Comparative Study of Nano-Slot Silicon Waveguides Covered by Dye Doped and Undoped Polymer Cladding
Abstract
1. Introduction
2. Theoretical Background
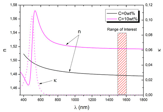
2.1. Organic Polymers in Silicon Photonics
2.2. Silicon-on-Insulator Slot-Waveguides
2.3. Field Confinement Factor
3. Simulation of Slot-Waveguides
4. Results
4.1. Non-Vertical Sidewalls
4.2. Variation of the Waveguide Width
4.3. Influence of the Slab Height
5. Conclusions
Author Contributions
Funding
Acknowledgments
Conflicts of Interest
Appendix A. Raw Data






References
- Leuthold, J.; Koos, C.; Freude, W.; Alloatti, L.; Palmer, R.; Korn, D.; Pfeifle, J.; Lauermann, M.; Dinu, R.; Wehrli, S.; et al. Silicon-Organic Hybrid Electro-Optical Devices. IEEE J. Sel. Top. Quantum Electron. 2013, 19, 114–126. [Google Scholar] [CrossRef]
- Heni, W.; Kutuvantavida, Y.; Haffner, C.; Zwickel, H.; Kieninger, C.; Wolf, S.; Lauermann, M.; Fedoryshyn, Y.; Tillack, A.F.; Johnson, L.E.; et al. Silicon-Organic and Plasmonic-Organic Hybrid Photonics. ACS Photonics 2017, 4, 1576–1590. [Google Scholar] [CrossRef]
- Korn, D.; Palmer, R.; Yu, H.; Schindler, P.C.; Alloatti, L.; Baier, M.; Schmogrow, R.; Bogaerts, W.; Selvaraja, S.K.; Lepage, G.; et al. Silicon-organic hybrid (SOH) IQ modulator using the linear electro-optic effect for transmitting 16QAM at 112 Gbit/s. Opt. Express 2013, 21, 13219–13227. [Google Scholar] [CrossRef] [PubMed]
- Steglich, P.; Mai, C.; Villringer, C.; Pulwer, S.; Casalboni, M.; Schrader, S.; Mai, A. Quadratic electro-optic effect in silicon-organic hybrid slot-waveguides. Opt. Lett. 2018, 43, 3598–3601. [Google Scholar] [CrossRef] [PubMed]
- Kieninger, C.; Kutuvantavida, Y.; Elder, D.L.; Wolf, S.; Zwickel, H.; Blaicher, M.; Kemal, J.N.; Lauermann, M.; Randel, S.; Freude, W.; et al. Ultra-high electro-optic activity demonstrated in a silicon-organic hybrid modulator. Optica 2018, 5, 739–748. [Google Scholar] [CrossRef]
- Wolf, S.; Zwickel, H.; Hartmann, W.; Lauermann, M.; Kutuvantavida, Y.; Kieninger, C.; Altenhain, L.; Schmid, R.; Luo, J.; Jen, A.K.Y.; et al. Silicon-Organic Hybrid (SOH) Mach-Zehnder Modulators for 100 Gbit/s On-Off Keying. Sci. Rep. 2018, 8, 2598. [Google Scholar] [CrossRef] [PubMed]
- Steglich, P. Silicon-on-Insulator Slot Waveguides: Theory and Applications in Electro-Optics and Optical Sensing. In Emerging Waveguide Technology; You, K.Y., Ed.; IntechOpen: Rijeka, Croatia, 2018; Chapter 10. [Google Scholar] [CrossRef]
- Steglich, P.; Mai, C.; Stolarek, D.; Lischke, S.; Kupijai, S.; Villringer, C.; Pulwer, S.; Heinrich, F.; Bauer, J.; Meister, S.; et al. Novel ring resonator combining strong field confinement with high optical quality factor. IEEE Photonics Technol. Lett. 2015, 27, 2197–2200. [Google Scholar] [CrossRef]
- Steglich, P.; Mai, C.; Stolarek, D.; Lischke, S.; Kupijai, S.; Villringer, C.; Pulwer, S.; Heinrich, F.; Bauer, J.; Meister, S.; et al. Partially slotted silicon ring resonator covered with electro-optical polymer. Proc. SPIE 2016, 9891, 98910R. [Google Scholar] [CrossRef]
- Zhang, J.; Cassan, E.; Gao, D.; Zhang, X. Highly efficient phase-matched second harmonic generation using an asymmetric plasmonic slot waveguide configuration in hybrid polymer-silicon photonics. Opt. Express 2013, 21, 14876–14887. [Google Scholar] [CrossRef] [PubMed]
- Falco, A.D.; Conti, C.; Assanto, G. Quadratic phase matching in slot waveguides. Opt. Lett. 2006, 31, 3146–3148. [Google Scholar] [CrossRef] [PubMed]
- Wrana, C. Polymerphysik: Eine Physikalische Beschreibung von Elastomeren und Ihren Anwendungsrelevanten Eigenschaften; Springer: Berlin/Heidelberg, Germany, 2014. [Google Scholar]
