Comparative Study of Two Dynamics-Model-Based Estimation Algorithms for Distributed Drive Electric Vehicles
Abstract
:Featured Application
Abstract
1. Introduction
2. Vehicle Modeling for State Estimation
- (a)
 - Vehicle is moving on a flat horizontal plane;
 - (b)
 - Vertical, roll and pitch dynamics are omitted;
 - (c)
 - longitudinal acceleration, lateral acceleration and the yaw rate is measured with white Gauss noise;
 - (d)
 - INS sensors are mounted on the vehicle COG.
 
2.1. Measurement, Control Input, and State Vectors
2.2. Planar Vehicle Model
2.3. Load Transfer
2.4. Tire Force Calculation
2.5. System Discretization
3. Estimation Algorithms Design for Vehicle State Estimation
3.1. Unscented Kalman Filter
- (a)
 - Initialize vehicle state and covariance matrix at time step k = 0 with
 - (b)
 - For time step k = 1, 2…, calculate sigma points in sigma vector:
 - (c)
 - Time update
- Propagate the sigma points through Equation (22):
 - The propagated mean calculation:
 - The propagated covariance calculation:
 
 - (d)
 - Measurement update
- Propagate sigma points through measurement function:
 - The propagated mean calculation:
 - The propagated covariance and the Kalman gain calculation:where K(k) is the Kalman gain matrix.
 - Update the vehicle state estimation and state covariance:
 
 
3.2. Moving Horizon Estimation
| Algorithm 1. Pseudocode of moving horizon estimation algorithm | |
| 1. | Initialization: set the initial values for and the horizon length N. | 
| 2. | Prepare for estimation: increment and obtain the current measurement input and control input . | 
| 3. | Estimation: if | 
| Solve Equation (39) as full information estimation; | |
| else | |
| Compute the UKF gain matrix and update via UKF; | |
| Compute the arrival cost ; | |
| Solve Equation (41) with the obtained arrival cost . | |
| end | |
| 4. | Results output: compute states in the horizon, | 
| 5. | End of estimation: go to Step 2. | 
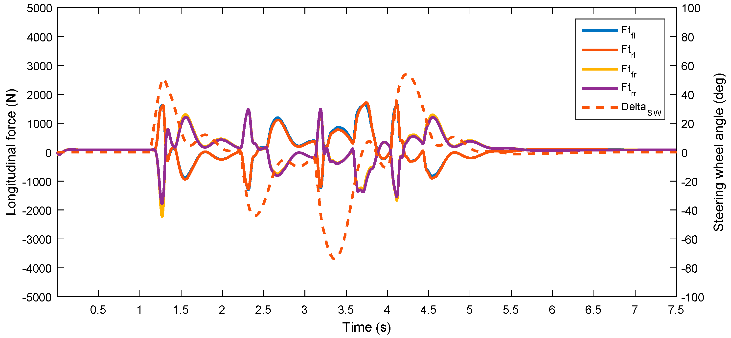
4. Simulation Results and Analysis
4.1. Initial Settings of Simulations
4.2. Results Analysis
5. Conclusions and Future Work
- (1)
 - The estimation results for vehicle states including the longitudinal velocity, lateral velocity, yaw rate, and lateral tire forces, by both UKF and MHE, are satisfactory.
 - (2)
 - Compared with UKF, MHE has better estimation accuracy, especially under serious nonlinear situations.
 - (3)
 - MHE has faster convergence ability and is more robust against an incorrect initial estimate of the longitudinal velocity.
