You are currently viewing a new version of our website. To view the old version click .
Applied Sciences
  • Article
  • Open Access

3 January 2019

Experimental Efficiency Analysis of a Photovoltaic System with Different Module Technologies under Temperate Climate Conditions

,
and
Institute of Renewable Energy Engineering, Faculty of Environmental Engineering, Lublin University of Technology, Nadbystrzycka 40B, 20-618 Lublin, Poland
*
Author to whom correspondence should be addressed.
This article belongs to the Special Issue Solar Power System Planning & Design: Resource Assessment, Site Evaluation, System Design, Production Forecasting and Feasibility Studies

Abstract

This study presents a comparative analysis of energy production over the year 2015 by the grid connected experimental photovoltaic (PV) system composed by different technology modules, which operates under temperate climate meteorological conditions of Eastern Poland. Two thin film technologies have been taken into account: cadmium telluride (CdTe) and copper indium gallium diselenide (CIGS). Rated power of each system is approximately equal to 3.5 kWp. In addition, the performance of a polycrystalline silicon technology system has been analyzed in order to provide comprehensive comparison of the efficiency of thin film and crystalline technologies in the same environmental conditions. The total size of the pc-Si system is equal to 17 kWp. Adequate sensors have been installed at the location of the PV system to measure solar irradiance and temperature of the modules. In real external conditions all kinds of modules exhibit lower efficiency than the values provided by manufacturers. The study reveals that CIGS technology is characterized by the highest energy production and performance ratio. The observed temperature related losses are of the lowest degree in case of CIGS modules.

1. Introduction

The European Directive (EU) 2015/1513 amending Directive 2009/28/EC on the promotion of the use of energy from renewable sources sets a binding target of 20% final energy consumption in EU from renewable sources by 2020 [1,2]. One of the renewable energy systems (RES) is solar energy which can be utilized in photovoltaic (PV) systems that are non-polluting and do not generate greenhouse gases or wastes which have to be stored. This kind of system has no moving parts, so the maintenance cost is very little [3,4]. Due to its advantages, photovoltaic (PV) energy production has experienced a rapid growth all over the world in recent years, and, according to the policies of particular countries, a number of photovoltaic (PV) power plants increases [5,6,7,8,9].
Producers of PV modules provide characteristic parameters measured under Standard Test Conditions (STC) which are defined as follows: solar irradiance G = 1000 W/m2, module temperature 25 °C, AM 1.5, and wind speed less than 5 m/s. The testing measurements are usually made in laboratories with the use of solar simulators. Under real conditions, the results of PV performance can be different because of the influence of specific environmental parameters in the given location [10], such as global solar radiation intensity and spectrum [11], ambient temperature, relative humidity, wind speed, and dust concentration in the air [12,13,14,15,16,17]. All these factors strongly depend on meteorological conditions, characteristic for given climate [18,19]. Moreover, it is important that the influence of environmental conditions is complex and final energy production depends on the overlapping of several effects, which are difficult to analyze individually [20]. In general, the most important factors are solar irradiation and temperature, since they directly influence the energy production, and PV modules temperature, which affects modules efficiency. For this reason, outdoor analysis of daily and seasonal variations of PV module performance allow the energy production to be realistically estimated and also limit the over or under sizing in prospective plants.
In recent years much research on outdoor measurements of PV systems has been done, but the majority of them refer to warm climate conditions [21,22,23]. Nonetheless, spreading of PV technology all over the world implies the need for this kind of study also in locations characterized by lower insolation level such as temperate climate [24,25].
It is also worth noting that most of work on outdoor photovoltaic (PV) performance is devoted to the investigation of pc-Si technology, since this is the one which is the most popular on the PV market. However, the dropping price of thin film technology (e.g., a-Si, CdTe, CIGS) is a motivation to testing of various kinds of thin film solar modules under real external conditions. The following types of PV technologies were studied experimentally under different climatic conditions:
  • a-Si, HIT, mc-Si—India [26],
  • a-Si, HIT, pc-Si—India [27],
  • a-Si, c-Si, CdTe—Turkey [5],
  • mc-Si—Greece [2],
  • mc-Si, pc-Si, a-Si, CIGS, CdTe–Italy [28],
  • c-Si, a-Si, HIT—Italy [29],
  • mono-Si, CIS—Turkey [30],
  • a-Si, c-Si, CIGS—United Kingdom [11],
  • a-Si, c-Si, CIGS, CdTe—Germany [31],
  • mono-Si, poli-Si, a-Si, CIGS, CIS, CdTe—Netherlands [20].
All these investigations add new knowledge about the influence of external conditions on solar modules built with different semiconductor materials and allow for selecting the best technology type in the given location. At present, there are no published results of this kind of comparative study carried out in the Polish climate. Thus, the goal of this work is to characterize the solar conditions in Poland and evaluate the outdoor performance of three different PV technologies at the same location. This paper presents the comparison of traditional polycrystalline silicon (pc-Si) PV technology and two thin film technologies: cadmium telluride (CdTe) and copper-indium-gallium-diselenide (CIGS).
Monthly solar irradiation at the given location has been calculated and the energy yield for each type of PV technology has been compared. Daily efficiency and average yield, as well as direct current (DC) performance ratio, have been calculated and analyzed. The effects of the temperature on performance of different studied PV technologies have been also investigated, since the relevance of temperature as the parameter affecting modules efficiency depends on the type of semiconductor materials used. The attempt has been made to discuss the obtained results with research performed in other places under similar climate conditions.

