Next Article in Journal
The Synchrosqueezing Algorithm Based on Generalized S-transform for High-Precision Time-Frequency Analysis
Previous Article in Journal
A Tuning Method for Diatom Segmentation Techniques
 
 
Font Type:
Arial Georgia Verdana
Font Size:
Aa Aa Aa
Line Spacing:
Column Width:
Background:
Article

A Study on the Stall Detection of an Axial Compressor through Pressure Analysis

1
Jiangsu Province Key Laboratory of Aerospace Power System, College of Energy and Power Engineering, Nanjing University of Aeronautics and Astronautics, No. 29 Yudao Street, Nanjing 210016, China
2
AVIC Aero-engine Control System Institute, No. 792 Liangxi Road, Wuxi 214000, China
*
Author to whom correspondence should be addressed.
These authors contributed equally to this work.
Appl. Sci. 2017, 7(8), 766; https://doi.org/10.3390/app7080766
Submission received: 5 June 2017 / Revised: 18 July 2017 / Accepted: 22 July 2017 / Published: 28 July 2017

Abstract

:
In order to research the inherent working laws of compressors nearing stall state, a series of compressor experiments are conducted. With the help of fast Fourier transform, the amplitude–frequency characteristics of pressures at the compressor inlet, outlet and blade tip region outlet are analyzed. Meanwhile, devices imitating inlet distortion were applied in the compressor inlet distortion disturbance. The experimental results indicated that compressor blade tip region pressure showed a better performance than the compressor’s inlet and outlet pressures in regards to describing compressor characteristics. What’s more, compressor inlet distortion always disturbed the compressor pressure characteristics. Whether with inlet distortion or not, the pressure characteristics of pressure periodicity and amplitude frequency could always be maintained in compressor blade tip pressure. For the sake of compressor real-time stall detection application, a compressor stall detection algorithm is proposed to calculate the compressor pressure correlation coefficient. The algorithm also showed a good monotonicity in describing the relationship between the compressor surge margin and the pressure correlation coefficient.

1. Introduction

With the expansion of the advanced aircraft envelope, aero propulsion has put forward higher requirements for the performance and stability of compressors. During aircraft super maneuver operation processes, compressor inlet conditions badly deteriorate. The worsening inlet airflow could shrink compressor surge margins and lead the compressor to rotating stall and surge. Meanwhile, compressor stall and surge are the main influencing factors that cause inherent aerodynamic instabilities in the compressor operational envelope [1,2]. A large number of studies have been carried out on the model of surge and rotational stall. Due to their complexity, it is difficult to establish an accurate real-time mathematical model. At present, most research is aimed at single compressor parts. In 1980s, the United States carried out computer simulation research of the whole turbofan engine surge, and published a research report [3,4]. Also, a NASA report pointed out that the T700 engine adopts active stability control to control the compressor, but the technical details are unknown [5]. Wadia identified the same problem [6,7]. As is well known, the compressor characteristics map of pressure ratio versus mass flow rate could reflect the compressor working performance. In other words, the inlet pressure and outlet pressure of the compressor could reflect compressor performance, to a certain extent. In order to investigate the relationship between the compressor pressure and performance, the study of the compressor requires massive numerical simulations and experiments [8,9].
As the pressures are easily observed or have been stored in other engine control sub-systems, pressures monitored at the inlet and outlet of the compressor are apparently the first choices for compressor performance analysis. In fact, inlet and outlet pressures on the compressor have played an important role in the engine fuel and nozzle throat area control system. However, the compressor’s inlet pressure is easily disturbed by the inlet air conditions, such as compressor inlet distortion. As a result, the application of compressor potential performance needs more accurate estimations of compressor surge margins. Traditional compressor safety protections are restricted in the compressor potential performance application. Therefore, studies on the information at compressor blade tip region, including pressure, have been gradually emphasized. The references written by Li, Shi and Brand [10,11,12] researched the working principal of compressor blade tip performance, which is difficult to apply in the engine compressor control system. The references written by Dhingra, Liu and White [13,14,15] studied the pressures at the compressor blade tip region, and found some interesting laws about the relationship between blade tip pressures and compressor surge margin. Nevertheless, compressor inlet distortion disturbances are neglected, which the papers written by Dong, Lesser, Seo and Gunn [16,17,18,19] verified are significant impact factors in the compressor working performance.
In this paper, the research is focused on estimating compressor stability through examining the compressor pressure signals under different compressor inlet aerodynamic conditions, including inlet distortion influences. A series of experiments were conducted to research the laws that affect how the compressor inherently works near stall state. The experiments approached the compressor from normal operating state to near stall state by controlling the flow of the compressor, while at the same time simulating the compressor’s inlet distortion flow field. In order to discover the stability boundary of the compressor, the experiments measured the total pressure at the inlet and outlet of compressor under different speeds, and forced surge tests. In addition, the experiments also captured the compressor surge boundary under the condition of inlet distortion. Experiments on inlet-forced surge tests were conducted by adding a distortion simulator to the inlet section of the compressor. There are two kinds of distortion simulators used in these experiments. One simulated 90 degrees of a circumferential sole distortion device, and the other is 90 degrees of circumferential symmetrical distortion device. The fast Fourier transform (FFT) method enabled the comparison of inlet conditions, as well as the analysis of compressor inlet pressure, outlet pressure and blade tip region pressure. The compressor pressure amplitude–frequency characteristics were discussed with the FFT method [20,21]. At last, a new compressor stall detection is proposed, and blade tip region pressure is applied with the algorithm.
In the first section of this paper, the experiment facility and process will be briefly introduced. Then, FFT method principals are mentioned, and the pressures collected in the experiments are analyzed. Finally, a compressor pressure signal analysis algorithm is proposed and applied to compressor stability analysis.