 
Acknowledgments
Author Contributions
Conflicts of Interest
Nomenclature
| a | Distance from center of gravity (COG) to front wheels | 
| Longitudinal acceleration | |
| Lateral acceleration | |
| A | Frontal projected area | 
| b | Distance from COG to rear wheels | 
| Air resistance coefficient | |
| Lateral tire force | |
| Longitudinal tire force | |
| Resultant tire force alone x-axis | |
| Resultant tire force alone y-axis | |
| Tire normal load | |
| h | Height of sprung mass center of gravity | 
| i | Transmission ratio from motor to wheel | 
| is | Transmission ratio from the hand wheel to front wheels | 
| Iz | Vehicle rotational inertia about z-axis | 
| Wheel rotational inertia | |
| l | Wheelbase | 
| m | Gross mass | 
| r | Yaw rate | 
| R | Wheel radius | 
| T | Wheel track | 
| Motor torque output | |
| Longitudinal vehicle velocity | |
| Wheel center speed | |
| Lateral vehicle velocity | |
| Wheel rotational speed | |
| Motor rotational speed | |
| Tire side slip angle | |
| Tire slip ratio | |
| Air density | |
| Steering wheel angle | |
| Steering angle of each wheel | |
| ij = fl,rl,fr,rr | The wheel position: front left, rear left, front right, and rear right | 
References
- Chu, W.; Luo, Y.; Dai, Y.; Li, K. In–wheel motor electric vehicle state estimation by using unscented particle filter. Int. J. Veh. Des. 2015, 67, 115–136. [Google Scholar] [CrossRef]
 - Bahouth, G. Real World Crash Evaluation of Vehicle Stability Control (VSC) Technology. Annu. Proc. Assoc. Adv. Automot. Med. 2005, 49, 19–34. [Google Scholar] [PubMed]
 - Van Zanten, A.T. Evolution of electronic control systems for improving the vehicle dynamic behavior. In Proceedings of the 6th International Symposium on Advanced Vehicle Control, Hiroshima, Japan, 9–13 September 2002; pp. 1–9. [Google Scholar]
 - Sun, C.; Hu, X.; Moura, S.J.; Sun, F. Velocity Predictors for Predictive Energy Management in Hybrid Electric Vehicles. IEEE Trans. Control Syst. Technol. 2015, 23, 1197–1204. [Google Scholar]
 - Zhang, X.; Göhlich, D. Integrated Traction Control Strategy for Distributed Drive Electric Vehicles with Improvement of Economy and Longitudinal Driving Stability. Energies 2017, 10, 126. [Google Scholar] [CrossRef]
 - Venhovens, P.J.T.; Naab, K. Vehicle Dynamics Estimation Using Kalman Filters. Veh. Syst. Dyn. 1999, 32, 171–184. [Google Scholar] [CrossRef]
 - Daiss, A.; Kiencke, U. Estimation of vehicle speed fuzzy-estimation in comparison with Kalman-filtering. In Proceedings of the 4th IEEE Conference on Control Applications, Albany, NY, USA, 28–29 September 1995; pp. 281–284. [Google Scholar]
 - Du, X.P.; Lu, L.T.; Sun, H.M.; Li, Y.; Song, J.J. A Vehicle Rollover Warning Approach Based on Neural Network and Support Vector Machine. Appl. Mech. Mater. 2013, 367, 433–440. [Google Scholar] [CrossRef]
 - Sasaki, H.; Nishimaki, T. A Side-Slip Angle Estimation Using Neural Network for a Wheeled Vehicle. SAE trans. 2000, 109, 1026–1031. [Google Scholar] [CrossRef]
 - Wei, W.; Shaoyi, B.; Lanchun, Z.; Kai, Z.; Yongzhi, W.; Weixing, H. Vehicle Sideslip Angle Estimation Based on General Regression Neural Network. Math. Probl. Eng. 2016, 2016. [Google Scholar] [CrossRef]
 - Liu, W.; He, H.; Sun, F. Vehicle state estimation based on Minimum Model Error criterion combining with Extended Kalman Filter. J. Frankl. Inst. 2016, 353, 834–856. [Google Scholar] [CrossRef]