2. Methodology

2.1. Experimental Photovoltaic Installation

The experimental PV installation consisted of different, fully commercial modules located in the East of Poland (Latitude 51 °51 and Longitude 23 °10) is shown in Figure 1. Technologies of the modules used in the analysis and their nominal power were as follows: cadmium telluride (3.3 kWp), copper-indium-gallium-diselenide (3.72 kWp), and polycrystalline silicon (17 kWp). Detailed specification of each kind of module based on the PV manufacturer data sheet is presented in Table 1. The modules are oriented to the south and tilted at the optimum angle for the given latitude equal to 34°. The installation is connected to the grid using the inverters. Both thin film installations are connected with the use of inverters with one maximum power point tracker (MPPT), while for pc-Si PV string the inverter equipped with two MPPT systems is used. The distance between the rows of panels equals to 6.3 m.
Figure 1. Experimental installation consisting of different PV (photovoltaic) module technologies.
Table 1. PV modules specification data.
At the location of the experimental system, solar radiation intensity on PV module plane, as well as the temperature of the modules, were measured. A solar radiation sensor based on the monocrystalline silicon solar cell is located in the centre of the installation and tilted at the same angle as the modules. Pt1000 resistance temperature detectors are attached to the back of the module. Detailed specification of the devices used is listed in Table 2.
Table 2. Specification of the devices used for irradiance and temperature measurements.
Inverters, as well as both mentioned sensors, were connected to the central data-logging computer system for synchronous data collection. All parameters, such as solar irradiance, DC generated electric power, and module temperature of each PV technology studied were measured at each 5 min during the considered year of 2015 and stored for the analysis. All necessary computations were carried out with the use of Matlab/Simulink software (MathWorks, Natick, MA, USA).

2.2. Methods of Experimental Data Analysis

Calculations for performance evaluation of PV modules were carried out according to the International Electrotechnical Commission standard IEC 61724-1 [32]. The daily energy ( E D C d ) produced by each technology PV array was calculated from the following equation:
E D C d = s u n r i s e s u n s e t P D C d ( t ) · Δ t ,
where: Δt—time step of measurements (5 min), P D C d ( t ) —power generated at a particular time of the day measured as a product between the current and the voltage at the inverter inlet.
Daily irradiation was calculated on the basis of irradiance G (W/m2) according to the formula:
H d ( kWh m 2 · day ) = s u n r i s e s u n s e t G ( t ) · Δ t ,
where G(t)—irradiance measured at a particular time t of the day.
The effect of the differences in energy production caused by different size of installation of each technology array was eliminated by dividing the daily DC energy production ( E D C d ) by the nominal power output of the installation at STC ( P M S T C ). The daily yield is given by the ratio between daily energy produced by each technology PV array and output peak power P M S T C of the modules under STC:
Y d ( kWh / kWp ) = E D C d P M S T C .
The effect of insolation can be expressed by reference yield Y R d , which is defined as the ratio of daily irradiation and irradiance at STC according to the formula:
Y R d = H d G S T C   ,
where: H d —daily irradiation expressed in kWh/m2, G S T C —irradiance under standard test conditions (in kW/m2).
For an ideal PV system operating under STC, the calculations based on the Equations (3) and (4) should provide the same results. Nonetheless, the power losses in the PV system (modules and other particular components) lead to lowering of the Y d value in comparison with Y R d . In order to evaluate real energy production relation to the ideal scenario, performance ratio (PR) of the system was calculated:
P R = Y d Y R d .
Another parameter used for the assessment of real performance of the modules was efficiency, defined as a quotient between the energy production in reference period and solar irradiation received by the module:
η = E D C d H d · A r e a · 100 % ,
where A r e a is the total area of the modules.