2. Compressor Experiment Facilities

The compressor experiments were conducted within the low speed compressor facilities of Nanjing University of Aeronautics and Astronautics. Different compressor working conditions were realized with the auxiliary of an air mass flow control valve. In the case of given compressor revolutions per minute (RPM), the compressor’s geometric structure and the actuating mechanism of the control system are fixed during the experiments. As the airflow control valve turns down, working conditions get closer to the surge limit line for the compressor. Revolutions of 600 RPM, 800 RPM, and 1000 RPM are separately experimented under three inlet conditions. The inlet conditions are: without inlet distortion, with sole inlet distortion, and with symmetrical inlet distortion.
Figure 1 shows the compressor experiment facility structure. It mainly contains four parts: the air inlet unit, the compressor body, the air outlet unit, and control devices. On the inner wall of the compressor, three sensors are separately arranged at the compressor inlet on the first level of the compressor rotor and outlet, which are both marked as “9” in Figure 1. These sensors are used to judge compressor stall and measure compressor pressure signals. In order to reduce the sensor installation volume, the sensors are embedded directly into the probe head.
The signal measurement system in these experiments includes steady state measurement and dynamic measurement. The steady state measuring system includes a rotation speed measuring instrument, a pressure-measuring system, a steady pressure probe, and a signal storage processor, which is mainly used to get steady compressor pressure signals under different inlet conditions. The total of pressure-measuring points are set in the compressor inlet and outlet. The dynamic measuring system includes a dynamic pressure-measuring instrument, a dynamic pressure sensor, and a signal storage processor, which is mainly used to obtain a dynamic pressure signal and judge the compressor stall. The dynamic pressure-measuring points are set in the compressor inlet, outlet and the compressor first stage. In these experiments, the Programmable Quad Bridge Amplifier (PQBA) signal-acquisition module of the LMS signal acquisition system is adopted. The highest sampling frequency of the LMS dynamic signal acquisition system can get up to 200 kHz, and the digital analogue conversion accuracy is 16 bit. The dynamic pressure-measuring instruments adopted in this test are Copal Electronics Company P-2000 dynamic pressure sensors.
In order to simulate the inlet distortion that happens in super maneuverability flight or other air inlet disturbance, a distortion-imitating device was installed closely behind the fairing. Two kinds of inlet distortion are simulated in these experiments: sole inlet distortion and symmetric inlet distortion. Figure 2 shows the device imitating sole inlet distortion, and Figure 3 shows the device imitating symmetrical inlet distortion. Although the sole inlet distortion and symmetrical inlet distortion both have an effect on inlet conditions, only the sole inlet distortion condition is considered in this article.
The inlet system includes a flared tube, fairing, an inlet duct, and a distortion simulator (including sole distortion and symmetric distortion simulators, which are mainly composed of skeleton, based mesh, and mesh, as shown in Figure 2 and Figure 3). The exhaust devices include volute, the exhaust passage, throttle and the anechoic chamber. The power systems are control components and DC motor, whose rated power is 200 kw. The signal measurement system is constituted of sensors, signal processor and storage. The compressor has two-stage of axial flow, which includes a two-level stator and a two-level rotor. The main design parameters of the compressor are as follows. The compressor’s outside diameter is 0.9 m, and its hub ratio is 0.6. The design points of rotate speed, pressure ratio, efficiency and flow are 1500 RPM, 1.035, 0.88% and 25 kg/s, respectively. Table 1 shows the design parameters of the compressor rotor and the stator blade.