 - Hac, A.; Simpson, M.D. Estimation of vehicle side slip angle and yaw rate. SAE Trans. 2000, 109, 1032–1038. [Google Scholar] [CrossRef]
 - Farrelly, J.; Wellstead, P. Estimation of vehicle lateral velocity. In Proceedings of the 1996 IEEE International Conference on Control Applications, Dearborn, MI, USA, 15 September–18 November 1996; pp. 552–557. [Google Scholar]
 - Guo, H.; Ma, B.; Ma, Y.; Chen, H. Modular scheme for vehicle tire forces and velocities estimation based on sliding mode observer. In Proceedings of the 2016 Chinese Control and Decision Conference (CCDC), Yinchuan, China, 28–30 May 2016; pp. 5661–5666. [Google Scholar]
 - Chen, Y.; Ji, Y.; Guo, K. A reduced-order nonlinear sliding mode observer for vehicle slip angle and tyre forces. Veh. Syst. Dyn. 2014, 52, 1716–1728. [Google Scholar] [CrossRef]
 - Veluvolu, K.C.; Rath, J.J.; Defoort, M.; Soh, Y.C. Estimation of side slip and road bank angle using high-gain observer and higher-order sliding mode observer. In Proceedings of the 2015 International Workshop on Recent Advances in Sliding Modes (RASM), Istanbul, Turkey, 9–11 April 2015; pp. 1–6. [Google Scholar]
 - Sun, J.; Ding, S.; Zhang, S.; Zheng, W.X. Nonsmooth stabilization for distributed electric vehicle based on direct yaw-moment control. In Proceedings of the 2016 35th Chinese Control Conference (CCC), Chengdu, China, 27–29 July 2016; pp. 8850–8855. [Google Scholar]
 - Xiong, L.; Yu, Z.; Wang, Y.; Yang, C.; Meng, Y. Vehicle dynamics control of four in-wheel motor drive electric vehicle using gain scheduling based on tyre cornering stiffness estimation. Veh. Syst. Dyn. 2012, 50, 831–846. [Google Scholar] [CrossRef]
 - Kalman, R.E.; Bucy, R.S. New Results in Linear Filtering and Prediction Theory. J. Basic Eng. 1961, 83, 95–108. [Google Scholar] [CrossRef]
 - Pengov, M.; d’Andréa-Novel, B.; Fenaux, E.; Grazi, S.; Zarka, F. A comparison study of two kinds of observers for a vehicle. In Proceedings of the 2001 European Control Conference (ECC), Porto, Portugal, 4–7 September 2001; pp. 1068–1073. [Google Scholar]
 - Wenzel, T.A.; Burnham, K.J.; Blundell, M.V.; Williams, A.R. Dual extended Kalman filter for vehicle state and parameter estimation. Veh. Syst. Dyn. 2006, 44, 153–171. [Google Scholar] [CrossRef]
 - Chen, B.C.; Hsieh, F.C. Sideslip angle estimation using extended Kalman filter. Veh. Syst. Dyn. 2008, 46, 353–364. [Google Scholar] [CrossRef]
 - Hamann, H.; Hedrick, J.K.; Rhode, S.; Gauterin, F. Tire force estimation for a passenger vehicle with the unscented kalman filter. In Proceedings of the 2014 IEEE Intelligent Vehicles Symposium, Dearborn, MI, USA, 8–11 June 2014; pp. 814–819. [Google Scholar]
 - Ren, H.; Chen, S.; Liu, G.; Zheng, K. Vehicle State Information Estimation with the Unscented Kalman Filter. Adv. Mech. Eng. 2015, 6, 589397. [Google Scholar] [CrossRef]
 - Antonov, S.; Fehn, A.; Kugi, A. Unscented Kalman filter for vehicle state estimation. Veh. Syst. Dyn. 2011, 49, 1497–1520. [Google Scholar] [CrossRef]
 - Doumiati, M.; Victorino, A.C.; Charara, A.; Lechner, D. Onboard Real-Time Estimation of Vehicle Lateral Tire #x2013; Road Forces and Sideslip Angle. IEEE/ASME Trans. Mech. 2011, 16, 601–614. [Google Scholar]