- Dalton, L.R.; Günter, P.; Jazbinsek, M.; Sullivan, P.A.; Kwon, O.P. Organic Electro-Optics and Photonics: Molecules, Polymers and Crystals; Cambridge University Press: Cambridge, UK, 2015. [Google Scholar]
- Vivien, L.; Pavesi, L. Handbook of Silicon Photonics; Taylor & Francis: Abingdon, UK, 2016. [Google Scholar]
- Palmer, R.; Koeber, S.; Elder, D.; Woessner, M.; Heni, W.; Korn, D.; Lauermann, M.; Bogaerts, W.; Dalton, L.; Freude, W.; et al. High-Speed, Low Drive-Voltage Silicon-Organic Hybrid Modulator Based on a Binary-Chromophore Electro-Optic Material. Lightwave Technol. J. 2014, 32, 2726–2734. [Google Scholar] [CrossRef]
- Weber, M. Handbook of Optical Materials; Laser & Optical Science & Technology; Taylor & Francis: Abingdon, UK, 2002. [Google Scholar]
- Celler, G.; Cristoloveanu, S. Frontiers of silicon-on-insulator. J. Appl. Phys. 2003, 93, 4955–4978. [Google Scholar] [CrossRef]
- Palmer, R.; Koeber, S.; Woessner, M.; Elder, D.L.; Heni, W.; Korn, D.; Yu, H.; Lauermann, M.; Bogaerts, W.; Dalton, L.R.; et al. High-speed silicon-organic hybrid (soh) modulators with 230 pm/v electro-optic coefficient using advanced materials. In Optical Fiber Communication Conference; Optical Society of America: Washington, DC, USA, 2014; Paper M3G.4. [Google Scholar]
- Steglich, P.; Villringer, C.; Pulwer, S.; Casalboni, M.; Schrader, S. Design Optimization of Silicon-on-Insulator Slot-Waveguides for Electro-optical Modulators and Biosensors. In Photoptics 2015; Ribeiro, P., Raposo, M., Eds.; Springer Proceedings in Physics; Springer International Publishing: Cham, Switzerland, 2016; Chapter 11; pp. 173–187. [Google Scholar]
- Steglich, P.; Villringer, C.; Dümecke, S.; Michel, Y.P.; Casalboni, M.; Schrader, S. Silicon-on-Insulator Slot-waveguide Design Trade-offs. In Proceedings of the International Conference on Photonics, Optics and Laser Technology (PHOTOPTICS), Berlin, Germany, 13–15 March 2015; Volume 2, pp. 47–52. [Google Scholar] [CrossRef]
- Reed, G.; Knights, A. Silicon Photonics: An Introduction; Wiley: Hoboken, NJ, USA, 2004. [Google Scholar]











| Symbol | Parameter | Standard Value |
|---|---|---|
| tilt angle | 0° | |
| w | waveguide width | |
| y | waveguide height | |
| h | slab height | |
| s | slot width | variable |
| wavelength |
| Symbol | Parameter | Optimized Value |
|---|---|---|
| tilt angle | 0° | |
| w | waveguide width | |
| h | slab height | |
| s | slot width |
© 2018 by the authors. Licensee MDPI, Basel, Switzerland. This article is an open access article distributed under the terms and conditions of the Creative Commons Attribution (CC BY) license (http://creativecommons.org/licenses/by/4.0/).
Share and Cite
Bondarenko, S.; Villringer, C.; Steglich, P. Comparative Study of Nano-Slot Silicon Waveguides Covered by Dye Doped and Undoped Polymer Cladding. Appl. Sci. 2019, 9, 89. https://doi.org/10.3390/app9010089
Bondarenko S, Villringer C, Steglich P. Comparative Study of Nano-Slot Silicon Waveguides Covered by Dye Doped and Undoped Polymer Cladding. Applied Sciences. 2019; 9(1):89. https://doi.org/10.3390/app9010089
Chicago/Turabian StyleBondarenko, Siegfried, Claus Villringer, and Patrick Steglich. 2019. "Comparative Study of Nano-Slot Silicon Waveguides Covered by Dye Doped and Undoped Polymer Cladding" Applied Sciences 9, no. 1: 89. https://doi.org/10.3390/app9010089
APA StyleBondarenko, S., Villringer, C., & Steglich, P. (2019). Comparative Study of Nano-Slot Silicon Waveguides Covered by Dye Doped and Undoped Polymer Cladding. Applied Sciences, 9(1), 89. https://doi.org/10.3390/app9010089

