Vehicle Loads for Assessing the Required Load Capacity Considering the Traffic Environment
Abstract
:1. Introduction
2. Concept of Probability-Based Assessment and Target Performance Levels
3. Probabilistic Vehicle Models of Weights and Traveling Patterns
3.1. Classification of Vehicles
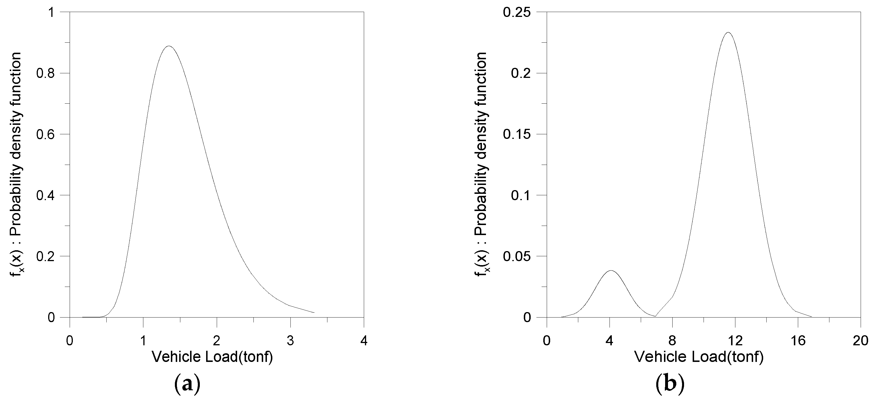
3.2. Proposed Vehicle Weight Models
3.3. Traffic Flow Characteristics
3.4. Probabilistic Consecutive Models of Traveling Vehicles
4. Evaluation of Extreme Load Effects
4.1. Data Processing for Extreme Load Effect Analysis
4.2. Extreme Load Effect Due to Average Daily Traffic Volume and Heavy Vehicle Proportion
4.3. Extreme Load Effects Due to Different Heavy Vehicle Proportion per Lane
5. Conclusions
Acknowledgments
Author Contributions
Conflicts of Interest
References
- Wisniewski, D.F.; Cruz, P.J.S.; Henriques, A.A.R.; Simões, R.A. Probabilistic models for mechanical properties of concrete, reinforcing steel and prestressing steel. Struct. Infrastruct. Eng. 2012, 8, 111–123. [Google Scholar] [CrossRef]
- Korea Ministry of Land, Infrastructure and Transport. Road Bridge and Tunnel Statistics; Ministry of Land, Infrastructure and Transport: Seoul, Korea, 2015.
- González, A.; Rattigan, P.; O’Brien, E.J.; Caprani, C. Determination of bridge lifetime dynamic amplification factor using finite element analysis of critical loading scenarios. Eng. Struct. 2008, 30, 2330–2337. [Google Scholar] [CrossRef]
- Gu, Y.; Li, S.; Li, H.; Guo, Z. A novel Bayesian extreme value distribution model of vehicle loads incorporating de-correlated tail fitting: Theory and application to the Nanjing 3rd Yangtze River Bridge. Eng. Struct. 2014, 59, 386–392. [Google Scholar] [CrossRef]
- O’Brien, E.J.; Schmidt, F.; Hajializadeh, D.; Zhou, X.Y.; Enright, B.; Caprani, C.C.; Sheils, E. A review of probabilistic methods of assessment of load effects in bridges. Struct. Saf. 2015, 53, 44–56. [Google Scholar] [CrossRef]
- O’Connor, A.; O’Brien, E.J. Traffic load modelling and factors influencing the accuracy of predicted extremes. Can. J. Civ. Eng. 2005, 32, 270–278. [Google Scholar] [CrossRef]
- O’Brien, E.J.; Hayrapetova, A.; Walsh, C. The use of micro-simulation for congested traffic load modeling of medium- and long-span bridges. Struct. Infrastruct. Eng. 2012, 8, 269–276. [Google Scholar] [CrossRef]
- Getachew, A.; O’Brien, E.J. Simplified site-specific traffic load models for bridge assessment. Struct. Infrastruct. Eng. 2007, 3, 303–311. [Google Scholar] [CrossRef]
- O’Brien, E.J.; Rattigan, P.; Gonzalez, A.; Dowling, J.; Znidaric, A. Characteristic dynamic traffic load effects in bridges. Eng. Struct. 2009, 31, 1607–1612. [Google Scholar] [CrossRef]
- Fiorillo, G.; Ghosn, M. Application of influence lines for the ultimate capacity of beams under moving loads. Eng. Struct. 2015, 103, 125–133. [Google Scholar] [CrossRef]
- Nowak, A.S.; Park, C.-H.; Casas, J.R. Reliability analysis of prestressed concrete bridge girders: Comparison of Eurocode, Spanish Norma IAP and AASHTO LRFD. Struct. Saf. 2001, 23, 331–344. [Google Scholar] [CrossRef]
- Herrmann, A.W. ASCE 2013 report card for America’s infrastructure. IABSE Symp. Rep. 2013, 99, 9–10. [Google Scholar] [CrossRef]
- Korea Ministry of Land, Transport and Maritime Affairs. Road Traffic Survey Guide, Government Document Registration; Ministry of Land, Transport and Maritime Affairs: Seoul, Korea, 2015.