3. Experiment Analysis

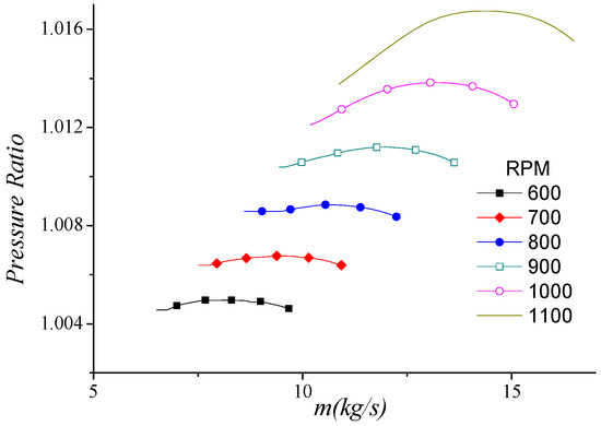
Compressor experiments are always designed under the restrictions of compressor characteristics. Figure 4 and Figure 5 show a compressor characteristic map without inlet distortion. With given compressor revolutions per minute, the compressor pressure ratio will increase while the compressor air mass flow is decreasing. However, excessive reduction of compressor air mass flow would lessen compressor compressing ability, as shown in Figure 4. Meanwhile, the efficiency of the compressor is gradually lessening with the reduction of compressor air mass flow, as the compressor experiment facility duct would block mass flow in the experiment, as is shown in Figure 5. Figure 6 and Figure 7 show the compressor characteristic map with sole inlet distortion, and Figure 8 and Figure 9 show the compressor characteristic map with symmetrical inlet distortion. When the compressor works in the sole distortion situation, the inlet is influenced by stall flow, and the surge margin of the compressor ought to move towards the bottom right, theoretically. Although the measuring point of compressor inlet pressure is set behind the distortion-imitating device, there is little difference in the surge margin the between inlet with distortion, and the inlet without distortion. However, when compressor operation is close to its surge margin, the stall flow of compressor inlet distortion is obviously different from the situation without distortion. As the compressor flow decreases, the pressure ratio increases and the operating efficiency gets higher; when the flow reduces to a certain degree, the pressure ratio and efficiency both go down.
The compressor experiment design fully utilizes the compressor characteristics. The control valve adjusts the compressor air mass flow in order to let the compressor get into stall or surge state.
In this paper, the collected pressure signals are pre-processed by the following function,
Cp = (PP0)/P0
where P is the monitored pressure, which is filtered by a low-pass filter with any convenient cut-off frequency, and P0 is the compressor inlet pressure. Therefore, Cp is a dimensionless variable, which is called the pressure coefficient in this paper.
The tested pressures are always disturbed by unsteady environmental factors and other unavoidable measurement disturbances. Therefore, in order to research the laws by which compressors work, the pressure characteristics should be pre-analyzed. In this paper, the pressures are mainly calculated by fast Fourier transform (FFT). With the FFT method, the experiment’s results would be analyzed through the comparison of the sensor location at the compressor inlet, blade tip region, and compressor outlet. In this experiment, the main useful signal frequency is no more than 500 Hz. In order to improve the signal–noise ratio and reduce the noise signal interference, the dynamic pressure measurement data has been filtered at a cut-off frequency of 500 Hz.