3. Results

Monthly irradiation on the module plane at the considered location, in a warm summer continental climate according to Köppen’s climate classification, is shown in Figure 2. As can be seen, the most sunny period, beneficial for energy production from photovoltaics, was June to August in 2015. There are significant differences in the irradiation level in plane of module during the year: from a minimum of 20 kWh/m2 in January to a maximum of 191 kWh/m2 registered in August. The monthly average daily irradiation on module plane ranged from only 0.67 kWh/m2 in January to 6.18 kWh/m2 in August. In general, about 80% of yearly solar irradiation in Poland is received during the sunny and warm half of the year, from April to August.
Figure 2. Monthly irradiation on module plane measured in 2015.
In order to better explain the on-site solar irradiance conditions, Figure 3 shows the accumulated irradiance distribution of incident global irradiation measured for period under study. As can be seen, irradiance conditions characterized by low values were the most frequent ones, resulting in median equal to 193 W/m2. About 36% of the measurements have an irradiance lower than 100 W/m2 and almost 98% of registered values are below 1000 W/m2, however, about 17% of the results were characterized by a good or very good irradiance conditions, which varied from 700 W/m2 to 1200 W/m2.
Figure 3. Accumulated percentage of collected incident global irradiation distribution according to irradiance levels measured in 2015.
Simultaneously to irradiance measurements, the temperature of the modules was monitored in the given location (Figure 4). The values of temperature of the modules depend mainly on the irradiation and ambient temperature and have a great impact on the efficiency of the modules. Registered values of the modules temperature varied from about 0 °C in cloudy winter days to 60 °C in summer sunny days. The median of the module temperature for the studied period is equal to 30 °C.
Figure 4. Percentage distribution of module temperature measured in 2015.
The obtained results (Figure 2, Figure 3 and Figure 4) indicate that due to seasonal variations, in considered location under moderate climate, STC used by manufacturers are rarely met. Only a small portion of instantaneous irradiance measurements are around 1000 W/m2 and module temperature values quite often reach 15–48 °C in the analyzed period.
An example of a hot sunny day, characterized by the high solar irradiance level reaching 1000 W/m2 when the modules are heated by solar radiation up to 55 °C, shows that under this kind of real conditions, the power generated by pc-Si installation is lower compared to thin film technologies (Figure 5).
Figure 5. Normalized DC power generated by the PV systems of each studied technology. Maximum irradiance and temperature recorded for that day were 1000 W/m2 and 55 °C, respectively.
For different analyzed PV technologies, the dependency of daily energy output as a function of daily average module temperature was shown in Figure 6. The increase of modules temperature caused by high incident solar irradiance during sunny days results in the decrease of energy production for all investigated technologies. As can be seen, thin film modules exhibit higher energy yield values than polycrystalline silicon ones. In particular, CIGS modules were characterized by the highest energy production in these specific—high temperature—conditions. The difference in daily energy production between CIGS and pc-Si modules during summer sunny days varies from 3.7% to 8.4%, while the CdTe modules produced from 1.7% to 6.1% more energy than pc-Si modules. The reason why CIGS installation exhibits better performance on sunny days can be explained as a result of double effect. Firstly, the temperature coefficient of power is lower than in case of pc-Si modules. Secondly, power gains due to spectral effects reported in the literature, being those gains for CIGS technology more remarkable at high latitudes in the north Hemisphere, as in the case of Reference [31].
Figure 6. Daily energy yield vs. daily average temperature of the different technology modules calculated for sunny summer days of 2015 with similar solar irradiation levels.
Furthermore, CdTe modules, because of the lower power temperature coefficient and characteristic for this technology in high latitudes spectral gain in summer, have a better response than pc-Si, as shown in Figure 6 [31,33]. Nevertheless, the efficiency of CdTe modules is lower, and, finally, their yield is not as good as CIGS technology but better than pc-Si.
Experimental efficiency of each studied PV technology calculated as the average of daily efficiencies (Equation (6)) measured over the period February 2015–November 2015 can be seen in Figure 7. Efficiencies of pc-Si, CIGS and CdTe technologies were found to be 14.5%, 11.0%, and 8.7%, respectively. The results of calculations based on experimental data indicate lower efficiency values for all considered PV technologies in comparison to those obtained under STC presented in manufacturer datasheet (Table 1). The highest difference (17.9%) was noted for CdTe technology. In the case of CIGS and pc-Si technologies, these differences were found to be 12.7% and 5.8% respectively.