 - Julier, S.J.; Uhlmann, J.K. New extension of the Kalman filter to nonlinear systems. In Proceedings of the AeroSense 97 Conference on Photonic Quantum Computing, Orlando, FL, USA, 20–25 April 1997; pp. 182–193. [Google Scholar]
 - Wan, E.A.; Van Der Merwe, R. The unscented Kalman filter for nonlinear estimation. In Proceedings of the IEEE 2000 Adaptive Systems for Signal Processing, Communications, and Control Symposium (AS-SPCC), Lake Louise, AB, Canada, 4 October 2000; pp. 153–158. [Google Scholar]
 - Rawlings, J.B.; Bakshi, B.R. Particle filtering and moving horizon estimation. Comput. Chem. Eng. 2006, 30, 1529–1541. [Google Scholar] [CrossRef]
 - Zanon, M.; Frasch, J.V.; Diehl, M. Nonlinear moving horizon estimation for combined state and friction coefficient estimation in autonomous driving. In Proceedings of the 2013 European Control Conference (ECC), Zurich, Switzerland, 17–19 July 2013; pp. 4130–4135. [Google Scholar]
 - Kraus, T.; Ferreau, H.J.; Kayacan, E.; Ramon, H.; De Baerdemaeker, J.; Diehl, M.; Saeys, W. Moving horizon estimation and nonlinear model predictive control for autonomous agricultural vehicles. Comput. Electron. Agric. 2013, 98, 25–33. [Google Scholar] [CrossRef]
 - Pacejka, H.B. Tyre and Vehicle Dynamics; Butterworth-Heinemann: Oxford, UK, 2006. [Google Scholar]
 - Zhang, X.; Göhlich, D. A hierarchical estimator development for estimation of tire-road friction coefficient. PLoS ONE 2017, 12, e0171085. [Google Scholar] [CrossRef] [PubMed]
 - Spivey, B.J.; Hedengren, J.D.; Edgar, T.F. Constrained Nonlinear Estimation for Industrial Process Fouling. Ind. Eng Chem. Res. 2010, 49, 7824–7831. [Google Scholar] [CrossRef]
 - Rao, C.V.; Rawlings, J.B.; Mayne, D.Q. Constrained state estimation for nonlinear discrete-time systems: Stability and moving horizon approximations. IEEE Trans. Autom. Control 2003, 48, 246–258. [Google Scholar] [CrossRef]
 - Qu, C.C.; Hahn, J. Computation of arrival cost for moving horizon estimation via unscented Kalman filtering. J. Process Control 2009, 19, 358–363. [Google Scholar] [CrossRef]
 - Chu, W. State Estimation and Coordinated Control System. In State Estimation and Coordinated Control for Distributed Electric Vehicles; Springer: Berlin/Heidelberg, Germany, 2016; pp. 37–44. [Google Scholar]
 - Julier, S.J.; Uhlmann, J.K.; Durrant-Whyte, H.F. A new approach for filtering nonlinear systems. In Proceedings of the 1995 American Control Conference, Seattle, WA, USA, 21–23 June 1995; Volume 3, pp. 1628–1632. [Google Scholar]
 - Julier, S.J. The scaled unscented transformation. In Proceedings of the 2002 American Control Conference, Anchorage, AK, USA, 8–10 May 2002; Volume 6, pp. 4555–4559. [Google Scholar]
 - Jiang, D.; Danhua, L.; Wang, S.; Tian, L.; Yang, L. Additional Yaw Moment Control of a 4WIS and 4WID Agricultural Data Acquisition Vehicle. Int. J. Adv. Robot. Syst. 2015, 12, 78. [Google Scholar] [CrossRef]
 - Nakano, H.; Okayama, K.; Kinugawa, J.; Kosuge, K. Control of an electric vehicle with a large sideslip angle using driving forces of four independently-driven wheels and steer angle of front wheels. In Proceedings of the 2014 IEEE/ASME International Conference on Advanced Intelligent Mechatronics, Besacon, France, 8–11 July 2014; pp. 1073–1078. [Google Scholar]
 - Weiskircher, T.; Müller, S. Control performance of a road vehicle with four independent single-wheel electric motors and steer-by-wire system. Veh. Syst. Dyn. 2012, 50, 53–69. [Google Scholar] [CrossRef]
