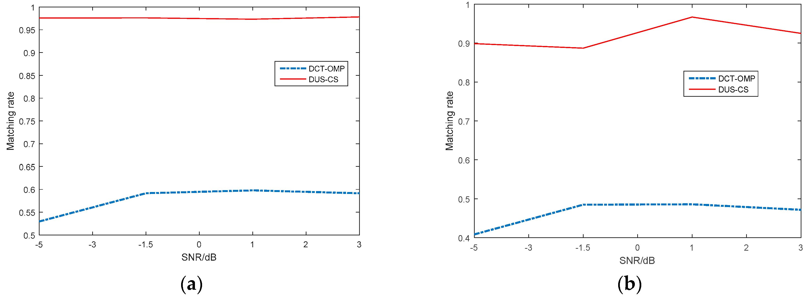
5.2. Data Processing and Analysis
6. Conclusions
Author Contributions
Funding
Acknowledgments
Conflicts of Interest
References
- Nyquist, H. Certain Topics in Telegraph Transmission Theory. Trans. Am. Inst. Electr. Eng. 1928, 47, 617–644. [Google Scholar] [CrossRef]
- Shannon, C.E. A Mathematical Theory of Communication. Bell Syst. Tech. J. 1948, 27, 379–423. [Google Scholar] [CrossRef]
- Candès, E.J. Compressed sampling. In Proceedings of the International Congress of Mathematicians, Madrid, Spain, 22–30 August 2006; Volume 3, pp. 1433–1452. [Google Scholar]
- Tsaig, Y.; Donoho, D.L. Extensions of compressed sensing. Signal Process. 2006, 86, 549–571. [Google Scholar] [CrossRef]
- Donoho, D.L. Compressed sensing. IEEE Trans. Inf. Theory 2006, 52, 1289–1306. [Google Scholar] [CrossRef]
- Shi, G.; Liu, D.; Gao, D. Compressed Sensing Theory and Its Research Progress. Chin. J. Electron. 2009, 37, 1070–1081. [Google Scholar]
- Sun, T.; Cao, H.; Blondel, P.; Guo, Y.; Shentu, H. Construction of Measurement Matrix Based on Cyclic Direct Product and QR Decomposition for Sensing and Reconstruction of Underwater Echo. Appl. Sci. 2018, 8, 2510. [Google Scholar] [CrossRef]
- Pant, J.K.; Lu, W.S.; Antoniou, A. Reconstruction of sparse signals by minimizing a re-weighted approximate ℓ-norm in the null space of the measurement matrix. In Proceedings of the IEEE International Midwest Symposium on Circuits and Systems, Seattle, WA, USA, 1–4 August 2010; pp. 430–433. [Google Scholar]
- De Launey, W.; Levin, D.A. A Fourier-analytic approach to counting partial Hadamard matrices. Cryptogr. Commun. 2010, 2, 307–334. [Google Scholar] [CrossRef][Green Version]
- Kirolos, S.; Laska, J.; Wakin, M.; Duarte, M.; Baron, D.; Ragheb, T.; Massoud, Y.; Baraniuk, R. Analog-to-Information Conversion via Random Demodulation. In Proceedings of the IEEE Dallas/CAS Workshop on Design, Applications, Integration and Software, Richardson, TX, USA, 29–30 October 2006; pp. 71–74. [Google Scholar]
- Laska, J.N.; Kirolos, S.; Duarte, M.F.; Ragheb, T.S.; Baraniuk, R.G.; Massoud, Y. Theory and Implementation of an Analog-to-Information Converter using Random Demodulation. In Proceedings of the IEEE International Symposium on Circuits and Systems, New Orleans, LA, USA, 27–30 May 2007; pp. 1959–1962. [Google Scholar]
- Laska, J.; Kirolos, S.; Massoud, Y.; Baraniuk, R.; Gilbert, A.; Iwen, M.; Strauss, M. Random Sampling for Analog-to-Information Conversion of Wideband Signal. In Proceedings of the 2006 IEEE Dallas/CAS Workshop on Design, Applications, Integration and Software, Richardson, TX, USA, 29–30 October 2006; pp. 119–122. [Google Scholar]
- Yu, Y.; Petropulu, A.P.; Poor, H.V. Measurement Matrix Design for Compressive Sensing–Based MIMO Radar. IEEE Trans. Signal Process. 2011, 59, 5338–5352. [Google Scholar] [CrossRef]
- Pasquero, O.P.; Herique, A.; Kofman, W. Oversampled Pulse Compression Based on Signal Modeling: Application to CONSERT/Rosetta Radar. IEEE Trans. Geosci. Remote. Sens. 2017, 55, 2225–2238. [Google Scholar] [CrossRef]
- Khwaja, A.S.; Ma, J. Applications of Compressed Sensing for SAR Moving-Target Velocity Estimation and Image Compression. IEEE Trans. Instrum. Meas. 2011, 60, 2848–2860. [Google Scholar] [CrossRef]
- Deng, C.; Lin, W.; Lee, B.-S.; Lau, C.T.; Lee, F.B. Robust image compression based on compressive sensing. In Proceedings of the IEEE International Conference on Multimedia and Expo, Suntec City, Singapore, 19–23 July 2010; pp. 462–467. [Google Scholar]
- Li, J.; Fu, Y.; Li, G.; Liu, Z. Remote Sensing Image Compression in Visible/Near-Infrared Range Using Heterogeneous Compressive Sensing. IEEE J. Sel. Top. Appl. Earth Obs. Remote Sens. 2018, 11, 4932–4938. [Google Scholar] [CrossRef]
- Zhou, N.; Zhang, A.; Zheng, F.; Gong, L. Novel image compression–encryption hybrid algorithm based on key-controlled measurement matrix in compressive sensing. Opt. Laser Technol. 2014, 62, 152–160. [Google Scholar] [CrossRef]