Pressure Analysis Results

In order to research the developing laws of compressor pressure under different compressor conditions, two patterns of compressor working states are experienced. The compressor working patterns are: normal working conditions (where the compressor surge margin is 14.2%), and stall working conditions (where the compressor surge margin is 1.5%). Under both of these compressor working conditions, the compressor is analyzed through the FFT method [19,20]. In this way, the pressure signal obtained in the time domain can be transferred into the frequency domain. The analysis of the compressor pressure signal in the frequency domain is to study the influence of different inlet conditions on the characteristics of the pressure signal. Because the rotational speed doesn’t affect the purpose of this experiment, this paper takes the compressor experiment at 600 RPM randomly within examples to analyze the pressures. The experienced compressor contains 19 blades, so the compressor blade frequency with the compressor rotor at 600 RPM is 190 Hz.
Figure 10 shows the variation of compressor inlet pressure with no inlet distortion at a surge margin of 14.2%, and Figure 11 shows the variation of compressor inlet pressure with sole inlet distortion. As is shown in Figure 10, the pressure periodicity is hard to maintain, but the spectrogram indicates that the compressor inlet pressure still holds the pressure frequency characteristic. However, with the impact of compressor inlet distortion, the compressor inlet pressure periodicity is further decreased, and the pressure frequency characteristic is obviously destroyed. In comparison to one another, it can be concluded that the compressor inlet pressure is not the best choice to describe the compressor’s working characteristics.
Figure 12 and Figure 13 show the variation of compressor outlet pressure with no inlet distortion and sole inlet distortion at a surge margin of 14.2%, respectively. It is not hard to find out that the pressure periodicity at the compressor outlet is not well held whether the compressor experiences inlet distortion or not. With the amplitude of the compressor pressure coefficient suddenly increased, the later pressure-signal processing difficulty in compressor stall detection is raised. However, the compressor outlet pressure frequency characteristic is well kept.
Figure 14 and Figure 15 show the variation of compressor blade tip region pressure with no inlet distortion and sole inlet distortion at surge margin of 14.2%. It is not hard to find out that both the pressure periodicity and frequency characteristics are well kept. The compressor blade tip region pressure signal integrates the advantages in compressor inlet and outlet pressure. Undoubtedly, the compressor blade tip pressure signal is the most appropriate pressure signal that could be used to analyze the compressor’s working characteristics.
Similar conclusions also could be deduced from the experimental compressor pressure under stall working conditions, as shown in Figure 16, Figure 17, Figure 18, Figure 19, Figure 20 and Figure 21. Whether the compressor is working with inlet distortion or not, massive low-frequency pressure signals exist in the collected pressure signals at compressor inlet and outlet. The collected pressure signals at the compressor blade show the better frequency characteristic.
Through simulation at a surge margin of 1.5%, the compressor experimental results indicated that inlet distortion severely influenced the inlet pressure amplitude–frequency characteristics. In order to quantify the bad influence on the pressure, an amplitude–frequency index (Nam) is defined as the sum number of the amplitude, which is greater than half of the amplitude at blade frequency within the region from zero frequency to the half-blade frequency. The bigger the Nam is, the more low-frequency noise signals are mingled, and the more disturbances are generated to the pressure amplitude–frequency characteristic. As is shown in Table 2, with inlet distortion, the inlet pressure amplitude–frequency characteristic is destroyed, and outlet pressure mingles with a large number of low-frequency noise signals. However, the blade tip Nam is continually kept at zero. The analyzed results also conclude that the compressor blade tip region pressure showed a better performance than compressor inlet and outlet on describing the compressor characteristics.

