Optimization of Split Transmitter-Receiver Digital Nonlinearity Compensation in Bi-Directional Raman Unrepeatered System
Abstract
:1. Introduction
2. Theoretical Model
3. Simulation Setup
4. Results and Discussion
4.1. Accuracy of the Theoretical Model
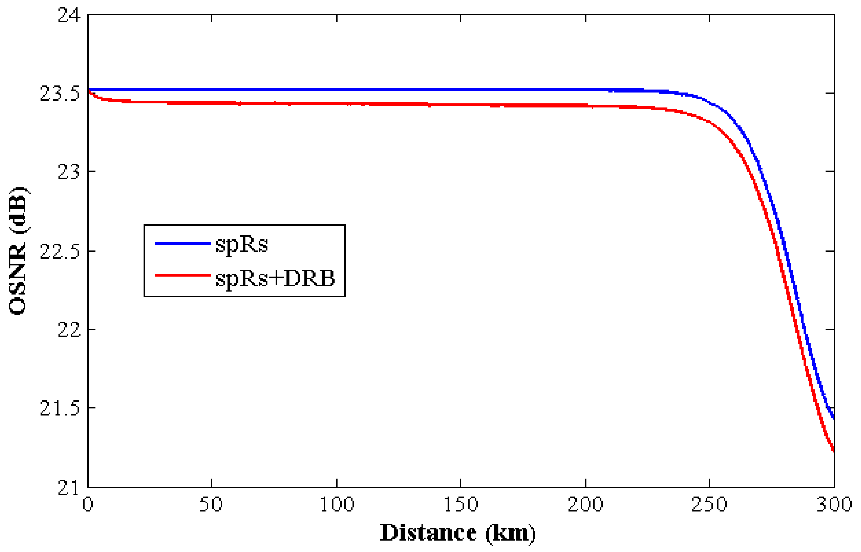
4.2. Impact of Double Rayleigh Backscattering
5. Conclusions
Author Contributions
Funding
Acknowledgments
Conflicts of Interest
References
- Mohamed, A.; AliKarar, M.; Landolosi, T. DSP-based dispersion compensation: Survey and simulation. In Proceedings of the 2017 International Conference on Communication, Control, Computing and Electronics Engineering (ICCCCEE), Khartoum, Sudan, 16–18 January 2017. [Google Scholar]
- Erdogan, A.T.; Demir, A.; Oktem, T.M. Automatic PMD compensation by unsupervised polarization diversity combining coherent receivers. J. Light. Technol. 2008, 26, 1823–1834. [Google Scholar] [CrossRef]
- Essiambre, R.J.; Kramer, G.; Winzer, P.J.; Foschini, G.J.; Goebel, B. Capacity limits of optical fiber networks. J. Light. Technol. 2010, 28, 662–701. [Google Scholar] [CrossRef]
- Ip, E.; Kahn, J.M. Compensation of dispersion and nonlinear impairments using digital backpropagation. J. Light. Technol. 2008, 26, 3416–3425. [Google Scholar] [CrossRef]
- Ip, E. Nonlinear compensation using backpropagation for polarization-multiplexed transmission. J. Light. Technol. 2010, 28, 939–951. [Google Scholar] [CrossRef]
- Maher, R.; Xu, T.; Galdino, L.; Sato, M.; Alvarado, A.; Shi, K.; Savory, S.J.; Thomsen, B.C.; Killey, R.I.; Bayvel, P. Spectrally shaped DP-16QAM super-channel transmission with multi-channel digital back-propagation. Sci. Rep. 2015, 5, 8214. [Google Scholar] [CrossRef] [PubMed]
- Irukulapati, N.V.; Wymeersch, H.; Johannisson, P.; Agrell, E. Stochastic digital backpropagation. IEEE Trans. Commun. 2014, 62, 3956–3968. [Google Scholar] [CrossRef]
- Irukulapati, N.V.; Marsella, D.; Johannisson, P.; Agrell, E. Stochastic digital backpropagation with residual memory compensation. J. Light. Technol. 2016, 34, 566–572. [Google Scholar] [CrossRef]
- Galdino, L.; Semrau, D.; Lavery, D.; Saavedra, G.; Czegledi, C.B.; Agrell, E.; Killey, R.I.; Bayvel, P. On the limits of digital back-propagation in the presence of transceiver noise. Opt. Express 2017, 25, 4564–4578. [Google Scholar] [CrossRef] [PubMed]
- Lavery, D.; Ives, D.; Liga, G.; Alvarado, A.; Savory, S.J.; Bayvel, P. The benefit of split nonlinearity compensation for single channel optical fiber communications. IEEE Photon. Technol. Lett. 2016, 28, 1803–1806. [Google Scholar] [CrossRef]
- Lavery, D.; Maher, R.; Liga, G.; Semrau, D.; Galdino, L.; Bayvel, P. On the bandwidth dependent performance of split transmitter-receiver optical fiber nonlinearity compensation. Opt. Express 2017, 25, 4554–4563. [Google Scholar] [CrossRef] [PubMed]