Figure 7. Comparison of the photovoltaic (PV) modules’ efficiencies presented in manufacturer datasheet with the efficiencies obtained experimentally over the period February 2015–November 2015.
Analysis of daily energy efficiency calculated for chosen sunny days of 2015 with relatively high solar irradiation level (winter sunny days are characterized by lower values of solar irradiation in comparison with summer sunny days), presented in Figure 8, shows the linear decrease of daily efficiency with the increase of the daily average modules temperature. Temperature coefficients of efficiency for studied types of PV technology were derived from experimental data according to the following equation [34]:
η = η r μ ( T c T r ) ,
in which: ηr—reference module efficiency at reference temperature Tr = 25 °C, μ—temperature coefficient, Tc—measured temperature of the module. The temperature coefficient value is a slope of a line that represents the efficiency changes for each module type in Figure 8. The values of temperature coefficient, both obtained from experimental data and calculated based on manufacturer information (Table 1) as μ = βηr, are presented in Table 3.
Figure 8. Effect of the module temperature on daily efficiency of each PV technology calculated for a chosen sunny day of 2015.
Table 3. Calculated and experimental values of the modules temperature coefficient.
The comparison of the data obtained by two methods shows that the temperature coefficient resulting from experimental data exhibits a higher value for pc-Si modules than the value calculated according to the datasheet. The experimentally estimated value of pc-Si modules temperature coefficient is the highest compared to other technologies, which is directly connected to the strong influence of temperature on pc-Si energy production (Figure 6). The temperature coefficients of both thin film technologies are lower than these for pc-Si. In realistic operational conditions, their temperature coefficients achieve even lower values than the values determined from the datasheet, which is favorable and confirms the observations of high energy production by these technologies presented in Figure 6.
Figure 9 shows the dependency of DC output power on the PV modules temperature under real outdoor conditions for selected sunny days of 2015. The effect was determined by measuring DC output power and instantaneous module temperature at incident solar irradiance equal to 1000 W/m2 (+/−0.6%). The lowest module temperature at irradiance of 1000 W/m2 was found to be 28 °C (registered at 11.18 on 23rd of March 2015). The highest value was equal to 49 °C (registered at 12.09 on 2nd of July 2015). Experimentally obtained power was compared with the maximum power point (MPP) value at 25 °C, taken from the manufacturer datasheet. Calculated results depict a strong dependency of output power on the temperature only for pc-Si modules. The variation of output power for pc-Si technology modules is around 18 W (7%) with the increase of temperature from 28 °C to almost 50 °C. In terms of thin film modules, the decrease of power with temperature is much smaller (0.2–2.0 %).
Figure 9. Photovoltaic (PV) output power of the different technology modules measured at 1000 W/m2 vs. instantaneous temperature of the module.
The daily average energy yield of 1 kWp of each technology is presented in Figure 10. The shape of the energy yield profile is similar to the shape of irradiation profile for the studied year, as shown in Figure 2. The highest energy production was noticed in summer months for all technologies due to the best irradiance conditions. During the summer period (June–August) CIGS modules produced about 3% more energy than polycrystalline Si modules, which is in agreement with observations of temperature influence in this period. CdTe modules exhibit the lowest energy production, even in summer, in spite of the small value of temperature coefficient. Energy production by CdTe technology is lower in comparison with pc-Si of 1.1–8.9% which is probably caused by its small efficiency. An exception is June, when CdTe produced 0.2% more energy per kWp than pc-Si.
Figure 10. Comparison of daily average energy yield of each technology modules in 2015.
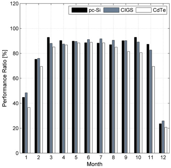
Monthly performance ratio (PR) calculated for each studied module technology is shown in Figure 11. PR values of CIGS array were found to be higher than that of pc-Si (from 2.5% in June to 3.5% in August). Higher energy yield and performance ratio of pc-Si modules were noticed in colder period of the year, i.e., from March to May (up to 4.8%), and from October to November (up to 4.6%). In terms of CdTe modules, lower monthly PR values were noticed in comparison to pc-Si technology for the whole year (from about 1% in May to even 14% in October), with the exception of June. During winter (December–February) PR values drop significantly due to occurrence of snow cover and decrease of inverters’ efficiency at low input power levels. These two problems make it difficult to interpret the PR results obtained in winter, and thereby to assess the particular PV technologies in this period. Most of the months (March–October) are characterized by better insolation (Figure 2) and PR value above 80% (even 90% for pc-Si)
Figure 11. Comparison of calculated monthly performance ratio (PR) of each technology of the modules.

