Experimental Investigation into the Seismic Performance of Fully Grouted Concrete Masonry Walls Using New Prestressing Technology
Abstract
1. Introduction
2. Experimental Program
2.1. Test Specimens
2.2. Wall Construction
2.3. Material Properties
2.4. Testing Methodology
2.4.1. Test Setup and Instrumentation
2.4.2. Load Sequence
3. Test Observations and Results
3.1. Global Response and Crack Pattern
3.2. Load–Displacement Response
4. Discussion of Test Results
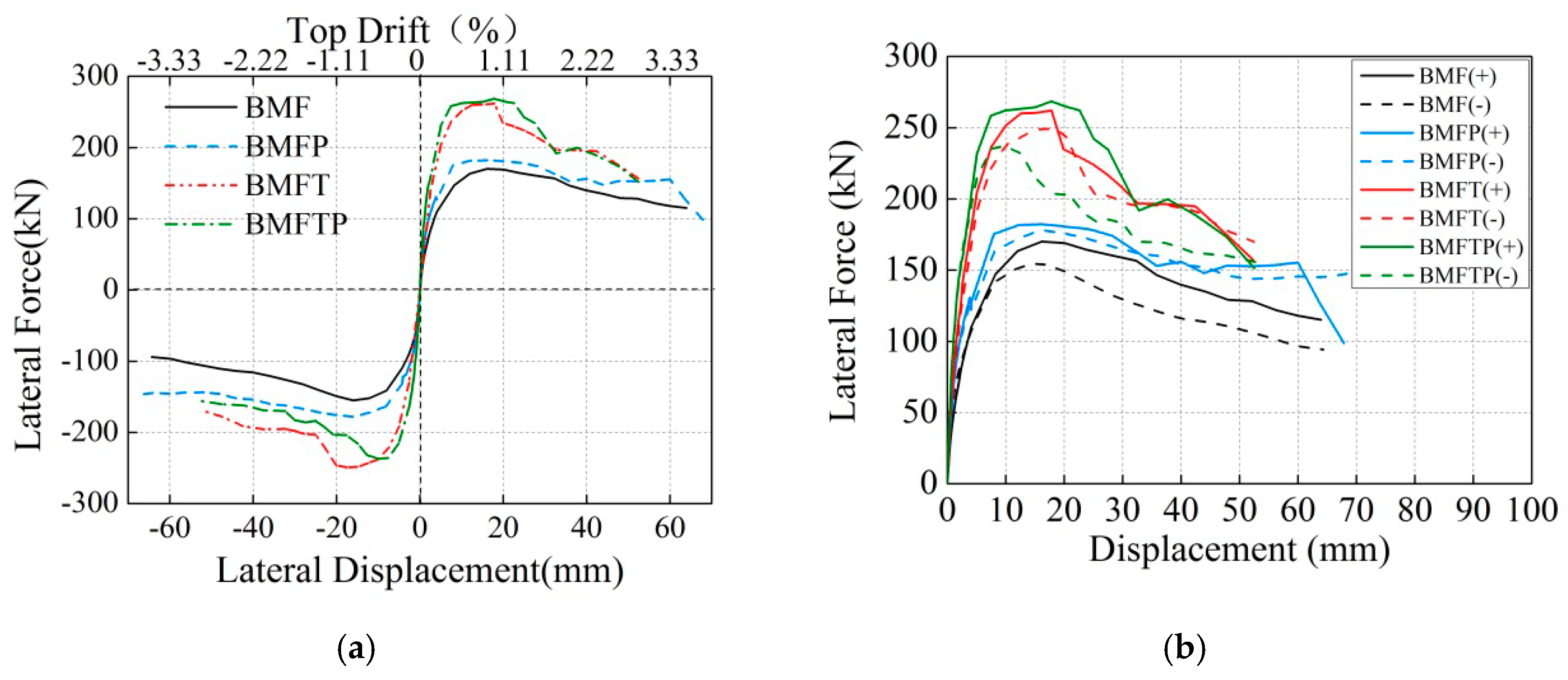
4.1. Envelope Curves
4.2. Displacement Ductility
4.3. Stiffness Degradation
4.4. Energy Dissipation and Equivalent Viscous Damping
5. Conclusions
Author Contributions
Funding
Acknowledgments
Conflicts of Interest
References
- Wang, G.; Li, Y.; Zheng, N.; Ingham, J.M. Testing and modelling the in-plane seismic response of clay brick masonry walls with boundary columns made of precast concrete interlocking blocks. Eng. Struct. 2017, 131, 513–529. [Google Scholar] [CrossRef]
- Haach, V.G.; Vasconcelos, G.; Lourenco, P.B. Experimental Analysis of Reinforced Concrete Block Masonry Walls Subjected to In-Plane Cyclic Loading. J. Struct. Eng. 2010, 136, 452–462. [Google Scholar] [CrossRef]
- Voon, K.C.; Ingham, J.M. Experimental In-Plane Shear Strength Investigation of Reinforced Concrete Masonry Walls. J. Struct. Eng. 2006, 132, 400–408. [Google Scholar] [CrossRef]
- EI-Dakhakhni, W.W.; Banting, B.R.; Miller, S.C. Seismic Performance Parameter Quantification of Shear-Critical Reinforced Concrete Masonry Squat Walls. J. Struct. Eng. 2013, 139, 957–973. [Google Scholar] [CrossRef]
- Bolhassani, M.; Hamid, A.A.; Johnson, C.; Moon, F.L.; Schultz, A.E. New Design Detail to Enhance the Seismic Performance of Ordinary Reinforced Partially Grouted Masonry Structures. J. Struct. Eng. 2016, 142, 04016142. [Google Scholar] [CrossRef]
- Ramirez, P.; Sandoval, C.; Almazan, J.L. Experimental study on in-plane cyclic response of partially grouted reinforced concrete masonry shear walls. Eng. Struct. 2016, 126, 598–617. [Google Scholar] [CrossRef]
- Seif EIDin, H.M.; Galal, K. In-Plane Seismic Performance of Fully Grouted Reinforced Masonry Shear Walls. J. Struct. Eng. 2017, 147, 04017054. [Google Scholar] [CrossRef]
- Seif ElDin, H.M.; Galal, K. Effect of reinforcement anchorage end detail and spacing on seismic performance of masonry shear walls. Eng. Struct. 2018, 157, 268–279. [Google Scholar] [CrossRef]
- Seif ElDin, H.M.; Aly, N.; Galal, K. In-plane shear strength equation for fully grouted reinforced masonry shear walls. Eng. Struct. 2019, 190, 319–332. [Google Scholar] [CrossRef]