4. Compressor Stall Detection Algorithm

As is analyzed in the experimental pressure data, the compressor rotor blade is the best region for detecting compressor working conditions. In order to predict the compressor working conditions such as surge margin, a real-time stall detection algorithm is proposed. The core idea of the algorithm is to utilize the pressure periodicity, as is shown in Figure 22. Figure 22a shows the compressor blade tip region pressure in a stable condition and a good periodicity. Compressor working conditions in Figure 22b are in a stall state. The pressure signal shows an obvious difference when conditions are stable.
The calculation algorithm can be expressed as,
C t = i = n w n d n | ( P i P a v e ) ( P i N P a v e ) | ( i = n w n d n ( P i P a v e ) 2 ) ( i = n w n d n ( P i N P a v e ) 2 )
where Ct is the pressure correlation coefficient, wnd is the size of the correlation measure window, n is the index of the current pressure sample, Pi is the present pressure signal, Pave is the window pressure signal, and N is the sample number of the rotor rotational time delay between A and B.
In order to verify the effectiveness of the stall detection algorithm, a dataset of compressor surge margin of 5.8% is added to the verification. Figure 23 shows the calculated results of compressor pressure correlation coefficients. Whether with compressor inlet distortion or not, the correlation coefficient calculated at surge margin of 14.2%, 5.8%, and 1.5% all showed consistence in the value region. Although the compressor inlet distortion generated significant influence on the compressor inlet and outlet pressure characteristics of amplitude frequency and periodicity, the blade tip region pressure still kept a good characteristic of the amplitude frequency and periodicity. Therefore, a relationship is established between the pressure signal and the compressor surge margin. The results also showed that the stall detection algorithm kept a good monotonicity regarding surge margin versus the compressor pressure correlation coefficient.

5. Conclusions

The results showed that inlet distortion had a non-negligible influence on compressor working conditions by experimenting the near stall test at different speeds under the condition of uniform inlet and distortion inlet. Further, the compressor blade tip region pressure showed a better performance than the compressor inlet and outlet on compressor characteristics, whether with inlet distortion or not. With compressor pressure analysis through fast Fourier transform, the compressor blade tip pressure could maintain more convincing information about the compressor in regards to working conditions, such as pressure periodicity and frequency. A compressor stall detection algorithm is proposed, which showed a good monotonicity in describing the relationship between compressor surge margin and the pressure correlation coefficient.

Acknowledgments

This study is co-supported by Research Funds for Central Universities (No. NZ2016103) and National Natural Science Foundation of China (No. 51576096).

Author Contributions

Haibo Zhang, Fengyong Sun and Haoying Chen conceived and designed the experiments; Wei Luo performed the experiments; Fengyong Sun analyzed the data; Haoying Chen wrote the paper.

Conflicts of Interest

The authors declare no conflict of interest.