4. Discussion

The performance of solar modules depends on real external conditions, which is clearly visible in the results presented in this work, based on the measurements collected under temperate climate which is characterized by significant changes in both daily and yearly insolation and temperature. The role of solar radiation intensity on charge carriers generation and parameters of PV cells is direct and obvious. Nonetheless, it is worth remembering that most of the radiation absorbed by the cells is not converted into electricity, but it increases their temperature, thereby reducing the efficiency.
The influence of the temperature on the performance of solar modules, revealed in the presented experimental results, is different for various types of modules, since they are built with different semiconductors materials. In general, the semiconductor bandgap should correlate well with the solar radiation spectrum to achieve its maximum absorption. The optimum value of the bandgap, within the range of 1.0–1.6 eV results in good efficiency, which is observed even for single solar cells [35]. Temperature increase leads to narrowing of the semiconductor bandgap and also the intensification of recombination processes, in which current carriers disappear.
The bandgaps of the semiconductors used in the studied modules were different: 1.1 eV for polycrystalline silicon, the material with a crystalline fraction of over 95%, and 1.45–1.5 eV in case of cadmium telluride [36,37,38]. Copper indium gallium selenide (CIGS) is a solid solution characterized by a higher bandgap value of around 1.04–1.68 eV, which depends on the exact composition of the material [39]. In the presented investigations, the role of the bandgap value is thus visible since the use of wider bandgap semiconductors extend their operational temperature [40]. The broader bandgap of CIGS may result in better resistance of this material to temperature increase.
The comparison of the presented results with studies conducted by other authors is rather difficult, even taking into account investigations performed at similar latitude, since the technical parameters of the modules and other devices differ, as do weather conditions in summer and winter. Exemplary studies performed in the UK show better performance of CIGS in winter due to the spectrum [11]. The investigations focused on the assessment of the spectral impact on different PV technologies, performed in Germany [31], indicate spectral gains of 2.4% for CdTe, 1.1% for c-Si (that can be compared with pc-Si), and 0.6% for CIGS during the entire year. Temperature coefficients of power estimated in the Netherlands for different PV technologies are higher than technical data for CdTe and CIGS and similar for poly-Si [20]. Considering the results of the investigations in the mentioned countries, it is worth remembering that the weather conditions in both winter and summer differ from those in Poland in spite of similar latitude.
In general, all kinds of modules in the analyzed solar plant of the whole nominal power of 1.4 MWp produced 1530.23 MWh in the entire 2015 year. This achieved result is remarkable, considering the role of the climatic zone in which the PV plant is situated, however, further long-term measurements are necessary. The degradation process of modules has to be observed and taken into account in long term comprehensive assessment. All kinds of modules are sensitive to some external factors, such as humidity that leads to the failure of electric parts, snow, dust and other pollutions that cause hot spot appearance, and even damage of the modules [41,42]. However, it is also worth emphasizing that external conditions influence particular types of modules in different ways, since the construction of the traditional and thin film modules is not the same. Internal processes in various semiconductor materials also contribute to the degradation.

5. Conclusions

The performance of three different PV technologies was characterized under moderate climate of Eastern Europe, in which about 80% of irradiation in plane of module is received in the warm half of the year. In this kind of climate, both standard test conditions (STC) and nominal operating cell temperature (NOCT) are not met, since only a small portion of irradiance achieves values within the range 800–1000 W/m2. Module temperature is distributed around 30 °C.
Under this kind of external conditions, daily and monthly energy efficiency calculations revealed its lower values in comparison to efficiency measured under STC for each type of modules. The difference in normalized energy production among three studied PV technologies as well as the decrease of energy output with the increase of module temperature were shown. The highest impact of the temperature on generated power was registered in the case of pc-Si installation compared to thin film. CIGS and CdTe modules exhibit high resistance to temperature rise, which is indicated by temperature coefficients whose experimentally obtained values are even lower than the values based on the manufacturer data. On hot summer days, CIGS installation produced more energy than the polycrystalline one. Daily average yield, as well as the performance ratio of each technology installation, also indicated better performance of CIGS technology during summer months.
The presented results thus indicate that under temperate climate operating conditions, CIGS thin film technology is a valuable alternative to popular pc-Si.