- Schiffner, M.; Schmitz, G. Rapid measurement of ultrasound transducer fields in water employing compressive sensing. In Proceedings of the IEEE International Ultrasonics Symposium, San Diego, CA, USA, 11–14 October 2010; pp. 1849–1852. [Google Scholar]
- Ito, T.; Ueno, T.; Kurose, D.; Yamaji, T.; Itakura, T. A 10-bit, 200-MSPS, 105-mW pipeline A-to-D converter. IEICE Electron. Express 2005, 2, 429–433. [Google Scholar] [CrossRef]
- Liu, W.; Chen, G.; Han, X.; Wang, Y.; Xie, Y.; Yang, H. Design methodologies for 3D mixed signal integrated circuits: A practical 12-bit SAR ADC design case. In Proceedings of the 51st ACM/EDAC IEEE Design Automation Conference (DAC), San Francisco, CA, USA, 1–5 June 2014; pp. 1–6. [Google Scholar]
- Voulgari, E.; Noy, M.; Anghinolfi, F.; Krummenacher, F.; Kayal, M. Correction to: Design of a wide dynamic range ADC for current sensing. Analog Integr. Circuits Signal Process. 2018, 96, 371. [Google Scholar] [CrossRef]
- Guo, W.; Kim, Y.; Tewfik, A.H.; Sun, N. A Fully Passive Compressive Sensing SAR ADC for Low-Power Wireless Sensors. IEEE J. Solid-State Circuits 2017, 52, 2154–2167. [Google Scholar] [CrossRef]
- Wang, R.; Zhang, J.; Ren, S.; Li, Q. A reducing iteration orthogonal matching pursuit algorithm for compressive sensing. Tsinghua Sci. Technol. 2016, 21, 71–79. [Google Scholar] [CrossRef]
- Mota, J.F.; Xavier, J.M.; Aguiar, P.M.; Puschel, M. Distributed Basis Pursuit. IEEE Trans. Signal Process. 2012, 60, 1942–1956. [Google Scholar] [CrossRef]
- Yaghoobi, M.; Wu, D.; Davies, M.E. Fast Non-Negative Orthogonal Matching Pursuit. IEEE Signal Process. Lett. 2015, 22, 1229–1233. [Google Scholar] [CrossRef]
- Lin, J. Random Projection Observation Method and Its Application in Ultra-Wideband Signal Sampling. Ph.D. Thesis, Xidian University, Xi’an, China, 2012; pp. 60–64. [Google Scholar]
- Sun, T.; Gao, E.; Chen, H. Block Signal Sparse Decomposition Method for Underwater Target Echo. Acoust. Technol. 2015, 34, 457–461. [Google Scholar]
- Sun, T.; Blondel, P.; Jia, B.; Li, G.; Gao, E. Compressive sensing method to leverage prior information for submerged target echoes. J. Acoust. Soc. Am. 2018, 144, 1406–1415. [Google Scholar] [CrossRef]
- Candés, E.J. The restricted isometry property and its implications for compressed sensing. C. R. Math. 2008, 346, 589–592. [Google Scholar] [CrossRef]
- Whittaker, J.M. Interpolatory Function Theory; Cambridge Univ. Press: Cambridge, UK, 1935. [Google Scholar]
- Tang, W. Highlight model of echoes from sonar targets. Acoust. J. 1994, 2, 131–140. [Google Scholar]
- Chen, S.; Xie, Z.; Yu, Y. Simulation of simplified reflect highlights model from submarine. Audio Eng. 2011, 35, 53–55. [Google Scholar]
- Ma, Q. Research on Signal Reconstruction Algorithms for Compressed Sensing. Master’s Thesis, Nanjing University of Posts and Telecommunications, Nanjing, China, 2013; pp. 12–13. [Google Scholar]












© 2019 by the authors. Licensee MDPI, Basel, Switzerland. This article is an open access article distributed under the terms and conditions of the Creative Commons Attribution (CC BY) license (http://creativecommons.org/licenses/by/4.0/).
Share and Cite
Sun, T.; Li, J.; Blondel, P. Direct Under-Sampling Compressive Sensing Method for Underwater Echo Signals and Physical Implementation. Appl. Sci. 2019, 9, 4596. https://doi.org/10.3390/app9214596
Sun T, Li J, Blondel P. Direct Under-Sampling Compressive Sensing Method for Underwater Echo Signals and Physical Implementation. Applied Sciences. 2019; 9(21):4596. https://doi.org/10.3390/app9214596
Chicago/Turabian StyleSun, Tongjing, Ji Li, and Philippe Blondel. 2019. "Direct Under-Sampling Compressive Sensing Method for Underwater Echo Signals and Physical Implementation" Applied Sciences 9, no. 21: 4596. https://doi.org/10.3390/app9214596
APA StyleSun, T., Li, J., & Blondel, P. (2019). Direct Under-Sampling Compressive Sensing Method for Underwater Echo Signals and Physical Implementation. Applied Sciences, 9(21), 4596. https://doi.org/10.3390/app9214596