References

  1. Hunziker, R.; Dickmann, H.P.; Emmrich, R. Numerical and experimental investigation of a centrifugal compressor with an inducer casing bleed system. Proc. Inst. Mech. Eng. A J. Power Energy 2001, 215, 783–791. [Google Scholar] [CrossRef]
  2. Ayder, E.; Van den Braembussche, R. Experimental study of the swirling flow in the internal volute of a centrifugal compressor. In Proceedings of the ASME 1991 International Gas Turbine and Aeroengine Congress and Exposition, Orlando, FL, USA, 3–6 June 1991; American Society of Mechanical Engineers: New York, NY, USA, 1991; p. V001T01A003. [Google Scholar]
  3. Chung, K.; Leamy, K.; Collins, T. A turbine engine aerodynamic model for in-stall transient simulation. In Proceedings of the 21st Joint Propulsion Conference, Monterey, CA, USA, 8–11 July 1985; p. 1429. [Google Scholar]
  4. Seldner, K.; Mihaloew, J.R.; Blaha, R.J. Generalized Simulation Technique for Turbojet Engine System Analysis; NASA: Washington, DC, USA, 1972.
  5. Dhingra, M.; Liu, Y.; Neumeier, Y.; Prasad, J.V.R. Compressor stability detection on a turboshaft engine with a hybrid axi-centrifugal compressor. In Proceedings of the 43rd AIAA Joint Propulsion Conference, Cincinnati, OH, USA, 8–11 July 2007; Volume 5058. [Google Scholar]
  6. Wadia, A.R.; Christensen, D.; Prasad, J.V. Compressor stability management in aircraft engines. In Proceedings of the ICAS 25th Congress of the International Council of the Aeronautical Sciences, Humburg, Germany, 3–8 September 2006. [Google Scholar]
  7. DellaCorte, C.; Johnson, S.M. Progress in NASA Rotorcraft Propulsion. In Proceedings of the Fundamental Aeronautics Meeting, Atlanta, GA, USA, 7–9 October 2008. [Google Scholar]
  8. Yang, M.; Martinez-Botas, R.; Zhang, Y. Inlet Duct Treatment for Stability Improvement on a High Pressure Ratio Centrifugal Compressor. In Proceedings of the ASME Turbo Expo 2013: Turbine Technical Conference and Exposition, San Antonio, TX, USA, 3–7 June 2013; American Society of Mechanical Engineers: New York, NY, USA, 2013; p. V06CT40A010. [Google Scholar]
  9. Yang, M.; Zheng, X.; Zhang, Y.; Bamba, T.; Tamaki, H.; Huenteler, J.; Li, Z. Stability Improvement of High-Pressure-Ratio Turbocharger Centrifugal Compressor by Asymmetric Flow Control: Part I—Non-Axisymmetric Flow in Centrifugal Compressor. In Proceedings of the ASME Turbo Expo 2010: Power for Land, Sea, and Air, Glasgow, UK, 14–18 June 2010; American Society of Mechanical Engineers: New York, NY, USA, 2010; pp. 1891–1902. [Google Scholar]
  10. Li, Y.L.; Sayma, A.I. Computational fluid dynamics simulations of blade damage effect on the performance of a transonic axial compressor near stall. Proc. Inst. Mech. Eng. C J. Mech. Eng. Sci. 2015, 229, 2242–2260. [Google Scholar] [CrossRef]
  11. Shi, P.; Qiao, W.; Wang, L.; Chen, W.; Xu, K. Experiment on axial-compressor stability enhancement by blade tip injection. J. Aerosp. Power 2014, 2, 018. [Google Scholar]
  12. Brand, M.L. An Improved Blade Passage Model for Estimating Off-Design Axial Compressor Performance. Master’s Thesis, Massachusetts Institute of Technology, Cambridge, MA, USA, 2013. [Google Scholar]
  13. Dhingra, M.; Armor, J.; Neumeier, Y.; Prasad, J.V.R. Compressor surge: A limit detection and avoidance problem. In Proceedings of the AIAA Guidance, Navigation, and Control Conference and Exhibit, San Francisco, CA, USA, 15–18 August 2005. [Google Scholar]
  14. Liu, Y.; Dhingra, M.; Prasad, J.V.R. Correlation measure-based stall margin estimation for a single-stage axial compressor. J. Eng. Gas Turbines Power 2012, 134, 011603. [Google Scholar] [CrossRef]
  15. White, M.A.; Dhingra, M.; Prasad, J.V.R. Experimental analysis of a waveguide pressure measuring system. J. Eng. Gas Turbines Power 2010, 132, 041603. [Google Scholar] [CrossRef]