Author Contributions

Conceptualization, S.G. and A.Z.; Data curation, P.D.; Formal analysis, A.Z.; Investigation, P.D.; Methodology, S.G.; Software and computing, S.G.; Supervision, A.Z.

Funding

This work was supported by Polish Ministry of Science and Higher Education. The solar plant was partially financed by EU project RPLU.06.02.00-06-086/12-00.

Acknowledgments

Authors would like to thank José Vicente Muñoz Diez and Gustavo Nofuentes Garrido from University of Jaén, Spain for valuable discussion.

Conflicts of Interest

The authors declare no conflict of interest.

References

  1. Directive (EU) 2015/1513 of the European Parliament and of the Council of 9 September 2015 Amending Directive 2009/28/EC on the Promotion of the Use of Energy from Renewable Sources. Available online: http://data.europa.eu/eli/dir/2015/1513/oj (accessed on 20 December 2018).
  2. Gaglia, A.G.; Lykoudis, S.; Argiriou, A.A.; Balaras, C.A.; Dialynas, E. Energy efficiency of PV panels under real outdoor conditions—An experimental assessment in Athens, Greece. Renew. Energy 2017, 101, 236–243. [Google Scholar] [CrossRef]
  3. Dale, M. A comparative Analysis of Energy Costs of Photovoltaic, Solar Thermal, and Wind Electricity Generation Techniques. Appl. Sci. 2013, 3, 325–337. [Google Scholar] [CrossRef]
  4. Rehman, S.; El-Amin, I. Performance evaluation of an off-grid photovoltaic system in Saudi-Arabia. Energy 2012, 46, 451–458. [Google Scholar] [CrossRef]
  5. Ozden, T.; Akinoglu, B.G.; Turan, R. Long term outdoor performances of three different on-grid PV arrays in central Anatolia—An extended analysis. Renew. Energy 2017, 101, 182–195. [Google Scholar] [CrossRef]
  6. Raugei, M.; Frankl, P. Life cycle impacts and costs of photovoltaic systems: Current state of the art and future outlooks. Energy 2009, 34, 392–399. [Google Scholar] [CrossRef]
  7. Dinçer, F. The analysis on photovoltaic electricity generation status, potential and policies of the leading countries in solar energy. Renew. Sustain. Energy Rev. 2011, 15, 713–720. [Google Scholar] [CrossRef]
  8. Olchowik, J.M.; Dragan, P.; Gembarzewski, O.; Gulkowski, S.; Szymczuk, D.; Tomaszewski, R. The Reasons of the Delays in Introducing in Poland Law Regulations Favorable for Photovoltaics. In Proceedings of the 28th EUPVSEC, Paris, France, 30 September–4 October 2013; pp. 4676–4679. [Google Scholar]
  9. Olchowik, J.M.; Cieslak, K.; Gulkowski, S.; Mucha, J.; Sordyl, M.; Zabielski, K.; Szymczuk, D.; Zdyb, A. Progress of development of PV systems in South-Eastern Poland. In Proceedings of the 35th IEEE Photovoltaic Specialists Conference, Honolulu, HI, USA, 20–25 June 2010. [Google Scholar]
  10. Canete, C.; Carretero, J.; Sidrach-de-Cardona, M. Energy performance of different photovoltaic module technologies under outdoor conditions. Energy 2014, 65, 295–302. [Google Scholar] [CrossRef]
  11. Gottschalg, R.; Betts, T.R.; Eeles, A.; Williams, A.R.; Zhu, J. Influences on the energy delivery of thin film photovoltaic modules. Sol. Energy Mater. Sol. Cells 2013, 119, 169–180. [Google Scholar] [CrossRef]
  12. Kaldellis, J.K.; Kokala, A. Quantifying the decrease of the photovoltaic panels’ energy yield due to phenomena of natural air pollution disposal. Energy 2010, 35, 4862–4869. [Google Scholar] [CrossRef]
  13. Kaldellis, J.K.; Kapsali, M. Simulating the dust effect on the energy performance of photovoltaic generators based on experimental measurements. Energy 2011, 36, 5154–5161. [Google Scholar] [CrossRef]