- Kim, S.-H.; Park, H.-S. A study on bridge live loads and traffic modes. Korea Soc. Civ. Eng. 1992, 12, 107–116. [Google Scholar]
- Bruls, J.M.; Sedlacek, G. Traffic data of the European countries 2nd draft. In Eurocode on Actions; European Committee for Standardization: Brussels, Belgium, 1989. [Google Scholar]
- Kwon, S.-M.; Suh, Y.-C. Development and application of the high speed weigh-in-motion for overweight enforcement. J. Korean Soc. Road Eng. 2009, 11, 69–78. [Google Scholar]
- Korea Infrastructure Safety and Technology Corporation. Development of Bridge Maintenance Technique Considering Performance Based on the Site Environment; Korea Infrastructure Safety and Technology Corporation: Seoul, Korea, 2015. [Google Scholar]
- Gumbel, E.J. Statistics of Extremes; Columbia University Press: New York, NY, USA, 1958. [Google Scholar]
- Enright, B.; O’Brien, E.J. Monte Carlo simulation of extreme traffic loading on short and medium span bridges. Struct. Infrastruct. Eng. 2013, 9, 1267–1282. [Google Scholar] [CrossRef]
- Hwang, E.-S.; Nowak, A.S. Simulation of dynamic load for bridges. J. Struct. Eng. (ASCE) 1991, 117, 1413–1434. [Google Scholar] [CrossRef]
- Korea Institute of Bridge and Structural Engineers. Korea Highway Bridge Specifications; Korea Institute of Bridge and Structural Engineers: Seoul, Korea, 2015. [Google Scholar]
- Kim, S.-H.; Choi, J.-G.; Ham, S.-M.; Heo, W.-H. Reliability evaluation of a PSC highway bridge based on resistance capacity degradation due to corrosive environments. Appl. Sci. 2016, 6, 423–439. [Google Scholar] [CrossRef]







| Vehicle Model | Vehicle Class * | Description | Feature | Tandem Configuration |
|---|---|---|---|---|
| P | 1 | Mobile car | ![]() | ![]() |
| B | 2 | Bus | ![]() | ![]() |
| T | 3 | Small truck A | ![]() | ![]() |
| 4 | Small truck B | ![]() | ![]() | |
| TT | 5 | Mid-sized truck A | ![]() | ![]() |
| 6 | Mid-sized truck B | ![]() | ![]() | |
| 7 | Mid-sized truck C | ![]() | ![]() | |
| ST | 8 | Heavy truck A | ![]() | ![]() |
| 9 | Heavy truck B | ![]() | ![]() | |
| 10 | Heavy truck C | ![]() | ![]() | |
| 11 | Heavy truck D | ![]() | ![]() | |
| 12 | Heavy truck E | ![]() | ![]() |
| Axle Configuration | |||||||
|---|---|---|---|---|---|---|---|
![]() | |||||||
| Vehicle model | W1 | W2 | W3 | Lf | L1 | L2 | Lr |
| P | 50% | 50% | - | 1.0 m | 2.5 m | - | 1.0 m |
| B | 40% | 60% | - | 2.0 m | 5.5 m | - | 3.0 m |
| T | 30% | 70% | - | 1.5 m | 4.5 m | - | 2.0 m |
| TT | 20% | 80% | - | 1.5 m | 5.0 m | - | 3.0 m |
| ST | 10% | 45% | 45% | 1.5 m | 3.8 m | 8.2 m | 2.0 m |