  16. Dong, X.; Sun, D.; Li, F.; Jin, D.; Gui, X.; Sun, X. Effects of Rotating Inlet Distortion on Compressor Stability With Stall Precursor-Suppressed Casing Treatment. J. Fluids Eng. 2015, 137, 111101. [Google Scholar] [CrossRef]
  17. Lesser, A.; Niehuis, R. Transonic Axial Compressors with Total Pressure Inlet Flow Field Distortions. In Proceedings of the ASME Turbo Expo 2014: Turbine Technical Conference and Exposition, Düsseldorf, Germany, 16–20 June 2014; American Society of Mechanical Engineer: New York, NY, USA, 2014; p. V01AT01A036. [Google Scholar]
  18. Seo, T.W.; Heo, M.W.; Kim, K.Y. Parametric study on aerodynamic performance of a centrifugal compressor with inlet duct treatment. In Proceedings of the 2014 ISFMFE-6th International Symposium on Fluid Machinery and Fluid Engineering, Wuhan, China, 22–22 October 2014. [Google Scholar]
  19. Gunn, E.J.; Tooze, S.E.; Hall, C.A.; Colin, Y. An experimental study of loss sources in a fan operating with continuous inlet stagnation pressure distortion. J. Turbomach. 2013, 135, 051002. [Google Scholar] [CrossRef]
  20. Cooley, J.W.; Tukey, J.W. An Algorithm for the Machine Computation of the Complex Fourier Series. Math. Comput. 1965, 19, 297–301. [Google Scholar] [CrossRef]
  21. Frigo, M.; Johnson, S.G. FFTW: An adaptive software architecture for the FFT. In Proceedings of the 1998 IEEE International Conference on Acoustics, Speech and Signal Processing, Seattle, WA, USA, 15 May 1998; Volume 3, pp. 1381–1384. [Google Scholar]
Figure 1. Compressor experiment facility.
Figure 1. Compressor experiment facility.
Applsci 07 00766 g001
Figure 2. Sole inlet distortion-imitating device.
Figure 2. Sole inlet distortion-imitating device.
Applsci 07 00766 g002
Figure 3. Symmetrical inlet distortion-imitating device.
Figure 3. Symmetrical inlet distortion-imitating device.
Applsci 07 00766 g003
Figure 4. Compressor characteristic of pressure ratio versus mass flow rate with no inlet distortion.
Figure 4. Compressor characteristic of pressure ratio versus mass flow rate with no inlet distortion.
Applsci 07 00766 g004
Figure 5. Compressor characteristic of efficiency versus mass flow rate with no inlet distortion.
Figure 5. Compressor characteristic of efficiency versus mass flow rate with no inlet distortion.
Applsci 07 00766 g005
Figure 6. Compressor characteristic of pressure ratio versus mass flow rate with sole inlet distortion.
Figure 6. Compressor characteristic of pressure ratio versus mass flow rate with sole inlet distortion.
Applsci 07 00766 g006
Figure 7. Compressor characteristic of efficiency versus mass flow rate with sole inlet distortion.
Figure 7. Compressor characteristic of efficiency versus mass flow rate with sole inlet distortion.
Applsci 07 00766 g007
Figure 8. Compressor characteristic of pressure versus mass flow rate with symmetrical inlet distortion.
Figure 8. Compressor characteristic of pressure versus mass flow rate with symmetrical inlet distortion.
Applsci 07 00766 g008
Figure 9. Compressor characteristic of efficiency versus mass flow rate with symmetrical inlet distortion.
Figure 9. Compressor characteristic of efficiency versus mass flow rate with symmetrical inlet distortion.
Applsci 07 00766 g009
Figure 10. Compressor inlet pressure with no inlet distortion at a surge margin of 14.2%.
Figure 10. Compressor inlet pressure with no inlet distortion at a surge margin of 14.2%.
Applsci 07 00766 g010
Figure 11. Compressor inlet pressure with sole inlet distortion at a surge margin of 14.2%.
Figure 11. Compressor inlet pressure with sole inlet distortion at a surge margin of 14.2%.
Applsci 07 00766 g011
Figure 12. Compressor outlet pressure with no inlet distortion at a surge margin of 14.2%.
Figure 12. Compressor outlet pressure with no inlet distortion at a surge margin of 14.2%.
Applsci 07 00766 g012