 - Zhou, Y.; Liu, W.; Ogai, H. Control of Yaw Angle and Sideslip Angle Based on Kalman Filter Estimation for Autonomous EV from GPS. In Proceedings of the International MultiConference of Engineers and Computer Scientists, Hong Kong, China, 15–17 March 2017; Volume 1. [Google Scholar]
 













| Parameter | Unit | Value | 
|---|---|---|
| Gross Mass | m (kg) | 1280 | 
| Height of sprung mass center of gravity | h (m) | 0.5 | 
| Distance from COG to front wheels | a (m) | 1.203 | 
| Distance from COG to rear wheels | b (m) | 1.217 | 
| Wheelbase | l (m) | 2.420 | 
| Wheel track | T (m) | 1.330 | 
| Wheel Radius | R (m) | 0.298 | 
| Vehicle rotational inertia about z-axis | Iz (kg·m2) | 2500 | 
| Transmission ratio from motor to wheel | i (-) | 4.5 | 
| Transmission ratio from the hand wheel to front wheels | is (-) | 20 | 
| Wheel rotational inertia | Jw (kg·m2) | 2.5 | 
| State | ME Error | RMS Error | ||||
|---|---|---|---|---|---|---|
| MHE | UKF | Improvement | MHE | UKF | Improvement | |
| 0.441 | 0.428 | −3.037% | 0.127 | 0.335 | 62.090% | |
| 0.067 | 0.130 | 48.462% | 0.024 | 0.029 | 17.241% | |
| 0.017 | 0.022 | 22.727% | 0.006 | 0.007 | 14.286% | |
| 98.429 | 156.903 | 37.268% | 38.278 | 43.850 | 12.707% | |
| 145.710 | 195.451 | 25.449% | 44.730 | 49.941 | 10.434% | |
| 93.551 | 181.288 | 48.396% | 37.152 | 43.084 | 13.768% | |
| 135.059 | 241.798 | 44.144% | 44.949 | 55.750 | 19.374% | |
| Initial Velocity | ||||||||
|---|---|---|---|---|---|---|---|---|
| State | ME Error | RMS Error | ME Error | RMS Error | ||||
| MHE | UKF | MHE | UKF | MHE | UKF | MHE | UKF | |
| 5.555 | 5.547 | 0.264 | 1.408 | 5.556 | 5.546 | 0.752 | 1.703 | |
| 0.205 | 0.279 | 0.050 | 0.101 | 0.084 | 0.287 | 0.032 | 0.090 | |
| 0.031 | 0.046 | 0.012 | 0.013 | 0.025 | 0.029 | 0.011 | 0.013 | |
| 219.867 | 240.493 | 49.126 | 88.098 | 147.926 | 292.768 | 47.576 | 106.835 | |
| 235.481 | 299.550 | 54.423 | 105.462 | 201.060 | 231.921 | 58.604 | 83.239 | |
| 263.167 | 275.681 | 63.004 | 89.418 | 214.612 | 356.536 | 50.953 | 111.919 | |
| 297.239 | 366.145 | 59.385 | 111.808 | 182.882 | 275.438 | 56.724 | 87.101 | |
© 2017 by the authors. Licensee MDPI, Basel, Switzerland. This article is an open access article distributed under the terms and conditions of the Creative Commons Attribution (CC BY) license (http://creativecommons.org/licenses/by/4.0/).
Share and Cite
Zhang, X.; Göhlich, D.; Fu, C. Comparative Study of Two Dynamics-Model-Based Estimation Algorithms for Distributed Drive Electric Vehicles. Appl. Sci. 2017, 7, 898. https://doi.org/10.3390/app7090898
Zhang X, Göhlich D, Fu C. Comparative Study of Two Dynamics-Model-Based Estimation Algorithms for Distributed Drive Electric Vehicles. Applied Sciences. 2017; 7(9):898. https://doi.org/10.3390/app7090898
Chicago/Turabian StyleZhang, Xudong, Dietmar Göhlich, and Chenrui Fu. 2017. "Comparative Study of Two Dynamics-Model-Based Estimation Algorithms for Distributed Drive Electric Vehicles" Applied Sciences 7, no. 9: 898. https://doi.org/10.3390/app7090898
APA StyleZhang, X., Göhlich, D., & Fu, C. (2017). Comparative Study of Two Dynamics-Model-Based Estimation Algorithms for Distributed Drive Electric Vehicles. Applied Sciences, 7(9), 898. https://doi.org/10.3390/app7090898
        