| Vehicle Model | Mode | Dist. Type | Coefficients | Minimum (tonf) | Maximum (tonf) | Correction Coefficients | |
|---|---|---|---|---|---|---|---|
| (Normal) (L-N) | (Normal) (L-N) | ||||||
| P | 1 | L-N | 0.398 | 0.317 | 0.7 | 5.0 | 1.0 |
| B | 1 | Normal | 4.089 | 1.020 | 1.4 | 17.1 | 0.098 |
| 2 | Normal | 11.552 | 1.542 | 4.0 | 24.0 | 0.902 | |
| T | 1 | L-N | 1.338 | 0.620 | 1.25 | 24.1 | 0.733 |
| 2 | L-N | 2.721 | 0.221 | 1.25 | 24.1 | 0.267 | |
| 3 | L-N | 2.490 | 0.260 | 23.5 | 40.0 | 1.0 | |
| TT | 1 | L-N | 2.467 | 0.178 | 7.3 | 41.3 | 0.219 |
| 2 | L-N | 3.253 | 0.203 | 7.3 | 41.3 | 0.781 | |
| 3 | L-N | 3.240 | 0.210 | 41.3 | 65.0 | 1.0 | |
| ST | 1 | Normal | 18.541 | 3.000 | 11.3 | 63.4 | 0.260 |
| 2 | L-N | 3.650 | 0.202 | 11.3 | 63.4 | 0.740 | |
| 3 | L-N | 3.420 | 0.260 | 59.7 | 105.0 | 1.0 | |
| Region I | Region II | Region III | Region IV | Region V | Region VI | Region VII | |
|---|---|---|---|---|---|---|---|
| 40–50 tons | 1410 | 611 | 302 | 220 | 1440 | 128 | 79 |
| 50–60 tons | 176 | 28 | 72 | 52 | 141 | 3 | 4 |
| 60–70 tons | 55 | 20 | 38 | 28 | 107 | 2 | 6 |
| 70–80 tons | 16 | 9 | 11 | 15 | 32 | 0 | 3 |
| 80–90 tons | 8 | 0 | 5 | 4 | 7 | 0 | 1 |
| Sum | 1665 | 668 | 428 | 319 | 1727 | 133 | 93 |
| Maximum (tonf) | 87.7 | 77.0 | 85.6 | 84.0 | 88.9 | 61.0 | 82.7 |
| Vehicle Model | Mode | Dist. Type | Coefficients | Minimum (tonf) | Maximum (tonf) | Correction Coefficients | |
|---|---|---|---|---|---|---|---|
| (Normal) (L-N) | (Normal) (L-N) | ||||||
| P | 1 | L-N | 0.398 | 0.317 | 0.7 | 5.0 | 1.0 |
| B | 1 | Normal | 4.089 | 1.020 | 1.4 | 17.1 | 0.098 |
| 2 | Normal | 11.552 | 1.542 | 4.0 | 24.0 | 0.902 | |
| T | 1 | L-N | 1.338 | 0.620 | 1.25 | 24.1 | 0.733 |
| 2 | L-N | 2.721 | 0.221 | 1.25 | 24.1 | 0.267 | |
| TT | 1 | L-N | 2.467 | 0.178 | 7.3 | 41.3 | 0.219 |
| 2 | L-N | 3.253 | 0.203 | 7.3 | 41.3 | 0.781 | |
| ST | 1 | Normal | 18.541 | 3.000 | 11.3 | 63.4 | 0.260 |
| 2 | L-N | 3.650 | 0.202 | 11.3 | 90.0 | 0.740 | |
| Location | Time | Lane | P Type | B Type | T, TT, ST Types | Traffic Volume | Heavy Vehicle Proportion | |
|---|---|---|---|---|---|---|---|---|
| 1 | 7–9 a.m., 2–6 p.m. | 1 | 915 | 9 | 388 | 1312 | 29.6% | 30.1% |
| 2 | 1156 | 57 | 531 | 1744 | 30.4% | |||
| 2 | 7–9 a.m., 2–6 p.m. | 1 | 1584 | 37 | 439 | 2060 | 21.3% | 34.3% |
| 2 | 1239 | 27 | 1070 | 2336 | 45.8% | |||
| 3 | 7–9 a.m., 2–6 p.m. | 1 | 1408 | 19 | 643 | 2070 | 31.1% | 45.7% |
| 2 | 721 | 9 | 1176 | 1906 | 61.7% | |||
| 4 | 7–9 a.m., 1–3 p.m., 5–7 p.m. | 1 | 1329 | 5 | 446 | 1780 | 25.1% | 42.2% |