- Seif ElDin, H.M.; Ashour, A.; Galal, K. Seismic performance parameters of fully grouted reinforced masonry squat shear walls. Eng. Struct. 2019, 187, 518–527. [Google Scholar] [CrossRef]
- Obaidat, A.T.; Ashour, A.; Galal, K. Stress-Strain Behavior of C-Shaped Confined Concrete Masonry Boundary Elements of Reinforced Masonry Shear Walls. J. Struct. Eng. 2018, 144, 04018119. [Google Scholar] [CrossRef]
- Ma, G.; Huang, L.; Yan, L.; Kasal, B.; Chen, L.; Tao, C. Experimental performance of reinforced double H-block masonry shear walls under cyclic loading. Mater. Struct. 2017, 50, 70. [Google Scholar] [CrossRef]
- Yu, P.; Silva, P.; Nanni, A. In-Plane Performance of Unreinforced Concrete Masonry Strengthened with Prestressed GFRP Bars. J. Compos. Constr. 2017, 21, 04016064. [Google Scholar] [CrossRef]
- Maheri, M.R.; Khajeheian, M.K.; Vatanpour, F. In-plane seismic retrofitting of hollow concrete block masonry walls with RC layers. Structures 2019, 20, 425–436. [Google Scholar] [CrossRef]
- Zoopo, M.D.; Ludovico, M.D.; Balsamo, A.; Prota, A. Experimental In-Plane Shear Capacity of Clay Brick Masonry Panels Strengthened with FRCM and FRM Composites. J. Compos. Constr. 2019, 23, 04019038. [Google Scholar] [CrossRef]
- Laursen, P.T.; Ingham, J.M. Structural testing of enhanced posttensioned concrete masonry walls. ACI Struct. J. 2004, 101, 852–862. [Google Scholar]
- Hassanli, R.; EIgawady, M.A.; Mills, J.E. Experimental Investigation of In-Plane Cyclic Response of Unbonded Posttensioned Masonry Walls. J. Struct. Eng. 2016, 142, 04015171. [Google Scholar] [CrossRef]
- Hassanli, R.; ElGawady, M.A.; Mills, J.E. Simplified approach to predict the flexural strength of self-centering masonry walls. Eng. Struct. 2017, 142, 255–271. [Google Scholar] [CrossRef]
- Rosenboom, O.A.; Kowalsky, M.J. Reversed in-plane cyclic behavior of posttensioned clay brick masonry walls. J. Struct. Eng. 2004, 130, 787–798. [Google Scholar] [CrossRef]
- Wight, G.D.; Kowalsky, M.J.; Ingham, J.M. Shake table testing of posttensioned concrete masonry walls with openings. J. Struct. Eng. 2007, 133, 1551–1560. [Google Scholar] [CrossRef]
- Kalliontzis, D.; Schultz, A.E. Characterizing the In-Plane Rocking Response of Masonry Walls with Unbonded Posttensioning. J. Struct. Eng. 2017, 143, 04017110. [Google Scholar] [CrossRef]
- Ryu, D.; Wijeyewickrema, A.C.; EIGawady, M.A.; Madurapperuma, M.A.K.M. Effects of Tendon Spacing on In-Plane Behavior of Posttensioned Masonry Walls. J. Struct. Eng. 2014, 140, 04013096. [Google Scholar] [CrossRef]