  14. Skoplaki, E.; Palyvos, J.A. On the temperature dependence of photovoltaic module electrical performance: A review of efficiency/power correlations. Sol. Energy 2009, 83, 614–624. [Google Scholar] [CrossRef]
  15. Schwingshackl, C.; Petitta, M.; Wagner, J.E.; Belluardo, G.; Moser, D.; Castelli, M.; Zebisch, M.; Tetzlaff, A. Wind effect on PV module temperature: Analysis of different techniques for an accurate estimation. Energy Procedia 2013, 40, 77–86. [Google Scholar] [CrossRef]
  16. Tanesab, J.; Parlevliet, D.; Whale, J.; Urmee, T. Seasonal effect of dust on the degradation of PV modules performance deployed in different climate areas. Renew. Energy 2017, 111, 105–115. [Google Scholar] [CrossRef]
  17. Olchowik, J.M.; Gulkowski, S.; Cieslak, K.; Banas, J.; Jozwik, I.; Szymczuk, D.; Zabielski, K.; Mucha, J.; Zdrojewska, M.; Adamczyk, J.; et al. Influence of temperature on the efficiency of monocrystalline silicon solar cells in the South-eastern Poland conditions. Mater. Sci.-Pol. 2006, 24, 1127–1132. [Google Scholar]
  18. Huld, T.; Gottschalg, R.; Beyer, H.G.; Topič, M. Mapping the performance of PV modules, effects of module type and data averaging. Sol. Energy 2010, 84, 324–338. [Google Scholar] [CrossRef]
  19. Makrides, G.; Zinsser, B.; Phinikarides, A.; Schubert, M.; Georghiou, G.E. Temperature and thermal annealing effects on different photovoltaic technologies. Renew. Energy 2012, 43, 407–417. [Google Scholar] [CrossRef]
  20. Louwen, A.; de Waal, A.C.; Schropp, R.E.I.; Faaij, A.P.C.; van Sark, W.G.J.H.M. Comprehensive characterization and analysis of PV module performance under real operating conditions. Prog. Photovolt. Res. Appl. 2017, 25, 218–232. [Google Scholar] [CrossRef]
  21. Fuentes, M.; Nofuentes, G.; Aguilera, J.; Talavera, D.L.; Castro, M. Application and validation of algebraic methods to predict the behaviour of crystalline silicon PV modules in Mediterranean climates. Sol. Energy 2007, 81, 1396–1408. [Google Scholar] [CrossRef]
  22. Sidrach-de-Cardona, M.; López, L.M. Performance analysis of a grid-connected photovoltaic system. Energy 1999, 24, 93–102. [Google Scholar] [CrossRef]
  23. Muñoz, J.V.; Nofuentes, G.; Fuentes, M.; de la Casa, J.; Aguilera, J. DC energy yield prediction in large monocrystalline and polycrystalline PV plants: Time-domain integration of Osterwald’s model. Energy 2016, 114, 951–960. [Google Scholar] [CrossRef]
  24. Grzesiak, W.; Mackow, P.; Maj, T.; Polak, A.; Klugman-Radziemska, E.; Zawora, S.; Drabczyk, K.; Gulkowski, S.; Grzesiak, P. Innovative system for Energy collection and management integrated within a photovoltaic module. Sol. Energy 2016, 132, 442–452. [Google Scholar] [CrossRef]
  25. Zdyb, A.; Krawczak, E. The influence of external conditions on the photovoltaic modules performance. In Environmental Engineering V, 1st ed.; Pawlowska, M., Pawlowski, L., Eds.; CRC Press Taylor & Francis Group: Boca Raton, FL, USA, 2017; pp. 261–266. ISBN 9781138031630. [Google Scholar]
  26. Bora, B.; Kumar, R.; Sastry, O.S.; Prasad, B.; Mondal, S.; Tripathi, A.K. Energy rating estimation of PV module technologies for different climatic conditions. Sol. Energy 2018, 174, 901–911. [Google Scholar] [CrossRef]
  27. Sharma, V.; Kumar, A.; Sastry, O.S.; Chandel, S.S. Performance assessment of different solar photovoltaic technologies under similar outdoor conditions. Energy 2013, 58, 511–518. [Google Scholar] [CrossRef]