| 2 | 772 | 9 | 848 | 1629 | 52.1% | |||
| 5 | 7–9 a.m., 1–3 p.m., 5–7 p.m. | 1 | 3445 | 55 | 1122 | 4622 | 24.3% | 31.0% |
| 2 | 1740 | 148 | 1304 | 3192 | 40.9% | |||
| Speed | Average Daily Traffic Volume (Two Lanes) | Headway Distance | |||
|---|---|---|---|---|---|
| 5000 | 10,000 | 20,000 | 40,000 | ||
| Below 10 km/h | 5% | 10% | 10% | 15% | 2 m |
| 10–30 km/h | 10% | 20% | 30% | 40% | 5 m |
| 30–50 km/h | 50% | 50% | 40% | 30% | 15 m |
| Above 50 km/h | 35% | 20% | 20% | 15% | 25 m |
| (a) Heavy vehicle proportion: 15% | |||||||
| Type | Consecutive Traveling Coefficient (Consecutive Traveling Probability: %) | Simple Vehicle Proportion (%) | |||||
| P | B | T | TT | ST | |||
| P | 1.03 | 0.95 | 0.89 | 0.86 | 0.88 | 81.6 | |
| (83.68) | (3.23) | (6.64) | (4.88) | (1.58) | |||
| B | 0.95 | 2.29 | 0.88 | 1.09 | 0.89 | 3.4 | |
| (77.74) | (7.80) | (6.62) | (6.23) | (1.61) | |||
| T | 0.88 | 1.00 | 1.92 | 1.40 | 1.31 | 7.5 | 15.0 |
| (71.87) | (3.39) | (14.42) | (7.96) | (2.37) | |||
| TT | 0.87 | 0.93 | 1.36 | 2.28 | 1.51 | 5.7 | |
| (70.88) | (3.17) | (10.22) | (13.00) | (2.72) | |||
| ST | 0.85 | 1.03 | 1.42 | 1.67 | 3.92 | 1.8 | |
| (69.27) | (3.51) | (10.67) | (9.50) | (7.05) | |||
| (b) Heavy vehicle proportion: 25% | |||||||
| Type | Consecutive Traveling Coefficient (Consecutive Traveling Probability: %) | Simple Vehicle Proportion (%) | |||||
| P | B | T | TT | ST | |||
| P | 1.06 | 0.97 | 0.85 | 0.80 | 0.83 | 72.0 | |
| (76.36) | (2.92) | (10.59) | (7.64) | (2.49) | |||
| B | 0.98 | 2.32 | 0.83 | 1.02 | 0.84 | 3.0 | |
| (70.40) | (6.97) | (10.43) | (9.68) | (2.52) | |||
| T | 0.84 | 0.94 | 1.71 | 1.27 | 1.16 | 12.5 | 25.0 |
| (60.33) | (2.82) | (21.32) | (12.05) | (3.48) | |||
| TT | 0.83 | 0.88 | 1.20 | 1.98 | 1.35 | 9.5 | |
| (59.47) | (2.63) | (15.01) | (18.84) | (4.04) | |||
| ST | 0.80 | 0.97 | 1.25 | 1.45 | 3.43 | 3.0 | |
| (57.39) | (2.90) | (15.66) | (13.75) | (10.30) | |||
| (c) Heavy vehicle proportion: 35% | |||||||
| Type | Consecutive Traveling Coefficient (Consecutive Traveling Probability: %) | Simple Vehicle Proportion (%) | |||||
| P | B | T | TT | ST | |||
| P | 1.11 | 1.01 | 0.83 | 0.77 | 0.82 | 62.4 | |
| (69.10) | (2.62) | (14.58) | (10.28) | (3.43) | |||
| B | 1.01 | 2.38 | 0.81 | 0.97 | 0.81 | 2.6 | |
| (63.31) | (6.20) | (14.19) | (12.88) | (3.42) | |||
| T | 0.82 | 0.90 | 1.53 | 1.17 | 1.03 | 17.5 | 35.0 |
| (51.02) | (2.34) | (26.79) | (15.53) | (4.31) | |||
| TT | 0.81 | 0.84 | 1.08 | 1.76 | 1.21 | 13.3 | |
| (50.29) | (2.18) | (18.98) | (23.47) | (5.08) | |||
| ST | 0.77 | 0.93 | 1.12 | 1.28 | 3.08 | 4.2 | |