Figure 13. Compressor outlet pressure with sole inlet distortion at surge margin of 14.2%.
Figure 13. Compressor outlet pressure with sole inlet distortion at surge margin of 14.2%.
Applsci 07 00766 g013
Figure 14. Compressor blade tip pressure with no inlet distortion at a surge margin of 14.2%.
Figure 14. Compressor blade tip pressure with no inlet distortion at a surge margin of 14.2%.
Applsci 07 00766 g014
Figure 15. Compressor blade tip pressure with sole inlet distortion at a surge margin of 14.2%.
Figure 15. Compressor blade tip pressure with sole inlet distortion at a surge margin of 14.2%.
Applsci 07 00766 g015
Figure 16. Compressor inlet pressure with no inlet distortion at a surge margin of 1.5%.
Figure 16. Compressor inlet pressure with no inlet distortion at a surge margin of 1.5%.
Applsci 07 00766 g016
Figure 17. Compressor inlet pressure with sole inlet distortion at surge margin of 1.5%.
Figure 17. Compressor inlet pressure with sole inlet distortion at surge margin of 1.5%.
Applsci 07 00766 g017
Figure 18. Compressor outlet pressure with no inlet distortion at a surge margin of 1.5%.
Figure 18. Compressor outlet pressure with no inlet distortion at a surge margin of 1.5%.
Applsci 07 00766 g018
Figure 19. Compressor outlet pressure with sole inlet distortion at a surge margin of 1.5%.
Figure 19. Compressor outlet pressure with sole inlet distortion at a surge margin of 1.5%.
Applsci 07 00766 g019
Figure 20. Compressor blade tip pressure with no inlet distortion at surge margin of 1.5%.
Figure 20. Compressor blade tip pressure with no inlet distortion at surge margin of 1.5%.
Applsci 07 00766 g020
Figure 21. Compressor blade tip pressure with sole inlet distortion at a surge margin of 1.5%.
Figure 21. Compressor blade tip pressure with sole inlet distortion at a surge margin of 1.5%.
Applsci 07 00766 g021
Figure 22. Analysis of correlation at steady (a), and stall working conditions (b).
Figure 22. Analysis of correlation at steady (a), and stall working conditions (b).
Applsci 07 00766 g022
Figure 23. Blade tip pressure correlation coefficients at 600 RPM.
Figure 23. Blade tip pressure correlation coefficients at 600 RPM.
Applsci 07 00766 g023
Table 1. Relevant design parameters of the compressor blade.
Table 1. Relevant design parameters of the compressor blade.
Blade ParametersBlade Position
First-Stage RotorFirst-Stage StatorSecond-Stage RotorSecond-Stage Stator
TypeNACA-65-010NACA-65-010NACA-65-010NACA-65-010
Chord length/mm130106130117
Number19221820
Radial clearance/mm1.3111
Table 2. The analyzed pressure amplitude–frequency results of Nam.
Table 2. The analyzed pressure amplitude–frequency results of Nam.
Working StateSurge Margin of 14.2%Surge Margin of 1.5%
PositionNo DistortionSole DistortionNo DistortionSole Distortion
inlet02221730
outlet0265
blade tip0000

Share and Cite

MDPI and ACS Style

Chen, H.; Sun, F.; Zhang, H.; Luo, W. A Study on the Stall Detection of an Axial Compressor through Pressure Analysis. Appl. Sci. 2017, 7, 766. https://doi.org/10.3390/app7080766

AMA Style

Chen H, Sun F, Zhang H, Luo W. A Study on the Stall Detection of an Axial Compressor through Pressure Analysis. Applied Sciences. 2017; 7(8):766. https://doi.org/10.3390/app7080766

Chicago/Turabian Style

Chen, Haoying, Fengyong Sun, Haibo Zhang, and Wei Luo. 2017. "A Study on the Stall Detection of an Axial Compressor through Pressure Analysis" Applied Sciences 7, no. 8: 766. https://doi.org/10.3390/app7080766

APA Style

Chen, H., Sun, F., Zhang, H., & Luo, W. (2017). A Study on the Stall Detection of an Axial Compressor through Pressure Analysis. Applied Sciences, 7(8), 766. https://doi.org/10.3390/app7080766

Note that from the first issue of 2016, this journal uses article numbers instead of page numbers. See further details here.

Article Metrics

Back to TopTop