- Guo, Z.; Zheng, S.; Xu, Z.; Sun, W. Experimental Study on Seismic Performance of Ungrouted Confined Concrete Masonry Walls with Unbonded Tendons. Int. J. Civ. Eng. 2019, 17, 333–346. [Google Scholar] [CrossRef]
- Wight, G.D.; Ingham, J.M.; Wilton, A.R. Innovative seismic design of a post-tensioned concrete masonry house. Can. J. Civil. Eng. 2007, 34, 1393–1402. [Google Scholar] [CrossRef]
- Ma, R.; Jiang, L.; He, M.; Fang, C.; Liang, F. Experimental investigations on masonry structures using external prestressing techniques for improving seismic performance. Eng. Struct. 2012, 42, 297–307. [Google Scholar] [CrossRef]
- EI-Dakahkhni, W.W.; Ahmed, A. Seismic response of reinforced-concrete masonry shear-wall components and systems: State of the art. J. Struct. Eng. 2017, 143, 03117001. [Google Scholar] [CrossRef]
- Zhao, Y.; Wang, F. Experimental studies on behavior of fully grouted reinforced-concrete masonry shear walls. Earthq. Eng. Eng. Vib. 2015, 14, 743–757. [Google Scholar] [CrossRef]
- Xu, W.; Yang, X.; Wang, F.; Chi, B. Experimental and Numerical Study on the Seismic Performance of Prefabricated Reinforced Masonry Shear Walls. Appl. Sci. 2018, 8, 1856. [Google Scholar] [CrossRef]
- Xu, W.; Yang, X.; Wang, F. Experimental Investigation on the Seismic Behavior of Newly-Developed Precast Reinforced Concrete Block Masonry Shear Walls. Appl. Sci. 2018, 8, 1071. [Google Scholar] [CrossRef]
- Mavros, M.; Ahmadi, F.; Shing, P.B.; Klinger, R.E.; Mclean, D.; Stavridis, A. Shake-Table Tests of a Full-Scale Two-Story Shear-Dominated Reinforced Masonry Wall Structure. J. Struct. Eng. 2016, 142, 04016078. [Google Scholar] [CrossRef]
- Siyam, M.A.; EI-Dakhakhni, W.W.; Shedid, M.T.; Drysdale, R.G. Seismic Response Evaluation of Ductile Reinforced Concrete Block Structural Walls. I: Experimental Results and Force-Based Design Parameters. J. Perform. Constr. Facil. 2016, 30, 04015066. [Google Scholar] [CrossRef]
- Heerema, P.; Shedid, M.; Konstantinidis, D.; EI-Dakhakhni, W. System-Level Seismic Performance Assessment of an Asymmetrical Reinforced Concrete Block Shear Wall Building. J. Struct. Eng. 2015, 141, 04015047. [Google Scholar] [CrossRef]
- Ashour, A.; EI-Dakhakhni, W. Influence of Floor Diaphragm—Wall Coupling on the System-Level Seismic Performance of an Asymmetrical Reinforced Concrete Block Building. J. Struct. Eng. 2016, 142, 04016071. [Google Scholar] [CrossRef]
- Ministry of Housing and Urban-Rural Development of the People’s Republic of China (MOHURD). Code for Design of Masonry Structures; GB 50003-2011; Architecture & Industry Press: Beijing, China, 2011.