| (48.06) | (2.41) | (19.62) | (16.98) | (12.94) | |||
| (d) Heavy vehicle proportion: 45% | |||||||
| Type | Consecutive Traveling Coefficient (Consecutive Traveling Probability: %) | Simple Vehicle Proportion (%) | |||||
| P | B | T | TT | ST | |||
| P | 1.21 | 1.09 | 0.84 | 0.77 | 0.82 | 52.8 | |
| (62.02) | (2.33) | (18.45) | (12.87) | (4.33) | |||
| B | 1.09 | 2.54 | 0.81 | 0.96 | 0.81 | 2.2 | |
| (56.37) | (5.45) | (17.85) | (16.04) | (4.29) | |||
| T | 0.83 | 0.90 | 1.45 | 1.10 | 0.97 | 22.5 | 45.0 |
| (42.59) | (1.93) | (31.96) | (18.37) | (5.14) | |||
| TT | 0.81 | 0.84 | 1.03 | 1.66 | 1.14 | 17.1 | |
| (41.87) | (1.80) | (22.60) | (27.70) | (6.03) | |||
| ST | 0.77 | 0.92 | 1.06 | 1.19 | 2.90 | 5.4 | |
| (39.67) | (1.97) | (23.19) | (19.90) | (15.27) | |||
| Span | Heavy Vehicle Proportion | Model | Average Daily Traffic Volume | ||||
|---|---|---|---|---|---|---|---|
| 2000 | 5000 | 10,000 | 20,000 | 40,000 | |||
| 30 m | 15% | Simple | 1.29 | 1.34 | 1.35 | 1.39 | 1.43 |
| Consecutive | 1.55 | 1.61 | 1.65 | 1.67 | 1.72 | ||
| Consecutive model effect | 20.8% ↑ | 20.2% ↑ | 22.5% ↑ | 20.2% ↑ | 20.1% ↑ | ||
| 25% | Simple | 1.29 | 1.36 | 1.38 | 1.41 | 1.47 | |
| Consecutive | 1.57 | 1.69 | 1.71 | 1.73 | 1.74 | ||
| Consecutive model effect | 21.7% ↑ | 24.9% ↑ | 24.0% ↑ | 22.2% ↑ | 18.2% ↑ | ||
| 35% | Simple | 1.32 | 1.36 | 1.41 | 1.41 | 1.48 | |
| Consecutive | 1.57 | 1.74 | 1.79 | 1.83 | 1.83 | ||
| Consecutive model effect | 19.4% ↑ | 27.7% ↑ | 27.5% ↑ | 29.4% ↑ | 24.1% ↑ | ||
| 45% | Simple | 1.33 | 1.38 | 1.43 | 1.46 | 1.49 | |
| Consecutive | 1.58 | 1.76 | 1.86 | 1.91 | 2.00 | ||
| Consecutive model effect | 18.7% ↑ | 27.8% ↑ | 30.4% ↑ | 30.9% ↑ | 34.8% ↑ | ||
| 60 m | 15% | Simple | 1.41 | 1.47 | 1.48 | 1.53 | 1.58 |
| Consecutive | 1.74 | 2.02 | 2.11 | 2.16 | 2.15 | ||
| Consecutive model effect | 23.0% ↑ | 37.1% ↑ | 42.5% ↑ | 41.2% ↑ | 36.3% ↑ | ||
| 25% | Simple | 1.42 | 1.49 | 1.52 | 1.55 | 1.62 | |
| Consecutive | 1.75 | 2.25 | 2.29 | 2.35 | 2.36 | ||
| Consecutive model effect | 23.2% ↑ | 50.7% ↑ | 51.1% ↑ | 51.4% ↑ | 45.9% ↑ | ||
| 35% | Simple | 1.45 | 1.50 | 1.54 | 1.55 | 1.62 | |
| Consecutive | 1.80 | 2.28 | 2.30 | 2.35 | 2.40 | ||
| Consecutive model effect | 23.9% ↑ | 52.1% ↑ | 49.0% ↑ | 51.4% ↑ | 48.4% ↑ | ||
| 45% | Simple | 1.46 | 1.51 | 1.57 | 1.60 | 1.63 | |
| Consecutive | 1.80 | 2.32 | 2.31 | 2.36 | 2.47 | ||
| Consecutive model effect | 23.6% ↑ | 53.5% ↑ | 47.0% ↑ | 47.7% ↑ | 51.7% ↑ | ||
| Annual Extreme Load Effects | |||||||
|---|---|---|---|---|---|---|---|