  28. Belluardo, G.; Ingenhoven, P.; Sparber, W.; Wagner, J.; Weihs, P.; Moser, D. Novel method for the improvement in the evaluation of outdoor performance loss rate in different PV technologies and comparison with two other methods. Sol. Energy 2015, 117, 139–152. [Google Scholar] [CrossRef]
  29. Aste, N.; Del Pero, C.; Leonforte, F. PV technologies performance comparison in temperate climates. Sol. Energy 2014, 109, 1–10. [Google Scholar] [CrossRef]
  30. Kesler, S.; Kivrak, S.; Dincer, F.; Rustemli, S.; Karaaslan, M.; Unal, E.; Erdiven, U. The analysis of PV power potential and system installation in Manavgat, Turkey—A case study in winter season. Renew. Sustain. Energy Rev. 2014, 31, 671–680. [Google Scholar] [CrossRef]
  31. Dirnberger, D.; Blackburn, G.; Müler, B.; Reise, C. On the impact of solar spectral irradiance on the yield of different PV technologies. Sol. Energy Mater. Sol. Cells 2015, 132, 431–442. [Google Scholar] [CrossRef]
  32. IEC 61724-1. Photovoltaic System Performance Monitoring—Guidelines for Measurement, Data Exchange, and Analysis (Part 1); Technical Report 1; International Electrotechnical Commission (IEC): Geneva, Switzerland, 2017. [Google Scholar]
  33. Polo, J.; Alonso-Abella, M.; Ruiz-Arias, J.A.; Balenzategui, J.L. Worldwide analysis of spectral factors for seven photovoltaic technologies. Sol. Energy 2017, 142, 194–203. [Google Scholar] [CrossRef]
  34. Mattei, M.; Notton, G.; Cristofari, C.; Muselli, M.; Poggi, P. Calculation of the polycrystalline PV module temperature using a simple method of energy balance. Renew. Energy 2016, 31, 553–567. [Google Scholar] [CrossRef]
  35. Goetzberger, A.; Hebling, C. Photovoltaic materials, past, present, future. Sol. Energy Mater. Sol. Cells 2000, 62, 1–19. [Google Scholar] [CrossRef]
  36. Tobias, I.; del Canizo, C.; Alonso, J. Crystalline Silicon Solar Cells and Modules. In Handbook of Photovoltaic Science and Engineering, 2nd ed.; Luque, A., Hegedus, S., Eds.; Wiley: Hoboken, NJ, USA, 2003; pp. 255–306. [Google Scholar]
  37. Khana, N.A.; Rahmanb, K.S.; Aris, K.A.; Ali, A.M.; Misran, H.; Akhtaruzzaman, M.; Tiong, S.K.; Amin, N. Effect of laser annealing on thermally evaporated CdTe thin films for photovoltaic absorber application. Sol. Energy 2018, 173, 1051–1057. [Google Scholar] [CrossRef]
  38. Olusol, O.I.; Madugu, M.L.; Dharmadas, I.M. Investigating the electronic properties of multi-junction ZnS/CdS/CdTe graded bandgap solar cells. Mater. Chem. Phys. 2017, 191, 145–150. [Google Scholar] [CrossRef]
  39. Shafarman, W.N.; Stolt, L. Cu(InGa)Se2 solar cells. In Handbook of Photovoltaic Science and Engineering, 2nd ed.; Luque, A., Hegedus, S., Eds.; Wiley: Hoboken, NJ, USA, 2011; pp. 567–616. [Google Scholar]
  40. Dupré, O.; Vaillon, R.; Green, M.A. Physics of the temperature coefficients of solar cells. Sol. Energy Mater. Sol. Cells 2015, 140, 92–100. [Google Scholar] [CrossRef]
  41. Lorenzo, E.; Moretón, R.; Luque, I. Dust effects on PV array performance: In-field observations with non-uniform patterns. Prog. Photovolt. Res. Appl. 2014, 22, 666–670. [Google Scholar] [CrossRef]
  42. Gulkowski, S.; Żytkowska, N.; Dragan, P. Temperature distribution analysis of different technologies of PV modules using infrared thermography. E3S Web Conf. 2018, 49, 00044. [Google Scholar] [CrossRef]

Article Metrics

Citations

Article Access Statistics

Multiple requests from the same IP address are counted as one view.