- Ministry of Housing and Urban-Rural Development of the People’s Republic of China (MOHURD). Code for Seismic Design of Buildings; GB 50011-2010; Architecture & Building Press: Beijing, China, 2010.
- Ministry of Housing and Urban-Rural Development of the People’s Republic of China (MOHURD). Standard for Test Method of Basic Mechanics Properties of Masonry; GB/T 50129-2011; Architecture & Building Press: Beijing, China, 2011.
- Ministry of Housing and Urban-Rural Development of the People’s Republic of China (MOHURD). Specification for Seismic Test of Buildings; JGJ/T 101-2015; Architecture & Building Press: Beijing, China, 2015.













| Specimen | Load-Bearing | Reinforcement Configuration | Prestressing | |||||
|---|---|---|---|---|---|---|---|---|
| Length (mm) | Width (mm) | Height (mm) | Flange (mm) | Vertical | Horizontal | Spiral | ||
| BMF | 590 | 190 | 1600 | 0 | 6C16 | 2A6@400 | A6@70 | × |
| BMFP | 590 | 190 | 1600 | 0 | 6C16 | 2A6@400 | A6@70 | √ |
| BMFT | 590 | 190 | 1600 | 590 | 4C14+6C16 | 2A6@400 | A6@70 | × |
| BMFTP | 590 | 190 | 1600 | 590 | 4C14+6C16 | 2A6@400 | A6@70 | √ |
| Material. | Characteristic | Symbol | Strength Value | Coefficient of Variation |
|---|---|---|---|---|
| Mortar | Compressive strength | 11.7 MPa | 6.2% | |
| Concrete | Compressive strength | 29.8 MPa | 4.5% | |
| Masonry prism | Compressive strength | 18.4 MPa | 1.7% | |
| Modulus of elasticity | 1.6 × 105 N/mm2 | 2.1% | ||
| Deformable bar | Yield strength | 458.4 MPa | 1.0% | |
| Ultimate strength | 648.2 MPa | 0.8% | ||
| Plain bar | Yield strength | 226.5 MPa | 7.0% | |
| Ultimate strength | 255.4 MPa | 8.9% |
| No. | Direction | Crack State | Max State | Final State | ||||||
|---|---|---|---|---|---|---|---|---|---|---|
| Q (kN) | △ (mm) | DR (%) | Q (kN) | △ (mm) | DR (%) | Q (kN) | △ (mm) | DR (%) | ||
| BMF | + | +80 | +2.3 | +0.13 | +170 | +16.0 | +0.89 | +115 | +64.0 | +3.55 |
| − | −70 | −1.5 | −0.09 | −154 | −16.0 | −0.89 | −94 | −64.0 | −3.55 | |
| BMFP | + | +100 | +2.2 | +0.12 | +182 | +16.0 | +0.89 | +98 | +68.0 | +3.78 |
| − | −100 | −2.3 | −0.13 | −178 | −16.0 | −0.89 | −147 | -68.0 | −3.78 | |
| BMFT | + | +100 | +1.6 | +0.08 | +262 | +17.5 | +0.97 | +154 | +52.5 | +2.92 |
| − | −110 | −2.0 | −0.14 | −249 | −17.5 | −0.97 | −168 | −52.5 | −2.92 | |
| BMFTP | + | +110 | +1.2 | +0.07 | +268 | +17.5 | +0.97 | +150 | +52.5 | +2.92 |
| − | -100 | −1.1 | −0.06 | −236 | −10.0 | −0.55 | −150 | −52.5 | −2.92 | |
| No. | Direction | Yield State | Ultimate State | Ductility | |||||