| Girder Type | Heavy Vehicle Distribution | Heavy Vehicle Proportion | Average Daily Traffic Volume (Two Lanes) | ||||
| 2000 | 5000 | 10,000 | 20,000 | 40,000 | |||
| PSC-I 30 m | 50:50 | 15% | 0.849 | 0.941 | 0.948 | 0.960 | 0.974 |
| 25% | 0.876 | 0.983 | 0.993 | 1.000 | 1.024 | ||
| 35% | 0.886 | 1.002 | 1.020 | 1.024 | 1.027 | ||
| 45% | 0.893 | 1.034 | 1.041 | 1.046 | 1.060 | ||
| 15:85 | 15% | 0.812 | 0.906 | 0.920 | 0.939 | 0.945 | |
| 25% | 0.835 | 0.934 | 0.982 | 0.986 | 0.996 | ||
| 35% | 0.857 | 0.976 | 0.996 | 0.999 | 1.010 | ||
| 45% | 0.868 | 1.011 | 1.016 | 1.029 | 1.046 | ||
| STB 45 m | 50:50 | 15% | 0.740 | 0.930 | 0.936 | 0.960 | 0.966 |
| 25% | 0.756 | 0.970 | 0.983 | 1.000 | 1.020 | ||
| 35% | 0.769 | 1.031 | 1.040 | 1.043 | 1.055 | ||
| 45% | 0.781 | 1.048 | 1.059 | 1.082 | 1.094 | ||
| 15:85 | 15% | 0.725 | 0.872 | 0.905 | 0.913 | 0.927 | |
| 25% | 0.750 | 0.936 | 0.964 | 0.972 | 0.979 | ||
| 35% | 0.761 | 0.987 | 0.993 | 1.010 | 1.010 | ||
| 45% | 0.772 | 1.017 | 1.032 | 1.041 | 1.045 | ||
| STB 60 m | 50:50 | 15% | 0.672 | 0.932 | 0.943 | 0.949 | 0.965 |
| 25% | 0.680 | 0.983 | 0.990 | 1.000 | 1.015 | ||
| 35% | 0.689 | 1.036 | 1.072 | 1.077 | 1.083 | ||
| 45% | 0.701 | 1.077 | 1.091 | 1.093 | 1.095 | ||
| 15:85 | 15% | 0.606 | 0.869 | 0.877 | 0.889 | 0.906 | |
| 25% | 0.626 | 0.957 | 0.974 | 0.977 | 0.980 | ||
| 35% | 0.649 | 1.006 | 1.015 | 1.015 | 1.019 | ||
| 45% | 0.680 | 1.034 | 1.045 | 1.047 | 1.055 | ||
© 2017 by the authors. Licensee MDPI, Basel, Switzerland. This article is an open access article distributed under the terms and conditions of the Creative Commons Attribution (CC BY) license (http://creativecommons.org/licenses/by/4.0/).
Share and Cite
Kim, S.-H.; Heo, W.-H.; You, D.-w.; Choi, J.-G. Vehicle Loads for Assessing the Required Load Capacity Considering the Traffic Environment. Appl. Sci. 2017, 7, 365. https://doi.org/10.3390/app7040365
Kim S-H, Heo W-H, You D-w, Choi J-G. Vehicle Loads for Assessing the Required Load Capacity Considering the Traffic Environment. Applied Sciences. 2017; 7(4):365. https://doi.org/10.3390/app7040365
Chicago/Turabian StyleKim, Sang-Hyo, Won-Ho Heo, Dong-woo You, and Jae-Gu Choi. 2017. "Vehicle Loads for Assessing the Required Load Capacity Considering the Traffic Environment" Applied Sciences 7, no. 4: 365. https://doi.org/10.3390/app7040365
APA StyleKim, S.-H., Heo, W.-H., You, D.-w., & Choi, J.-G. (2017). Vehicle Loads for Assessing the Required Load Capacity Considering the Traffic Environment. Applied Sciences, 7(4), 365. https://doi.org/10.3390/app7040365


