- Bromage, J. Raman amplification for fiber communications systems. J. Light. Technol. 2004, 22, 79. [Google Scholar] [CrossRef]
- Pelouch, W.S. Raman amplification: An enabling technology for long-haul coherent transmission systems. J. Light. Technol. 2016, 34, 6–19. [Google Scholar] [CrossRef]
- Galdino, L.; Tan, M.; Alvarado, A.; Lavery, D.; Rosa, P.; Maher, R.; Ania-Castanón, J.D.; Harper, P.; Makovejs, S.; Thomsen, B.C.; Bayvel, P. Amplification schemes and multi-channel DBP for unrepeatered transmission. J. Light. Technol. 2016, 34, 2221–2227. [Google Scholar] [CrossRef]
- Saavedra, G.; Semrau, D.; Galdino, L.; Killey, R.I.; Bayvel, P. Digital back-propagation for nonlinearity mitigation in distributed Raman amplified links. Opt. Express 2017, 25, 5431–5439. [Google Scholar] [CrossRef] [PubMed]
- Inoue, K.; Toba, H. Fiber four-wave mixing in multi-amplifier systems with nonuniform chromatic dispersion. J. Light. Technol. 1995, 13, 88–93. [Google Scholar] [CrossRef]
- Agrawal, G.P. Nonlinear Fiber Optics, 3rd ed.; Academic Press: New York, NY, USA, 2007. [Google Scholar]
- Kalavally, V.; Rukhlenko, I.D.; Premaratne, M.; Win, T. Analytical Study of RIN Transfer in Pulse-Pumped Raman Amplifiers. J. Light. Technol. 2009, 27, 4536–4543. [Google Scholar] [CrossRef]
- Cheng, J.; Tang, M.; Fu, S.; Shum, P.P.; Liu, D. Characterization and Optimization of Unrepeatered Coherent Transmission Systems Using DRA and ROPA. J. Light. Technol. 2017, 35, 1830–1836. [Google Scholar] [CrossRef]








© 2018 by the authors. Licensee MDPI, Basel, Switzerland. This article is an open access article distributed under the terms and conditions of the Creative Commons Attribution (CC BY) license (http://creativecommons.org/licenses/by/4.0/).
Share and Cite
Zheng, Q.; Yuan, Z.; Li, Y.; Li, W. Optimization of Split Transmitter-Receiver Digital Nonlinearity Compensation in Bi-Directional Raman Unrepeatered System. Appl. Sci. 2018, 8, 972. https://doi.org/10.3390/app8060972
Zheng Q, Yuan Z, Li Y, Li W. Optimization of Split Transmitter-Receiver Digital Nonlinearity Compensation in Bi-Directional Raman Unrepeatered System. Applied Sciences. 2018; 8(6):972. https://doi.org/10.3390/app8060972
Chicago/Turabian StyleZheng, Qiang, Zhilin Yuan, Yuan Li, and Wei Li. 2018. "Optimization of Split Transmitter-Receiver Digital Nonlinearity Compensation in Bi-Directional Raman Unrepeatered System" Applied Sciences 8, no. 6: 972. https://doi.org/10.3390/app8060972
APA StyleZheng, Q., Yuan, Z., Li, Y., & Li, W. (2018). Optimization of Split Transmitter-Receiver Digital Nonlinearity Compensation in Bi-Directional Raman Unrepeatered System. Applied Sciences, 8(6), 972. https://doi.org/10.3390/app8060972