|---|---|---|---|---|---|---|---|---|---|
| Q (kN) | △y (mm) | DR (%) | Q (kN) | △u (mm) | DR (%) | ||||
| BMF | + | +143 | +7.7 | +0.43 | +144 | +37.0 | +2.05 | 4.81 | 4.63 |
| − | −126 | −6.3 | −0.35 | −131 | −28.0 | −1.55 | 4.44 | ||
| BMFP | + | +147 | +5.6 | 0.31 | +154 | +35.0 | +1.94 | 6.25 | 6.92 |
| − | −147 | −6.2 | 0.34 | −151 | −47.0 | −2.61 | 7.58 | ||
| BMFT | + | +226 | +6.7 | +0.37 | +222 | +25.5 | +1.42 | 3.79 | 3.34 |
| − | −226 | −8.3 | −0.46 | −212 | −24.0 | −1.33 | 2.88 | ||
| BMFTP | + | +234 | +5.4 | +0.30 | +228 | +28.0 | +1.55 | 5.19 | 5.22 |
| − | −195 | −4.0 | −0.22 | −201 | -21.0 | −1.17 | 5.25 | ||
| No. | Ascending Stage | Max State | Descending Stage | |||||||
|---|---|---|---|---|---|---|---|---|---|---|
| △ (mm) | DR (%) | (kN/mm) | △ (mm) | DR (%) | (kN/mm) | △ (mm) | DR (%) | (kN/mm) | (%) | |
| BMF | 4.0 | 0.22 | 171.6 | 16.0 | 0.89 | 1841.9 | 28.0 | 1.55 | 3381.5 | 10.8 |
| BMFP | 4.0 | 0.22 | 126.6 | 16.0 | 0.89 | 2070.2 | 28.0 | 1.55 | 4024.94 | 10.0 |
| BMFT | 2.5 | 0.14 | 93.9 | 10.0 | 0.56 | 1320.4 | 22.5 | 1.25 | 3133.15 | 8.23 |
| BMFTP | 2.5 | 0.14 | 142.7 | 10.0 | 0.56 | 1402.4 | 22.5 | 1.25 | 2832.45 | 8.19 |
© 2019 by the authors. Licensee MDPI, Basel, Switzerland. This article is an open access article distributed under the terms and conditions of the Creative Commons Attribution (CC BY) license (http://creativecommons.org/licenses/by/4.0/).
Share and Cite
Chi, B.; Yang, X.; Wang, F.; Zhang, Z.; Quan, Y. Experimental Investigation into the Seismic Performance of Fully Grouted Concrete Masonry Walls Using New Prestressing Technology. Appl. Sci. 2019, 9, 4354. https://doi.org/10.3390/app9204354
Chi B, Yang X, Wang F, Zhang Z, Quan Y. Experimental Investigation into the Seismic Performance of Fully Grouted Concrete Masonry Walls Using New Prestressing Technology. Applied Sciences. 2019; 9(20):4354. https://doi.org/10.3390/app9204354
Chicago/Turabian StyleChi, Bin, Xu Yang, Fenglai Wang, Zhiming Zhang, and Yuhu Quan. 2019. "Experimental Investigation into the Seismic Performance of Fully Grouted Concrete Masonry Walls Using New Prestressing Technology" Applied Sciences 9, no. 20: 4354. https://doi.org/10.3390/app9204354
APA StyleChi, B., Yang, X., Wang, F., Zhang, Z., & Quan, Y. (2019). Experimental Investigation into the Seismic Performance of Fully Grouted Concrete Masonry Walls Using New Prestressing Technology. Applied Sciences, 9(20), 4354. https://doi.org/10.3390/app9204354

